brunch

Physics as a Second Language

7 장

by 윤금현

7 장



물리학의 거의 대부분의 내용은 힘과 물체와의 관계입니다. 힘이 있으면 물체의 운동에 변화가 생기니까요. 역으로 하자면, 물체의 운동에 변화를 주기 위해서는 반드시 힘이 필요합니다.

앞에서 델타에 대해서 알아보았습니다. 델타는 변화량이었습니다.


[델타 엑스는 엑스 투 마이너스 엑스 원이다. 즉 델타 엑스는 엑스라는 양의 변화량이다.]


물리학에서는 보통 엑스라는 기호를 위치 또는 거리라는 양으로 사용합니다. 엑스 축도 같은 뜻입니다. 엑스만 사용하면 일반적으로 1 차원을 가리키지요. 만약 엑스와 와이 두 개를 쓰면 2 차원이고, 엑스, 와이 그리고 제트를 함께 쓰면 3 차원이 되겠습니다. 여기에 시간 티(t)도 끼여 들게 되면 4 차원이죠. 한 번 해볼까요? 어떤 양을 4 차원으로 표현하려면, 이렇게 하면 됩니다.



여기에서 소문자 ‘에프’는 함수를 가리킵니다. Function의 약자이지요. 그런데 함수는 왠지 모르게 수학의 향기가 나므로, 물리학에서는 그냥 어떤 양이라 칭합니다. 이왕 나온 김에 함수의 정의도 알아볼까요?



번역을 해 보면,


[윗 줄: 엑스에서 와이로의 에프가 함수라면,

아래 줄: 대문자 엑스라는 집합에 속하는 모든 원소 엑스에 대하여, 대문자 와이라는 집합의 원소 중 와이라는 원소가 딱 하나만 존재하며, 둘 사이에는 에프 엑스는 와이라는 식이 성립한다.

추가: 아래 줄 처음의 양쪽 화살표는 필요충분조건을 의미한다.]


위의 기호들 중 !(느낌표) 기호가 있는데, 이것이 바로 ‘딱 하나’ 라는 의미를 가집니다. 이 느낌표를 그냥 세로줄(|)로 써도 되기는 합니다. 그런데 왠지 모르게 느낌표가 더 느낌이 납니다.


그럼 다시 물리학으로 돌아가서, 물체의 운동에 대한 문법을 보겠습니다. 어떤 물체가 엑스 와이 평면에 있습니다. 그럼 그 물체의 위치는 어떻게 표시할까요?



간단하지요? 번역하면,


[물체는 엑스 축에서 엑스의 위치에, 와이 축에서 와이의 위치에 있다.]


‘아이 캐럿’과 ‘제이 캐럿’이 엑스 축 그리고 와이 축을 사용하고 있음을 보여줍니다. 이제 물체가 움직였습니다. 그럼 어떻게 표현할까요?



[물체가 ‘알 원’의 위치에서 ‘알 투’의 위치로 이동했다. 그 변화량은 델타 알이다.]


단위 벡터를 사용해 볼까요?



이건 번역을 생략하겠습니다.


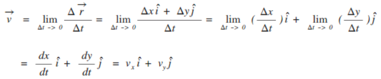
물체가 움직였으므로, 속도가 있었을 겁니다. 속도를 표현하면,



[속도는 위치의 변화량 나누기 시간의 변화량이다.]


위의 속도는 전체 운동에 대하여 다루므로, 평균속도입니다. 속도 ‘브이’의 아래에 ‘av’ 라는 표시가 있는데, 이 ‘에이 브이’는 그 ‘에이 브이’가 아니라, ‘Average’의 약자입니다. 그러나, 물리학에서는 평균속도보다는 순간속도를 더 좋아합니다. 그럼 순간속도를 표현해 보겠습니다.



[속도는, 위치의 변화량 나누기 시간의 변화량에서, 시간의 변화를 영으로 보낸 것으로서, 위치를 시간 미분한 것과 같다.]


‘리미트 델타 티가 영으로 갈 때, 델타 오버 델타 티’는 문법에 의하여 ‘디 오버 디 티’로 바뀝니다. 외국어니까요. 그럼 속도를 다른 표현으로 써 보겠습니다.



‘디 엑스 오버 디 티’를 엑스 축 방향의 속도 성분인 ‘브이 엑스’로, ‘디 와이 오버 디 티’를 와이 축 방향의 속도 성분인 ‘브이 와이’로 바꾸었습니다. 가속도까지 마저 해 버릴까요? 요걸 안 하면, 화장실에서 나오기가 힘들어집니다.



또 ‘에이 브이’가 나왔습니다. 번역하면,


[가속도는 속도의 변화량 나누기 시간의 변화량이다.]


역시 평균가속도이므로, 순간가속도로 바꾸겠습니다.



[가속도는, 속도의 변화량 나누기 시간의 변화량에서, 시간의 변화를 영으로 보낸 것으로서, 속도를 시간 미분한 것과 같다.]


야옹! 고양이가 유니크(unique)하게 있습니다.

keyword