brunch

권장 섭취량이 누구에게나 충분한가?-소변 유기산 검사

by 김기덕


권장 섭취량이 누구에게나 충분한가?
- 소변 유기산 검사(1)

영양제 라벨을 보면, 각 영양소들의 권장 섭취량이 적혀져 있고,
이 영양제에 들어있는 용량과
그것이 권장 섭취량의 대략 얼만큼에 해당하는지도 표시되어 있어요.



5_3dbUd018svc126myo6he54ex_f0tse7.png?type=e1920_std




그런데 누구에게나
필요한 비타민의 용량은 동일할까요?

가령, 머리를 쓰는 이세돌과
몇 시간씩 뛰면서 경기를 하는 손흥민에게 필요한
비타민의 종류와 양이 같지는 않을꺼에요.

그 뿐 아니라 젊은 이세돌과 나이가 든 이세돌에게
필요한 종류와 성분도 다를껍니다.

이런 것을
생화학적 개성(biochemical individuality)이라고 합니다.
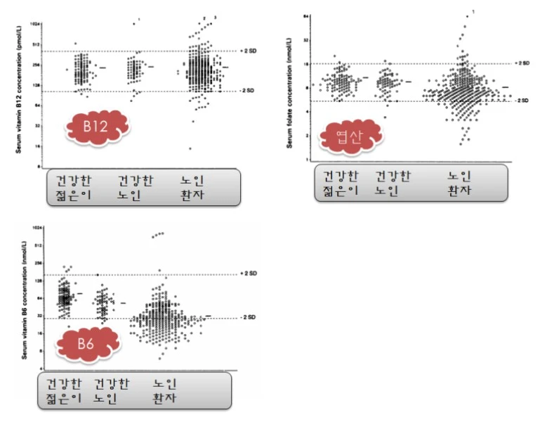
미국 노인에서 비타민 B12, 엽산, 비타민 B6가
흔히 부족하다는 것을 입증하는 연구가 있었는데요.*

몸에서 비타민 B12와 B6,
그리고 엽산이 하는 대표적인 역할중 하나는
동맥경화의 원인으로 알려진
호모시스테인(Homocysteine)을
다른 물질로 전환시키는 과정에 참여하는 것입니다.

그래서 이런 영양소가 부족하면
호모시스테인 수치가 올라가요.

비타민 B12가 부족하면
MMA라는 물질이 누적됩니다.
(MMA, methylmalonic acid)

이 연구에서,



j_6dbUd018svcz62kmmjvui7q_f0tse7.png?type=e1920_std





건강한 젊은이와 건강한 노인의
비타민 농도는 거의 정상이었구요.

노인 환자에서는 평균에 비해 약간 낮은 정도였어요.
그런데,



4_gdcUd018svc1f57ojnw048qm_f0tse7.png?type=e1920_std




건강한 젊은이와 건강한 노인을 비교했을 때,
비타민 농도가 대부분 정상임에도 노인에서
호모시스테인과 MMA가 약간 증가했구요,

노인 환자에서는 훨씬 더 많이 증가했습니다.



9_7dcUd018svc178l7nby2pm92_f0tse7.png?type=e1920_std




이 연구에서,
세 가지 비타민 농도가 다 정상인데도
호모시스테인 농도가 높은 경우,
즉, 혈중 비타민 농도가 정상임에도
부족한 경우라고 할 수 있어요. --> 더 필요함을 의미!



11?resolution_type=retina




이런 경우가
건강한 젊은이에서는 2%,
건강한 노인에서는 23%였습니다.

나이가 들수록 젊었을 때 충분했던 양도
부족하다는 의미에요.
노인환자 그룹에서도 15%로 젊은이에 비해서 높게 나타났어요.
다만 노인 그룹에서는 비타민 농도가 모두 정상인 경우가 적어서
해석에 약간 주의가 필요하겠네요.
어쨌든, 건강한 노인과 노인 환자를 비교했을 때에는
노인 환자 그룹에서 호모시스테인과 MMA가 높게 나타났어요.



1_8ddUd018svc54ohyo50zttc_f0tse7.png?type=e1920_std




건강한 노인의 30%에서, 노인 환자의 51%에서
호모시스테인이 증가되어 있었구요.
건강한 성인의 23%와 노인의 39%에서 MMA가
높게 나타났어요.

대략적으로 정리하자면,
나이에 따라서 비타민의 요구량이 더 늘어나고,
환자인 경우에는 더 많이 필요할 수 있다!

정도로 정리할 수 있겠네요.
그래서 혈액 속의 비타민 농도와
그것이 충분한지는 조금 다른 의미로 보아야 합니다.

충분해도 어떤 대사 과정을
진행시키는데 부족할 수도 있구요.
그래서 대사 물질을 보는 검사들을 하는데,
소변 유기산 검사가 대표적입니다.
다음엔 유기산 검사에 대해 말씀드릴께요.


*Am J Clin Nutr 1993;58:468-76

#biochemicalindividuality


#유기산검사


#소변유기산검사


#기능의학검사


#OAA


#OrganicAcidAnalysis


#생화학적개별성


#생화학적개성


#Homocysteine


#호모시스테인


#비타민B6


#비타민B12


keyword
작가의 이전글NK세포 활성도 검사란?