brunch

Physics as a Second Language

3 장

by 윤금현 Apr 4. 2017

3 장



1 장과 2 장에서 보았던 알파벳을 다시 한 번 보겠습니다.

F = Force, a = acceleration, m = mass, v = velocity, t = time, p = momentum, L = angular momentum, N = torque.


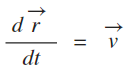
거리 r과 속도 v 그리고 가속도 a 사이에는 시간을 매개로 한 관계가 있습니다. 속도를 시간에 대해서 미분하면 가속도라고 했습니다. 그럼 이번에는 거리를 시간에 대해서 미분해 보겠습니다.


3-1.png


[거리를 시간에 대해서 미분하면 속도이다.]


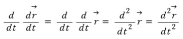
위의 식의 좌변에 '디 오버 디 티'를 한 번 더 해보겠습니다.



'디 티'의 제곱을 표현할 때는 '디 티'에 괄호를 해서 하나의 항이라고 표시를 해야 맞겠으나, 우리는 그냥 '디 티 제곱' 이라고 표현하고, 의미는 (dt)의 제곱이라고 알아듣습니다. 이것 역시 외국어의 한 표기법이지요. 이제 우변에도 '디 오버 디 티'를 하겠습니다.


3-3.png


[거리를 시간에 대해서 두 번 미분하면 가속도이다.]


1 장에서 '에프는 엠 에이'라고 했습니다. 이걸 가지고 조금 변형을 주겠습니다.


3-4.png


[힘은 질량 곱하기 '거리를 시간에 대해서 두 번 미분' 한 것이다.]


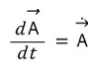
그런데, '디 오버 디 티' 라는 항이 좀 귀찮은 면이 있습니다. 글자도 많이 써야 할뿐더러, 분수 형태로 써야 합니다. 그래서 시간 미분에 대한 새로운 표기법이 나왔습니다.


3-5.png


자세히 보면 벡터 에이 위에 점이 하나 있습니다. 이 점을 해석하면,


[어떤 글자의 위에 있는 점은 그 글자를 시간에 대해서 미분함을 의미한다.]


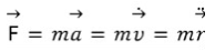
이제 '에프는 엠 에이'를 다시 쓰겠습니다.


3-6.png


[어떤 글자의 위에 점이 두 개 있으면, 그 글자를 시간에 대해서 두 번 미분함을 의미한다.]


고양이가 그리워지는 시간입니다.

keyword