brunch

Physics as a Second Language

8 장

by 윤금현

8 장.



단위 벡터(유닛 벡터)에 대해서는 지난 번에 잠깐 알아보았습니다. 그러나 물리학의 거의 대부분은 벡터라는 형식을 이용하여 쓰여져 있기 때문에, 벡터에 대해서 더 보겠습니다.

벡터는 성분을 가지는 양이라고 하였습니다.

[벡터 알은 엑스 성분이 알 엑스, 와이 성분이 알 와이, 제트 성분이 알 제트이다.]


그럼 이제 위 벡터의 단위 벡터를 만들어 보겠습니다.

[벡터 알을 자신의 크기로 나누면, 단위 벡터인 알 캐럿이 된다. 단위 벡터의 방향은 원래의 벡터와 같다.]


숨겨진 의미도 있습니다. 벡터 알과 벡터 알 캐럿은 같은 방향을 가집니다. 방향이 바뀌었다는 말이 어디에도 없으니까요.

그럼 이제 단위 벡터를 어디에 쓰는지 간단한 예를 들어 보겠습니다.

용수철의 탄성 문제를 푸는 데 있어서, 요긴하게 사용되는 물리 공식이 있습니다. 누구의 법칙인지는 하나도 안 중요합니다. 한 번 써 볼까요?

어디선가 많이 본 듯한 식입니다. 그런데 좀 이상합니다. 왼쪽은 벡터인데, 오른쪽은 벡터가 아닙니다. 물론 고교 물리 책에는 힘 에프가 벡터가 아닌 스칼라로 표시되어 있기는 합니다만, 이제 위 식을 더 정확하게 바꾸어 볼까요?

뭔가 부족해 보입니다. 처음 케이 엑스 식의 스칼라를 벡터로 바꾸기는 했지만, 마이너스가 어디론가 가버렸습니다

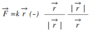
요렇게 하면 마이너스가 다시 살아납니다. 하지만 알 벡터 대신에 유닛 벡터를 사용하면 어떻게 될까요? 좀 더 그럴듯해지지 않을까요?

같은 것을 반대로 두 번 곱해주었으니, 식에는 아무런 변화도 없습니다.

물리학에서는 참으로 요상스런 짓들을 많이 합니다. 일단 알 캐럿을 하나 만들었습니다. 그러나 알 캐럿 뒤에 붙어있는 것이 보기가 싫습니다. 그런데 자세히 보니, 알 벡터가 앞에 하나 있고, 뒤에는 분모에 하나 더 있습니다. 약분해도 되겠지요?

오옷! 여기에서 뭔가를 해야 합니다. 새로운 것이지요. 가장 뒤에 붙어 있는 벡터 알은 절대값이 붙어 있습니다. 즉 벡터가 아니라, 벡터의 크기를 가리키고 있습니다. 방향은 상관없어지지요. 그러면, 이제 이것은 스칼라로 취급됩니다.

이제 거의 다 되었습니다. 순서만 몇 개 바꾸어서 예쁘게 만들면 되겠습니다.

물론 이렇게 하지 않고,

이것을 사용하여, 바로 결론을 내려도 되기는 합니다만, 위의 복잡한 과정을 보인 이유는 물리학이라는 언어가 이런 식으로도 전개된다는 것을 보여주고 싶었기 때문입니다.


표기법에 대하여 다룬 이유는, 물리학 책들마다 조금씩 서로 다른 표기법을 사용하기 때문입니다. 어떤 책에서는

‘에프는 마이너스 케이 알’

이렇게 나오기도 하고, 또 어떤 책에서는,

‘에프는 마이너스 케이 알 알 캐럿’

이렇게 나오기도 합니다.


표기법은 영어로 노테이션(notation)이라 합니다. 누가 대화 중에 ‘이거 노테이션이 좀 다르네.’ 하고 거들먹거리면, 가볍게 웃어주면 되겠습니다.


고양이가 어깨춤을 추면서 들어오고 있습니다. 요걸 앞으로 매양이라고 불러야 되겠습니다.

keyword