brunch

Physics as a Second Language

5 장

by 윤금현

5 장



그럼 이제까지 보았던 내용들을 다시 한 번 정리해 보겠습니다. 외국어를 배우려면 자꾸 반복해야 하지 않을까 합니다. 아, 그리고 대문자와 소문자를 구별할 필요가 있습니다. 그리고 하나 더! 가끔씩 다른 글자를 쓰기도 합니다. 이거 좀 문제가 있습니다. 이 외국어는 아직 완전히 표준화가 되지 않았거든요. 그렇지만 이런 경우는 거의 보기 힘드니까 별 문제 없어 보이기는 합니다.


F = 힘

m = 질량

a = 가속도

v = 속도

t = 시간

p = 운동량

L = 각운동량

r = 거리

N = 토크

d/dt = 시간에 대한 미분

E = 에너지

Ek = 운동에너지 (k는 아래 첨자입니다.)

= 변화량 (델타가 입력이 안 되어서, 그림으로 처리하였습니다.)


물리학도 일반적인 언어처럼 문장 구조가 주어와 술어 그리고 보어로 구성되어 있습니다.

주어는 왼쪽에 나오는 것이고, 보어는 오른쪽 끝에 나오는 것입니다. 그리고 술어가 주어와 보어 사이에 자리를 잡게 됩니다. 하나 더! 보어가 정확하게 표현하지 못하는 경우, 보어의 앞에 계수라는 또 다른 문장 성분이 들어가기도 합니다.

우리는 지금까지 여러 개의 주어와 보어에 대해서 알아보았습니다. 그리고 술어는 딱 하나 보았습니다. 바로 = (등호) 입니다. 대부분, 거의 대부분의, 99.99 % 문장은 이 등호라는 술어가 들어갑니다. 그러나 100 % 는 아닙니다. 아주 드문 경우에 ≧ 와 같은 술어가 나오기도 합니다.


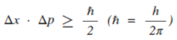
그럼 ≧ 술어가 들어가는 경우를 보겠습니다.



먼저 읽어 보겠습니다.

델타 엑스 곱하기 델타 피는 이분의 ‘에이치 바’ 보다 크거나 같다. (‘에이치 바’는 투 파이 분의 에이치이다.)


정말로 애매합니다. 그럼 하나하나 따져 볼까요?

델타는 변화량이라고 알고 있습니다. 엑스는 엑스 축의 어느 한 위치이고, 피는 운동량입니다. 이렇게 하고 보니 대충 알고 있는 것들이네요. ‘에이치’는 이름이 플랑크 상수입니다. 아까 저 위에서 보어를 도와주는 성분이 계수라고 하였는데, 이것을 상수라고 하여도 똑같습니다. 계수 = 상수. 그런데 경우에 따라서 계수라고 부르기도 하고 상수라고 부르기도 합니다. 골치 아파할 필요가 없습니다. 그냥 그러려니 하면 되니까요. ‘에이치’의 윗부분에 줄이 사선으로 그어져 있는 ‘에이치 바(bar)’는 괄호 안에 그 의미가 있습니다. 플랑크 상수를 2 파이로 나눈 것입니다. 필요하니까 아예 새로 하나를 만들었습니다. 그럼 이제 번역하면,


[위치의 변화량 곱하기 운동량의 변화량을 한 것은 이분의 ‘에이치 바’ 보다 크거나 같다.]


훨씬 낫군요. 물리적 의미는 생략합니다. 우리는 지금 물리학을 배우는 것이 아니라, 외국어를 배우고 있으니까요.


야옹이가 찾아 오도록, 참치 캔이라도 따서 놓아야 되겠습니다.

keyword