brunch

Physics as a Second Language

1 장

by 윤금현 Mar 30. 2017

1 장



F 라는 글자는 영어에서는 '에프'이지만, 물리학에서는 에프가 아니고, Force입니다. 우리말로 하면 '힘'이지요. 영어 알파벳으로 하면 아마 A에 해당하는 글자가 아닌가 합니다. 물리학에서 가장 중요한 글자입니다. 맨날 튀어나오지요. 힘이 뭐냐고요? 물리학 책을 참조하시기를 정중히 부탁드립니다.

물리학을 처음 시작하면 으례 나오는 내용이지요. m은 mass입니다. 우리말로 하면 질량. a는 acceleration입니다. 우리말로 하면 가속도. 읽어보면 '에프는 엠 에이' 그럼 문장을 번역하겠습니다.


[힘은 질량 곱하기 가속도이다.]


부연 설명으로, F와 a 위에 작은 화살표가 붙어 있는데, 이것은 벡터라는 것을 의미합니다. 그러므로 힘과 가속도는 벡터이고, 질량은 스칼라입니다. 조금 더 할까요?

v는 velocity입니다. 우리말로 하면 속도.

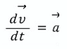
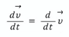
그런데 여기서 설명하기 곤란한 기호가 보입니다. 정규 고교 과정을 마치신 분들은 금방 알겠지만, 그래도 설명을 조금이나마 붙여야겠지요. 위 식을 보기 전에 먼저 다음 식을 보겠습니다.

이 식은 위의 식과 동일합니다. 척 봐도 그렇게 생겼습니다. 분수의 분자에 있는 v가 옆으로 살짝 이동한 것이지요. 여기에서 '디 오버 디 티'라고 읽을 수 있는 부분의 의미는, 시간에 대한 미분을 의미합니다. 그러므로 '디 브이 오버 디 티'는 속도를 시간에 대해서 미분한다는 뜻입니다. 그럼 다시 저 위의 식으로 올라가 볼까요? '디 브이 오버 디 티는 에이' 번역하면,


[속도를 시간에 대해서 미분하면 가속도이다.]


그리 어려워 보이지 않습니다. 그럼 여기에서 한 단계 더 나아가겠습니다.

이건 진짜로 쉽습니다. 가속도 a 대신 '디 브이 오버 디 티'를 넣은 것입니다. 이럼으로써 힘과 속도와의 관계가 만들어졌습니다. 번역하면,


[힘은 질량 곱하기 '속도의 시간 미분값'을 곱한 것이다.]


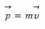
p라는 글자는 영어에서는 '피'이지만, 물리학에서는 피가 아니고 (음, 왠지 고스톱이 생각납니다만.......)Momentum입니다. 우리말로 하면 '운동량'이지요. 이게 왜 엠이 아니고 피인지는 모르겠으나, 일단 엠은 질량으로 사용하고 있으므로, 또 쓰면 안되는 것은 분명한 사실입니다.

'피는 엠 브이' 아까 힘은 질량 곱하기 가속도였습니다. 그런데 운동량은 질량 곱하기 속도입니다. 살짝 다르죠? 물론 운동량도 벡터입니다. 아, 벌써 번역이 되었지만, 다시 한 번 더 하겠습니다.


[운동량은 질량 곱하기 속도이다.]


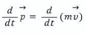
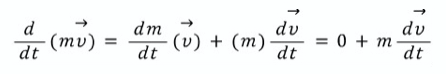
우와! 많이 했습니다만, 아직 조금만 더 해야합니다. 이유는 안 가르쳐줍니다. 이제 운동량 식을 가지고 변화를 주고자 합니다.

뭘까요~~? 위의 운동량 식의 좌우에 '디 오버 디 티'를 붙였습니다. 그래도 되니까요. 그럼 여기서 수학의 세계로 잠깐 갔다 오겠습니다. 물리학에서는 아주 특별한 경우가 아니라면, 질량은 변하지 않는 양으로 취급을 합니다. 질량이 변하는 경우도 있습니다만, 예를 들자면 핵반응 같은 것이지요. 그러나 우리는 지금 원자폭탄을 만들고 있는 것이 아니기 때문에, 질량은 변하지 않는 값으로 취급을 하겠습니다.

고교 수학 시간을 떠올리겠습니다. '앞에 꺼 미분 더하기 뒤에 꺼 미분' 바로 그 내용입니다. 질량은 시간이 지나도 변하지 않으므로, 미분을 하면 영이 되겠지요. '영 곱하기 브이'는 결국 영. 조금만 더 가 볼까요?

번역하면,


[운동량의 시간 미분은 질량 곱하기 '속도의 시간 미분'이다.]


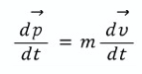
참으로 요상스런 말입니다. 그런데 외국어라서 어쩔 수가 없네요. 위의 식에 변화를 주면,

드디어 여기까지 왔습니다. 고교 물리에서는 '에프는 엠 에이' 라고 하지만, 대학 물리에서는 조금 더 폼나게 기술합니다. 번역하면,


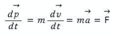
[운동량의 시간 미분은 힘이다.]


재해석하면, 어떤 물체의 운동량이 시간에 따라 변하려면, 즉 어떤 물체의 속도가 변하려면 (물체의 질량은 안 변하므로), 힘이 있어야 한다. 반대로 해도 됩니다. 물체에 힘이 주어지면, 물체의 속도가 변한다 (물체의 운동량이 변한다.). 만약 힘이 없으면, 즉 힘이 영이면, 물체의 속도는 변하지 않는다. 정지한 물체는 정지해 있고, 움직이고 있는 물체는 계속 그 속도로 움직인다.


이제 고양이를 부를 시간입니다.

keyword