brunch

Physics as a Second Language

2 장

by 윤금현

2 장



1장에서 몇 개의 알파벳을 알아보았습니다. F는 힘, a는 가속도, m은 질량, v는 속도, t는 시간, p는 운동량.

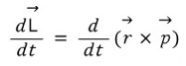
그럼 L은 무엇일까요? L은 각운동량입니다. 영어로는 Angular Momentum. 먼저 나왔던 p는 선운동량입니다. 영어로는 Linear Momentum. 그러나 선운동량은 그냥 운동량이라고 부릅니다. L은 반드시 각운동량이라고 불러야, p와 구별할 수 있습니다.

r은 거리입니다. distance의 d를 쓰는 경우도 있지만, 벡터로 표현할 때는 대부분 r을 사용합니다. radius의 r 입니다. 그리고 1장에서 '에프는 엠 에이' 라고 할 때는, 곱하기를 생략했지만, 여기에서는 반드시 곱하기를 써야 합니다. 물리학에서는, 일반적 곱하기는 생략하고, 벡터 곱하기는 반드시 곱하기 표시를 써야 합니다. 그러므로 위의 곱하기는 벡터 곱하기입니다. 영어로 쓰면 cross product, 또는 vector product. 위의 문장을 번역하면,


[각운동량은 거리 곱하기 운동량이다. 단 곱하기는 벡터 곱하기이다.]


벡터 곱하기는 지금 말고, 다음에 알아보도록 하겠습니다. 여기에는 문법이 필요하니까요. 아직은 알파벳을 배우는 단계입니다. 그럼 각운동량 정의의 좌우에 '디 오버 디 티'를 붙이겠습니다.

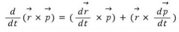
별 거 아니죠. 이번에는 우변을 바꿔볼까요?

요거는 쉽지요. '앞에 꺼 미분 더하기 뒤에 꺼 미분' 여기에서 거리는 변하지 않습니다. 왜냐하면, 각운동이라는 것이 실제로는 회전운동이기 때문입니다. 어떤 한 점을 중심으로 하고, 그 중심점의 주위를 물체가 빙글빙글 돌고 있는 상황입니다. 그러므로 중심점에서 물체까지의 거리는 변하지 않지요. 하지만 물체가 돌아가므로, 중심점과 물체를 이어주는 선은 계속 방향이 변하고 있습니다. 그래서 거리 r이 벡터가 되는 것입니다. 그래도 시간이 지남에 따라 거리의 크기는 변하지 않으므로 '디 알 오버 디 티'는 영이 됩니다.

번역하면,


[각운동량을 시간에 대해서 미분한 것은, 거리 곱하기 '선운동량을 시간에 대해서 미분' 한 것이다.]


이게 대체 무슨 말입니까? 조금 더 하겠습니다. 1장에서 나온 내용입니다. '디 피 오버 디 티'는 무엇이었습니까? 예, '디 피 오버 디 티'는 '에프'였습니다. 운동량의 시간 미분은 힘이었습니다.

번역하면,


[각운동량을 시간에 대해서 미분한 것은, 거리 곱하기 힘이다.]


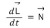
조금 나아졌습니다. 물체가 중심점 주위로 빙글빙글 돌아가고 있는데, 이 물체에 주어지고 있는 힘이 에프입니다. 힘이 주어지면, 각운동량이 시간에 따라 변합니다. 즉, 영이 아니지요. 만약 힘이 영이라면, 각운동량이 시간에 따라 변하지 않습니다. 각운동량의 시간 미분인 '디 엘 오버 디 티'가 영이 됩니다. 힘이 없으면, 회전하는 물체는 속도의 변화 없이, 계속 돌고 있습니다. 이제 N이 나옵니다. N은 토크입니다. 영어로는 torque. 위의 식에서 '알 크로스 에프'를 새로운 양으로 정의를 합니다.

그럼 이제 모든 것들을 합칩니다.

번역하면,


[각운동량의 시간 미분은 토크이다.]


비슷하지요? 선운동량을 미분하면 힘이 나오고, 각운동량을 미분하면 토크가 나옵니다. 토크는 중심점에서의 거리에다 힘을 곱한 것입니다. 재해석하면, 각운동량이 변화하려면, 토크를 주어야 한다. 반대로 해 볼까요? 토크가 없으면, 각운동량이 변하지 않는다. 즉 각운동량이 보존된다. 그런데 토크 역시 힘이 들어가 있으므로, 어떤 물체의 뭔가가 변하려면, 반드시 힘이 있어야 합니다.


우리 고양이는 어디에 있을까요?


keyword