brunch

Physics as a Second Language

4 장

by 윤금현

4 장



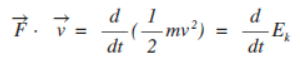
새로운 식을 하나 소개하겠습니다. 힘과 속도를 곱하면,

4-1.png

[힘과 속도를 스칼라 곱을 하였다.]


스칼라 곱이란 벡터 곱이 아닙니다. 보통의 곱하기와 비슷하다고 생각하면 됩니다. 그럼 위의 식을 조금 더 전개하겠습니다.


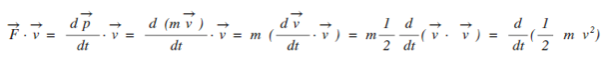
힘 에프는 '디 피 오버 디 티' 이고, 운동량 피는 '엠 브이' 입니다. 그리고 약간의 편법을 씁니다. 질량은 변하지 않으므로,


이제 물리학과에서 사용하는 놀라운 사기술을 보겠습니다. 실제로 이것을 예측하려면 상당히 비범해야 합니다만, 어쨌든, 다른 표현을 하나 보겠습니다.


역시 '앞에 꺼 미분 더하기 뒤에 꺼 미분'입니다. 이제 '디 브이 오버 디 티 곱하기 브이’ 라는 항이 생겼습니다. 점은 스칼라 곱이므로 전후를 교환해도 같습니다. 하나 더 위의 식을 보면 '디 브이 오버 디 티 곱하기 브이' 라는 항이 있습니다. 여기에서 '디 브이 오버 디 티 곱하기 브이' 라는 항을 ‘디 오버 디 티, 브이 곱하기 브이’로 바꾸겠습니다.


'이분의 일'이 있다는 것에 주의해야 합니다. 괄호는 괄호 안의 것을 먼저 계산하라는 의미입니다. 이제 '에프 곱하기 브이'를 정리해야 합니다.


같은 '브이'와 '브이'를 스칼라 곱을 하면 그냥 '브이의 제곱' 이 됩니다. 물리학의 문법이지요. 수학의 문법이어도 됩니다. 이제 해석을 하면,


[힘과 속도의 스칼라 곱은 이분의 일 곱하기 질량 곱하기 ‘속도의 제곱’의 시간 미분이다.]


번역은 했지만, 난해합니다. 그러나 여기에서 새로운 알파벳을 만들면 됩니다.

4-7.png

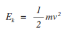
[이분의 일 곱하기 질량 곱하기 '속도의 제곱'을 운동에너지로 정한다.]


k는 kinetic의 약자입니다. 그러면, ‘에프 닷 브이’는 이렇게 변합니다.


‘에프 닷 브이’를 거리의 식으로 바꾸어 볼까요?

4-9.png


거리를 미분하면 속도입니다. 이제 이 식과 운동에너지 식을 합치겠습니다.

4-10.png


여기에서 새로운 문법을 소개하겠습니다. 원래는 양변을 적분해야 하나, 이렇게 해도 되기는 됩니다. 양변에서 분모의 '디 티' 항을 없애버립니다. 동시에! 그리고 ‘디’ 라는 글자도 없애버릴 수 있습니다. 당연히 적분을 해야 하지만 지금은 수학 시간이 아니므로 그냥 넘어 가겠습니다. 그러면,


알파벳 d가 어떤 다른 글자 앞에 붙어 있으면, 그 의미는 변화량이라는 의미입니다. 그것도 아주 아주 아주 아주 작은 변화량이라는 뜻입니다. 즉 미분양이지요. 그래서 위의 식의 양변을 적분하게 되면, 왼쪽은 '힘 곱하기 거리'가 되고, 오른쪽은 운동에너지가 됩니다. 정확히는 운동에너지의 변화가 됩니다. 그래서 델타를 붙였습니다. 세모는 델타인데, 이것 역시 변화량을 의미합니다. '디' 보다는 큰 양이지요. 물론 거기서 거기입니다만, 물리학에서는 구별을 합니다.


물리학에서는 일을 다음과 같이 정의합니다. 일은 W를 사용하는데, work의 약자입니다.

4-12.png


[일은 힘 곱하기 이동 거리이다.]


4-13.png


[일은 힘 곱하기 이동 거리이고, 운동에너지의 변화와 같다.]


어떤 물체에 힘을 주어서 물체가 이동을 하면, 물체는 일을 한 것이고, 그 양은 물체의 운동에너지의 변화와 같게 됩니다. 우리가 물체를 움직이려면 에너지가 필요합니다.


야옹아? 야옹아? 어디에 있니?

keyword