brunch

경제학 뉴비 탈출: 라그랑주 승수법 계산하기

by 삼중전공생

친한 후배가 브런치에 경제학 관련 글을 써달라기에 작성해봅니다. 브런치에서 수식을 입력할 방법이 없어서 일일이 캡쳐를 따다 이미지로 삽입하는 것은 꽤나 번거로운 일이지만 기왕 부탁을 받은 일이니 제대로 써보려고 합니다.


더불어 PC버전으로 보실 것을 강력 권장합니다.



이 글의 목적


화면 캡처 2025-09-03 094103.png


이 글은 경제학원론을 꾸역꾸역 듣고 경제학에 이제 막 입문한, 그렇지만 수학에 취약한 경제학과 1~2학년이 미시경제학에서 쏟아지는 각종 미적분에 경악하는 일이 없도록 돕기 위해 작성되었습니다. 미시경제학 중간고사에서 출제되지 않을 수 없는 '라그랑주 승수법'으로 소비 바구니의 최적해 구하기 문제는 풀이과정을 외우고 있어야 하지만, 수학에 약한 사람에게는 그마저도 힘겨운 일입니다. 교수님이 암산으로 식 계산 과정을 휙휙 건너뛰어 그 다음 진도로 빠르게 넘어가셔서 이해가 잘 되지 않기 십상이기 때문입니다. 제가 상세히 그 과정을 풀어드리겠습니다.


제가 필기노트로 가지고 있으면서 또 기억 저편에 외워두고 있는, 이제는 출처가 불분명한 한 미시경제학 교과서를 참고했습니다. 라그랑주 승수법 자체에는 저작권이랄게 없겠지만 예제에는 있을지도 모르겠습니다. 그 부분이 문제가 된다면 글을 수정할 수 있도록 하겠습니다.




라그랑주 승수법


소비자가 두 가지 재화를 소비한다고 가정합시다. x는 소비자가 구입한 첫번째 재화의 수량을 의미하고, y는 두번째 재화의 수량을 의미합니다. Px는 첫번째 재화의 가격이고, Py는 두번째 재화의 가격, I는 소득입니다.


이때 두 재화의 한계효용은 양(+)이라고 가정하고 소비자는 자신의 소득을 한계효용을 최대화할 수 있는 지점인 최적 소비 바구니에서 지출한다고 합시다. 이 경우 소비자 선택의 문제는 다음과 같습니다.


1.png


그리고 라그랑주(Λ)을 다음과 같이 정의합시다.


2.png


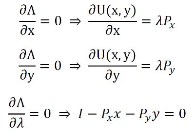
여기서 흐느적거리는 시옷(람다)는 라그랑주 승수입니다. 브런치에서 입력이 안 돼서 처음부터 다시 쓰고 있는 데 아주 개같습니다. 텍스트에서는 그냥 대문자 람다인 Λ으로 쓰겠습니다. 그리고 두 재화의 상대가격과 한계대체율이 같을 때 소비자의 효용이 극대화될 수 있다는 원리인 1계 조건(first order condition; FOC)을 나타내기 위한 재료들을 모으면 다음과 같습니다.


3.png


먼저 6을 좌우반전 시킨 것처럼 생긴 녀석은 편도함수의 기호입니다. 도함수를 편미분했다는 뜻입니다. 편미분은 간단합니다. 가령 x에 대해 일차함수를 편미분한다면, x의 계수만 남기고 나머지는 모두 지워주시면 됩니다.


4.png


아무튼 그래서 이 편도함수는 한계효용(MUx)을 수식으로 나타낸 것입니다. x가 일정할 때 x가 증가함에 따라 효용이 얼마나 증가하는지를 보여줍니다.



5.png


마찬가지로 이 편도함수는 한계효용(MUy)을 나타낸 것이고, y가 일정할 때 y가 증가함에 따라 효용이 얼마나 증가하는지를 보여줍니다.


앞서 말한 것처럼 1계 조건은 (한계대체율 = 상대가격)입니다. 두 한계효용을 나눈 식(MUx/MUy)으로 한계대체율을 표현해줄 수 있고, (MUx = ΛPx)였고 (MUy = ΛPy)였으니 한계대체율 식에서 결과적으로 Λ가 정리되어,


8.png


이러한 식이 나오게 됩니다. 여기에 앞서 보았던 예산식을 정리하면,


9.png


이러한 식도 얻을 수 있게 됩니다. 이것이 1계 조건을 모두 정리한 결과입니다. (MUx/MUy) = (Px/Py)는 바꿔 말하자면 무차별곡선과 예산선이 서로 접했다는 의미입니다. 소비자의 선호가 완비성(completeness), 이행성(transitivity), 연속성(continuity), 강단조성(strong monotonicity)을 모두 충족한다는 전제 하에서 한계대체율과 상대가격의 일치, 즉 무차별곡선과 예산선의 접함은 소비자의 효용이 그 지점에서 최대임을 의미하게 됩니다. 각각의 전제가 무엇이고 또 어떤 문제들이 있는지는 복잡한 경제철학적인 논의를 거쳐야 하므로 여기서는 다루지 않겠습니다.




연습 문제


백문불여일견이라고 한 번 직접 계산하는 과정을 눈으로 봐봅시다.


[한국대학교 경제학과 미시경제학 주간 퀴즈 과제]


1. 철수의 효용함수는 U(x, y) = xy이다. 그가 가진 예산이 총 100원이고, 사과(x)의 가격은 5원, 배(y)의 가격은 10원이다. 이때 최적 소비 바구니를 구하라. [1.5점]


이 예산 제약 상황을 식으로 나타내면,


Max U = xy

subject to: 5x + 10y = 100


이것을 라그랑주 함수로 나타내면,


L = U(x, y) + Λ(I - PxX - PyY)

L = xy + Λ(100 - 5x - 10y)


(1) x에 대해 편미분: Lx = y - 5Λ = 0

(2) y에 대해 편미분: Ly = x - 10Λ = 0

(3) Λ에 대해 편미분: 100 - 5x - 10y = 0 ➩ 100 = 5x + 10y


(1)을 정리하면 y = 5Λ이고 이 식을 (4)라고 합시다.

(2)을 정리하면 x = 10Λ이고 이 식을 (5)라고 합시다.


이것을 그대로 (3)에 대입하면,


100 = 5(10Λ) + 10(5Λ) ➩ Λ = 1


Λ = 1을 (4)와 (5)에 각각 대입하면,


x = 10, y = 5


따라서 최적 소비 바구니는 (사과 10개, 배 5개)입니다.




실전 문제


이제 실제 대학에서 푸는 수준으로 문제 난이도를 높여봅시다.


[한국대학교 경제학과 미시경제학 중간고사]


1.

다음은 영희의 효용합수이다. 빵(x)의 가격은 2원, 우유(y)의 가격은 1원이다. 영희의 총 예산은 10원이다. 그런데 영희는 냉장고 용량의 한계 때문에 빵과 우유의 총 개수가 6개를 넘을 수 없다는 추가적인 제약에 직면했다(x + y ≤ 6). 이 두 가지 제약 조건 하에서 영희의 효용을 극대화하는 최적 소비 바구니(x, y)를 구하고, 각 제약조건의 한계효용을 나타내는 라그랑주 승수(Λ)의 값도 구한 뒤 그 의미를 설명하시오. [25점]


교수님이 뜻밖의 응용문제를 출제했습니다. 당황하지 말고 차근차근 풀어봅시다. 예산 제약과 수량 제약을 표현하면 다음과 같습니다.


예산 제약: 2x + y ≤ 10

수량 제약: x + y ≤ 6


그리고 두 가지 제약 조건(예산 제약, 수량 제약)을 모두 포함하는 라그랑 함수(Λ)을 다음과 같이 설정합니다.

여기서 Λ1은 예산 제약의 한계효용, Λ2는 수량 제약의 한계효용을 의미합니다. 이제 우리 계산의 기본이 되는 1계 조건(FOC)를 도출합시다.

12.png

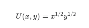
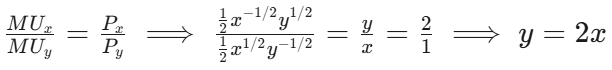
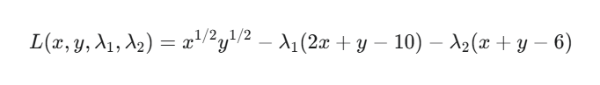
이제 최적 소비 바구니를 찾을 차례입니다. 우선 예산 제약만 유효하다고 가정합시다.


가. 예산 제약만 유효하다고 가정(Λ2 = 0)


만약 수량 제약이 효용 극대화에 영향을 미치지 않는다면, 이 문제는 일반적인 소비자 효용 극대화 문제와 다르지 않습니다.

13.png

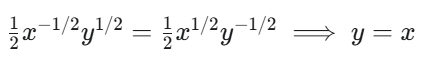
잠깐, 이 식을 어떻게 풀었냐고요?

14.png

상수 약분부터 해줍시다.

15.png

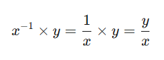
그리고 계산하기 편하게 변수끼리 분리해줍시다.

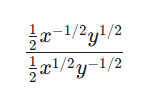
1.png

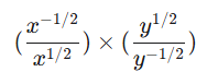
이제 지수 법칙을 활용해 각각 계산해줍시다. 설마 지수 법칙도 모르진 않겠죠?

2.png
3.png

이제 두 결과를 다시 곱하고 최종적으로 정리합니다.

4.png

결국 한계대체율은 y/x이고, 이는 상대가격인 2/1과 같아야 하니까 y = 2x로 식이 정리되는 겁니다.


이 결과를 예산 제약식에 대입하면,


2x + (2x) = 10 ➩ 4x = 10 ➩ x = 2.5, y = 5


그런데 이 결과를 수량 제약(x + y ≤ 6)에 대입해봅시다.


x + y = 2.5 + 5 = 7.5


즉 우리가 지금 구한 결과는 수량 제약을 위배하므로, 이 가정은 틀렸습니다. 따라서 수량 제약은 반드시 효용 극대화에 영향을 미칩니다.


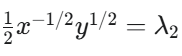
나. 수량 제약만 유효하다고 가정(Λ1 = 0)


이 경우 라그랑의 1계 조건은 다음과 같습니다.

5.png
6.png

두 식을 등치시키면(차근차근 계산하면 이 식도 계산할 수 있을 겁니다),

이 결과를 수량 제약식(x + y = 6)에 대입하면,


x + y = 6 ➩ 2x = 6 ➩ x = 3, y = 3


이때 예산 제약(2x + y ≤ 10)을 확인하면,


2(3) + 3 = 9 ≤ 10


즉 이 소비 바구니는 예산 내에서 달성 가능합니다. 따라서 이 가정 하에서 올바른 최적해를 구할 수 있었습니다.


이제 라그랑 승수(Λ)의 값과 의미를 구해봅시다. 위에서 구한 최적 소비 바구니 x = 3, y = 3을 사용하여 각 Λ값을 구합니다.


Λ1은 예산 제약이 유효하지 않으므로,


Λ1 = 0


이는 영희에게 1원의 예산이 더 주어져도 효용이 더 증가하지 않는다는 의미입니다.


Λ2는 식 (1)이나 (2)에 x = 3, y = 3, Λ1 = 0을 대입하여 구합니다.

Λ2는 0보다 큰 0.5이므로, 수량 제약은 유효합니다. 이는 냉장고 용량이 1개 더 늘어나 총 7개를 보관할 수 있다면, 효용이 약 0.5만큼 증가한다는 것을 의미합니다.


그렇다면 우리는 이제 이 문제에 대해 다음과 같이 답을 적으면 될 것입니다.


[최종 답]

최적 소비 바구니: (빵 3개, 우유 3개)

라그랑주 승수(Λ): Λ1 = 0, Λ2 = 0.5

의미: 영희는 예산을 전부 소진하지 않지만, 냉장고 용량 때문에 소비를 제한받고 있다. 따라서 남은 예산(10원 - 9원 = 1원)의 한계효용은 0이며, 냉장고 용량의 한계효용(Λ2)은 0.5이다.




실전 응용 문제


아까 풀었던 문제를 약간 쉽게 응용한 버전입니다. 풀이과정은 생략하겠습니다.


[한국대학교 경제학과 미시경제학 기말고사]


1. 수진이는 두 재화 x와 y를 소비하며, 그의 효용함수는 U(x, y) = x + ln(y)이다. 재화 x의 시장가격은 2원, 재화 y의 시장가격은 1원이다. 수진이의 총 예산은 30원이다. 그런데 정부가 재화 x에 대해 다음과 같은 누진적인 세금 정책을 도입했다.


(1) 재화 x의 소비량이 5개 이하힐 때: 개당 2원의 세금 부과

(2) 재화 x의 소비량이 5개를 초과할 때: 5개를 초과하는 부분에 대해 개당 4원의 세금 부과


이 두 가지 제약 조건 하에서 수진이의 효용을 극대화하는 최적 소비 바구니 (x*, y*)를 구하고, 지불하는 총 세금액을 계산하시오. [20점]


[최종 답]

최적 소비 바구니: (x* = 17/3, y* = 6)

총 지불 세금액: 38/3원

keyword
작가의 이전글제목없음