brunch

추세추종 전략의 미묘한 트레이드오프관계

샤프 비율 vs 왜도(skewness)

by 투영인



추세추종은 상승하는 자산에는 롱 포지션을, 하락하는 자산에는 숏 포지션을 취하는 단순한 전략이다. 이 전략은 매력적이고 긍정적으로 편향된 수익을 제공할 수 있으며, 큰 긍정적 초과 성과가 종종 대규모 주식 매도와 일치하여 테일 리스크 보호를 제공한다.


Key Points


추세추종 전략은 매력적이고 긍정적으로 왜곡된 수익을 제공할 수 있으며, 대규모 주식 매도와 일치하는 큰 긍정적 성과를 통해 테일 리스크 보호를 제공한다.

모든 추세 전략이 동일하지 않다. 긍정적 왜도의 증가는 종종 낮은 Sharpe ratio와 함께 나타나며, 이러한 전략의 관리자들에게 결정 포인트를 제공한다.

Sharpe ratio와 왜도 간의 트레이드오프는 신호 및 포트폴리오 구성 결정과 직접적으로 관련이 있다.


추세추종과 투자 전략


추세추종은 주식 시장과 관련하여 스트래들과 같은 수익을 보여주며, 주식 시장이 하락할 때 큰 긍정적 수익을 제공하고 상승 시장에서는 더 완만한 수익을 제공한다. 추세추종은 최근 10년 또는 20년 동안 투자자들 사이에서 널리 인기를 얻었지만, Hurst 등(2017)은 추세추종의 이점이 한 세기 이상 존재해왔음을 보여준다.


추세추종에서는 긍정적 왜도가 주식 하락과 일치하는 수익 패턴을 가지고 있어 많은 포트폴리오에 이상적인 전략이다. 실제로 높은 수준의 자산 배분 관점에서 포트폴리오를 경제 성장, 수입 방어, 알파, 테일 리스크 보호라는 네 가지 기둥으로 고려할 수 있다. 하나의 간단한 접근법은 이러한 기둥들을 주식(경제 성장), 채권(수입 방어), 절대 수익 전략(알파), 추세추종(테일 리스크 보호)에 투자하는 것이다.


추세추종 전략은 투자자들이 위험 조정 수익(Sharpe ratio)과 테일 리스크 보호(긍정적 또는 부정적 왜도) 사이에서 미묘한 균형을 유지해야 한다. 하나를 최대화하면 다른 하나가 감소하여 포트폴리오가 원하는 목표와 벗어날 수 있다. 이 글에서 설명하듯이 Sharpe ratio와 왜도 간의 관계의 뉘앙스를 이해하면 투자자들이 포트폴리오 구성에 대해 더 현명한 결정을 내릴 수 있어 이상적인 트레이드오프에 도달할 수 있다.


Sharpe ratio와 왜도의 트레이드오프


추세추종 전략 구성의 핵심은 Sharpe ratio(시간이 지남에 따라 평균 위험 조정 수익률이 높아짐)와 긍정적 왜도 사이의 트레이드오프다. 테일 리스크 보호는 왜도에서 오지만, Sharpe ratio도 중요하게 고려해야 한다. 이는 종종 투자자들이 장기 강세장 동안 전략을 유지할 수 있게 해주기 때문이다.


이 트레이드오프는 시간이 지남에 따라 유지하기가 더 어려워졌다. 이 점을 설명하기 위해 대규모 추세추종 전략의 성과를 집계한 SG Trend Index를 대리 지표로 사용한다. 세기 초부터 최근 10년까지 이러한 추세 전략의 평균 수익은 거의 절반으로 감소했다.


1-5.png?type=w773




은 시기에는 투자자들이 왜 처음에 정책을 구매했는지를 종종 잊어버린다. 즉, 포트폴리오의 다른 부분이 더 높은 수익을 제공하고 있는데도 왜 수익률이 낮은 추세 포트폴리오에 투자하고 있는지를 잊어버린다.


Greyserman(2017)에 따르면, "추세추종의 긍정적 왜도는 투자자들이 드문 큰 이득보다 빈번한 작은 승리를 선호하는 행동 편향으로 인해 성과를 잘못 판단할 수 있기 때문에 Sharpe ratio와 긴장 관계를 만든다."


다시 말해, 추세는 보험 정책(insurance policy)과 같다: 투자자들은 높은 변동성 이벤트에서 크게 이기는 대가로 낮은 변동성 기간 동안 많은 작은 손실의 형태로 프리미엄을 지불한다.


SG Trend Index는 Sharpe ratio와 왜도 사이의 추세 트레이드오프를 보여주는 데도 사용될 수 있다. 짧은(2년) 및 긴(5년) 시간 범위 모두에서 Sharpe ratio와 왜도 간의 관계는 음의 기울기를 가진다.

1-5.png?type=w773


이 관계는 긍정적 왜도를 이끄는 큰 긍정적 수익이 종종 주식 시장의 하락과 일치하기 때문에 중요하다. 예를 들어, 세기 초부터 S&P 500의 가장 나쁜 세 개의 달력 연도에서 SG Trend Index는 세 해 모두 두 자릿수 긍정적 수익을 냈으며, 연간 약 50%의 초과 성과를 냈다.

1-5.png?type=w773


포트폴리오에 추세 전략을 추가할 때, 투자자들은 모든 추세 포트폴리오가 동일하지 않다는 것을 이해해야 한다. 또한 특정 추세 전략의 특성과 해당 전략이 포트폴리오에 포함된 원래 목적을 충족하는지 여부를 고려하는 것이 중요하다.


위에서 언급했듯이 테일 리스크 보호는 포트폴리오 설계의 핵심 기둥이 될 수 있지만, 그렇다고 해서 모든 투자자가 전체 Sharpe ratio를 희생하면서 가장 긍정적으로 왜곡된 포트폴리오에만 집중해야 한다는 의미는 아니다. 더 나은 트레이드오프 솔루션을 찾을 수 있다.


투자자들이 트레이드오프가 어떻게 작동하는지와 그 영향을 이해하는 데 도움이 되도록, 이 글에서는 추세 관리자들이 직면하는 몇 가지 주요 포트폴리오 구성 결정과 그들의 미묘한 트레이드오프를 살펴본다.


Sharpe Ratio와 왜도(Skwness)


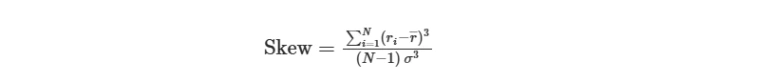
Sharpe ratio의 계산은 대부분의 전문 투자자들에게 익숙하지만, 왜도는 다른 문제다. 왜도가 자주 논의되지만, 많은 투자자들이 실제로 그 해석이나 계산 방법에 대해 생각하지 않는다.

1-5.png?type=w773

샘플 왜도는 전체 기간 동안의 평균 대비 수익의 세제곱 차이를 해당 기간 동안의 세제곱 표준편차로 나눈 값으로 계산된다. 동일한 수익 분산을 가진 수익률 시리즈의 경우, 왜도는 세제곱 변동성의 역수에 직접적으로 비례한다(제곱 변동성이 분산인 경우).


시각적 표현은 종종 왜도 값의 차이를 내면화하는 가장 쉬운 방법이다. 왜도 값이 0에 가까운 분포는 정규 분포 및 균일 분포를 포함하여 본질적으로 대칭적이다. 왜도가 상승함에 따라 분포는 한쪽 방향 또는 다른 방향으로 점점 더 많은 이상치를 보여준다.

이 패턴은 왜도 측정의 어려움 중 하나이며, 왜도가 불안정하다고 묘사되는 이유다. 정의상 왜도는 관측값이 더 적은 분포의 꼬리에서 관측을 측정하려고 하는 것을 의미한다.

1-5.png?type=w773


왜도는 또한 스케일링에 무관하다. 수익률 시리즈의 사후 변동성 스케일링은 왜도를 조정하지 않기 때문에, 왜도는 다른 변동성을 가진 자산이나 전략 간에 비교될 수 있다.


마지막으로, Maillard(2018)와 Bailey and de Prado(2012)의 두 예시처럼 왜도를 포함하기 위해 Sharpe ratio 추정을 조정하는 다양한 방법이 제안되었지만, 이 글에서는 가장 익숙하고 실무자들에 의해 널리 사용되는 표준 Sharpe ratio 추정 방법을 사용한다.



데이터


추세추종에서 Sharpe ratio와 왜도의 트레이드오프를 분석하기 위해, 주식, 채권, 통화, 원자재 및 암호화폐에 걸친 65개 선물의 유니버스를 사용하여 추세 전략을 생성한다. 이 유니버스는 추세 관리자가 사용하는 모든 유동성 높은 선물을 망라하지는 않지만, 대부분의 상업적 추세 포트폴리오에 존재하는 광범위한 노출의 교차 섹션을 제공한다.

1-5.png?type=w773


자산 수준에서 Sharpe ratio와 왜도 간의 관계를 더 잘 시각화하기 위해, 전체 자산 유니버스에 대해 이러한 값을 도식화한다. 논의된 바와 같이, 이는 Sharpe ratio가 낮은 자산이 왜도가 높고, 그 반대도 마찬가지인 부정적인 관계를 보여주지만, 몇 가지 주목할 만한 이상치가 있다. 유사한 발견에서 Harvey와 Siddique(2000)는 주식 증권 전반에 걸쳐 기대 수익과 왜도 사이의 부정적 관계를 지적한다.

1-5.png?type=w773


이 자산 유니버스의 평균 Sharpe Ratio는 0.25이며, 부정적으로 왜곡된 분포를 보인다. 이 자산 유니버스 전체의 평균 왜도는 0에 가깝지만, 코코아와 같은 몇 가지 긍정적 이상치가 있다.


1-5.png?type=w773


추세 포트폴리오 구성


추세추종 전략에서 Sharpe ratio와 왜도 간의 트레이드오프를 설명하기 위해, 자산의 추세를 측정하기 위해 단순 신호인 지수 가중 이동 평균 교차(exponentially weighted moving-average crossover :MAC)를 사용하여 포트폴리오를 구성한다. 이 신호는 두 개의 룩백 기간(빠른 기간과 느린 기간)을 고려하며, 각 이동 평균의 반감기를 식별한다. 빠른 룩백의 이동 평균 가격이 느린 룩백의 가격보다 높으면 롱 포지션을 취한다. 빠른 룩백 가격이 느린 룩백 가격보다 낮을 때는 숏 포지션을 취한다.


예를 들어, 빠른 기간 평균 가격이 $100이고 느린 기간 평균 가격이 $98이면, 해당 자산에 롱 포지션을 취한다. 시계열 모멘텀에 더 익숙한 독자들을 위해, Levine과 Pedersen(2015)은 이동 평균 교차와 시계열 모멘텀이 밀접하게 관련되어 있음을 보여준다.


비교적 단순한 신호를 사용하여 포트폴리오를 구성하고 있지만, 여전히 Sharpe ratio와 왜도 간의 트레이드오프에 영향을 미치는 여러 포트폴리오 구성 결정 포인트가 있다. 더 정교한 전략에는 더 많은 결정 포인트가 있을 것이다. 이 글의 목적을 위해, 네 가지 결정을 고려한다:


반감기 룩백(Half-life Lookback): 추세를 측정하는 데 사용되는 지수 가중 이동 평균의 각 반감기 길이. MAC의 경우, 이는 느린 측정기간과 빠른 측정기간을 의미한다.


가중치 응답 함수(Weight Response Function): 추세 포트폴리오의 포지션 크기는 추세의 부호나 추세의 크기에 기초할 수 있다. 부호 기반 접근법에서는 각 자산의 가중치가 추세 신호 자체의 강도에 관계없이 동등한 위험 기여를 제공하기 위해 자산의 변동성에 기초한다. 크기 접근법에서는 포트폴리오에서 자산의 가중치가 매핑을 통해 추세 신호의 강도와 직접적으로 관련된다. 이 글에서는 간단한 시그모이드 함수를 통해 크기를 가중치에 매핑한다.


자산 변동성: 많은 추세 관리자와 마찬가지로, 우리는 동등한 위험 기여를 목표로 포트폴리오의 포지션에 동등한 변동성 가중치를 부여하기로 선택한다. 변동성을 측정하는 데 사용되는 창은 트레이드오프에 영향을 미친다.


포트폴리오 변동성: 다양한 추세 구성의 이점을 포착하기 위해, 최종 추세 전략은 종종 다양한 매개변수를 가진 여러 기본 전략의 조합이다. 자산과 마찬가지로, 우리는 전략 전반에 걸쳐 동등한 변동성 가중치에 중점을 두며, 변동성을 측정하는 데 사용되는 창은 트레이드오프에 영향을 미친다.



다음 섹션에서는 광범위한 구성 세트에서 영향과 트레이드오프를 설명하기 위해 이러한 결정 각각을 하나씩 살펴본다.


트레이드오프 1: 추세 신호 반감기 룩백


간단하게 시작하여, 먼저 빠른 신호를 10일로 일정하게 유지하면서 이동 평균 교차(MAC)의 느린 룩백 신호의 반감기를 변경해본다. 느린 반감기는 25일부터 시작하여 25일 단위로 150일까지 증가한다. 이 단순한 구성에서도 "가장 빠른" 구성(10일, 25일)의 Sharpe ratio가 0.41로 가장 낮고 긍정적 왜도가 0.95로 가장 크다는 것을 볼 수 있다. 반감기가 길어짐에 따라 Sharpe ratio는 단조롭게 증가하고 왜도는 단조롭게 감소한다. 이 발견은 MAC 신호에만 국한되지 않으며, 예를 들어 Mackic(2023)은 이중 지수 가중 이동 평균 교차 신호를 사용하여 유사한 결과를 보여준다.

1-5.png?type=w773


앞서 언급했듯이, 긍정적 왜도는 종종 주식 시장의 극단적인 매도와 함께 나타난다. 예를 들어, 세계가 COVID-19의 확산에 처음 대처하기 시작한 2020년 1분기를 고려해보자. 시장은 2월 중순에 시작하여 4월 초까지 계속된 급격한 매도를 경험했다. 예상대로 더 빠른 응답 함수는 빠르게 전환하여 긍정적인 수익을 달성한 반면, 더 느린 신호는 따라가는 데 어려움을 겪었지만 여전히 다른 많은 자산 클래스보다 성과가 좋았다.

1-5.png?type=w773



트레이드오프 2: 신호-가중치 응답 함수(Sign vs. Magnitude)


추세 포트폴리오를 생성하기 위한 두 가지 일반적인 규칙은 (1) 추세 신호의 부호(긍정적/부정적 부호 규칙)에 기초하여 모든 자산에 가중치를 부여하거나 (2) 추세 신호의 크기에 기초하여 자산에 가중치를 부여하는 것이다. 추세 신호를 가중치에 매핑하는 데 많은 함수를 사용할 수 있지만, 우리는 Sharpe ratio와 왜도의 트레이드오프에 대한 응답 함수 선택의 영향을 설명하기 위해 간단한 시그모이드 함수를 사용한다.


응답 함수 영향을 비교하기 위해, 트레이드오프 1에 대해 설명한 여러 룩백 반감기 창을 보는 것도 도움이 된다. 빠른 응답이 있는 짧은 룩백 창의 경우, 시그모이드 함수는 부호 응답 함수보다 Sharpe ratio가 낮지만 훨씬 더 높은 긍정적 왜도를 가진다. 이 발견은 시그모이드 접근법이 추세에서 의미 있는 빠른 가격 이탈을 보인 자산에 큰 포지션을 취함으로써 크게 이익을 얻을 수 있음을 의미한다.


그러나 몇 개의 큰 승자를 얻기 위해, 트레이드오프는 또한 많은 패자를 얻게 되어 이 접근법의 전체 Sharpe ratio에 영향을 미친다.


흥미롭게도, 더 긴 측정기간에서는 부호 응답 함수가 시그모이드에 대한 Sharpe ratio 우위를 유지하지만, 왜도의 차이는 최소화된다. 더 중요한 것은, 두 함수의 긍정적 왜도가 0에 더 가까워지고 있다는 점이다.


1-5.png


2008년 10월은 추세 전략의 잘 알려진 초과 성과 월이다. 우리의 시뮬레이션에서, 총 에너지(석유, 가스 등)는 추세 강도에 의한 가중치 부여의 힘을 보여주는 예다. 시그모이드 포트폴리오에서의 가중치는 -11%(숏 포지션)인 반면, 동등한 변동성 가중 부호 포트폴리오에서는 -3%였다. 2008년 10월, 에너지 선물은 평균적으로 거의 30% 하락했다.


트레이드오프 3: 부호 기반 포트폴리오의 자산 변동성 가중치


위에서 언급했듯이, 부호 응답 함수는 추세 신호의 방향(긍정적 또는 부정적)만 고려한다. 추세의 부호를 가중치로 변환하는 방법은 종종 자산의 변동성에 기초한다. 이 방법(동등한 변동성 가중치)은 포트폴리오에 동일한 위험 기여를 하도록 자산에 가중치를 부여하려고 시도한다.


자산의 변동성을 측정하는 방법도 Sharpe ratio와 왜도의 트레이드오프에 영향을 미칠 수 있다. 이를 증명하기 위해 두 가지 다른 룩백 반감기인 (10, 25)와 (10, 150)을 보여준다. 짧은 룩백이 더 높은 왜도를 가진 룩백 반감기와 달리, 자산의 변동성을 측정할 때는 반대가 발생한다. 더 긴 룩백에도 동일한 관계가 적용되지만, 또 다른 중요한 측면은 짧은 자산 변동성 창(3개월)에 연결된 더 긴 룩백이 포트폴리오의 모든 긍정적 왜도를 거의 부정한다는 것이다. 반면에, 더 긴 자산 변동성 창(2년)이 있는 더 짧은 룩백은 약 0.8의 긍정적 왜도를 가진다.


이 트레이드오프의 이유는 자명할 수 있다. 추세추종은 긴 변동성 전략이다. 짧은 변동성 측정(예: 3개월)은 긴 측정보다 더 변동성이 클 것이다. 단기적으로 변동성이 상승할 때, 짧은 측정은 긴 측정보다 더 많이 상승하여 자산의 가중치가 떨어지게 된다. 이 패턴은 변동성이 상승할 때 변동성에 기대야 하는 추세 전략의 원하는 효과와 직접적으로 대립된다.

1-5.png?type=w773



트레이드오프 4: 추세 전략 변동성 가중치


마지막으로, 추세 전략은 종종 앞서 언급한 매개변수의 일부를 포괄하는 많은 기본 추세 포트폴리오를 결합한다. 이를 증명하기 위해, 동등한 변동성 접근법을 사용하여 12개의 포트폴리오(룩백 창 전반에 걸친 6개의 부호 포트폴리오와 6개의 시그모이드 포트폴리오)를 평균화한다. 이 경우 트레이드오프는 각 포트폴리오의 가중치를 결정하기 위해 12개 포트폴리오의 변동성을 측정하는 데 사용되는 창이다.

1-5.png?type=w773



이런 방식으로 포트폴리오를 평균화하는 것은 약간의 Sharpe ratio만 포기하면 긍정적 왜도를 두 배로 늘릴 수 있기 때문에 유리하다. 이러한 결과를 더 잘 설명하기 위해, 3개월 변동성 창과 5년 창만 고려해보자. 3개월 창은 분명히 시장 상황의 변화에 더 민감하게 반응하여 시장이 더 변동성이 클 때 각 포트폴리오의 변동성이 더 높아진다. 반면에, 5년 창은 더 천천히 움직일 것이다.


마지막으로, S&P 500이 큰 하락을 겪고 SG Trend Index가 훨씬 더 좋은 성과를 보인 3년 동안 이러한 각 포트폴리오를 S&P 500과 비교한다. 가장 높은 왜도 포트폴리오(5년)가 2002년과 2008년에 가장 좋았지만, 2022년에는 약간 저조한 성과를 보였다. 이 차이는 다양한 매개변수를 가진 기본 전략을 결합하는 추세 전략이 투자자들에게 Sharpe ratio-왜도 협상에서 좋은 미묘한 트레이드오프를 제공할 수 있다는 사실을 강조한다.

1-5.png?type=w773

결론

외줄타기 행위의 균형 막대와 마찬가지로, 추세추종 전략은 포트폴리오 구성을 위한 중요하고 미묘한 도구를 제공하지만, 이를 능숙하게 활용하기 위해서는 투자자들에게 지식과 기술이 필요하다. 분명히, Sharpe ratio를 긍정적 왜도와 교환하는 것은 시장 하락 기간 동안 가치 있는 포트폴리오 보호를 제공할 수 있으며, 이 글에서 설명했듯이, 네 가지 주요 포트폴리오 구성 결정이 이 트레이드오프에 영향을 미친다:

추세 신호 반감기 룩백

신호-가중치 응답 함수

자산 변동성 가중치

추세 전략 변동성 가중치

이러한 각 결정은 일관된 성과(Sharpe ratio)와 테일 리스크 보호(긍정적 왜도) 사이의 균형을 미세 조정할 기회를 제공한다. 분석은 네 가지 주요 발견을 보여준다:

짧은 룩백 기간은 Sharpe ratio를 희생하면서 왜도를 증가시키는 경향이 있다.


시그모이드 응답 함수는 특히 짧은 룩백 창의 경우 왜도를 향상시킬 수 있다.


더 긴 자산 변동성 측정 창은 특히 짧은 추세 룩백의 경우 긍정적 왜도를 보존할 수 있다.


적절한 변동성 가중치를 가진 여러 추세 전략을 결합하면 Sharpe ratio-왜도 트레이드오프를 최적화할 수 있다.

궁극적으로, 이상적인 구성은 투자자의 특정 목표와 위험 감수 능력에 달려 있다. 긍정적 왜도를 최대화하는 것은 심각한 시장 하락 기간 동안 우수한 보호를 제공할 수 있지만, 더 평온한 기간 동안 낮은 전체 위험 조정 수익률의 비용이 들 수 있다. Research Affiliates에서는 일반적으로 더 긍정적인 왜도를 위해 Sharpe Ratio를 교환하는 쪽으로 기울어진다.

이러한 트레이드오프를 이해함으로써, 투자자들이 장기 목표와 위험 관리 요구에 맞는 추세추종 전략을 구현하거나 식별하는 방법에 대해 정보에 입각한 결정을 내릴 수 있기를 바란다.

<출처:researchaffiliates.com>

keyword
작가의 이전글양자 컴퓨팅(quantum computing)이란?