brunch

Physics as a Second Language

6 장

by 윤금현

6 장



물리학에서는 벡터를 많이 사용합니다. 그 이유는 물리량을 표현하는데 있어서 벡터가 아주 편리하기 때문입니다. 벡터는 자체 내에 성분을 가지는 양입니다. 표현해 보자면,

간단합니다. 어떤 글자 위에 우측을 향하고 있는 화살표를 붙여주면 됩니다. 벡터 ‘에이’를 성분으로 표현하면, 그리고 벡터를 성분으로 표현하게 되면, 그 벡터의 뱡향성이 드러납니다. 이렇게 되지요.


[벡터 에이는 엑스 축 방향으로 에이 엑스, 와이 축 방향으로 에이 와이 그리고 제트 축 방향으로 에이 제트 만큼의 크기를 가진다.]


에이 엑스, 에이 와이 그리고 에이 제트가 벡터 에이의 성분입니다. 그리고 처음 보는 글자가 나왔습니다. 이제 이것에 대해서 알아보겠습니다. 그럼 먼저 단위 벡터부터 시작합니다.

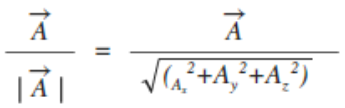
단위라는 표현은 두 가지 의미가 있습니다. 하나는 어떤 양의 뒤에 붙어서 그 양이 어떤 것인지 명확히 해 주는 의미를 가집니다. 가령 길이가 150 센티미터라고 하면, 센티미터가 단위가 되겠습니다. 두 번째는 어떤 양이 1 만큼 있다는 의미입니다. 여기에서는 두 번째 의미가 중요합니다. 벡터 에이를 단위 벡터로 만들면 이렇게 됩니다.


[벡터 에이를 자신의 크기로 나누면, 벡터 에이의 단위 벡터가 된다.]


벡터 에이의 앞 뒤에 수직선을 그었는데, 이것은 절대값을 의미합니다. 위의 표현을 더욱 자세히 쓸 수도 있습니다.

그런데 저 위에 있는 벡터 에이의 단위 벡터 표현은 쓰기에 귀찮은 면이 있습니다. 그래서 새로운 표현을 만들었습니다.

벡터 에이의 위에 모자를 씌웠습니다. 요걸 햇이라고 하기도 하는데, 물리학에서는 그냥 캐럿이라고 부릅니다. 영어로는 carot. 당근은 ‘r’이 두 개 들어갑니다. 'carrot'. ‘에이 당근’! 곤란합니다.

벡터 에이의 단위 벡터는 ‘에이 캐럿’이 됩니다. 에이 캐럿은 단위 벡터이고, 크기가 1입니다.


그러면 이제 벡터 에이의 성분을 표시한 식을 다시 한 번 봅시다. 에이 엑스, 에이 와이 그리고 에이 제트 성분 뒤에, 각각 아이 캐럿, 제이 캐럿 그리고 케이 캐럿이 붙어 있습니다. 요 세 캐럿들이 바로 엑스 축, 와이 축 그리고 제트 축 방향의 단위 벡터들입니다. 이건 수학과 물리학에서 새로 만들어서 사용하는 알파벳이 되겠습니다. 단위 벡터는 영어로 'unit vector' 라고 씁니다. 세 캐럿들의 크기는 어떻게 될까요?


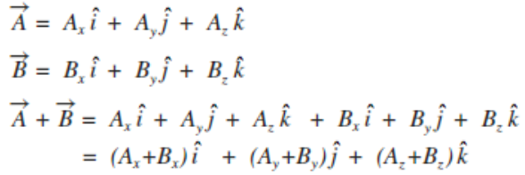
그럼 벡터의 더하기를 해 보겠습니다.


위의 문장을 해석하면,


[벡터 더하기는, 같은 방향의 성분끼리 더한다. 그리고 캐럿은 빼먹지 말자.]


이제 고양이를 부르지 않아도 될까요?

keyword