메뉴
brunch
PySpark: SQL(with @UDF)
# 유연하게 SQL 작성 가능
by
유윤식
Sep 10. 2019
PySpark를 사용하면
U.D.F를 사용해야 할 때가 있다.
snappy 무손실 압축 => parquet, orc 형태를 사용하는 데이터는 걱정이 없다.
마치 DataSet을 사용하는 것처럼 schema 구조가 그대로 살아있다.
문제는 csv, tsv 같은 파일에서 Spark로 데이터를 로드 할 때 발생한다.
예를 들어,
분명히 배열의 형태인데 문자로 인식되는 경우!
[1, 2, 3, 4] 를 원하지만 실제로는 " [1, 2, 3, 4] " 로 인식된다.
이때 udf를 활용해서 데이터를 array<string> 형식으로 바꿔 줄 수 있다.
보통 데이터를 Spark로 가져올 때
df = spark.read.format('com.databricks.spark.csv',)\
.options(header=True, inferschema=True, delimiter='\t')\
.load('./dataset.tsv')
또는,
df = spark.read.format('com.databricks.spark.csv',)\
.options(header=True, inferschema=True, delimiter=',')\
.load('./dataset.csv')
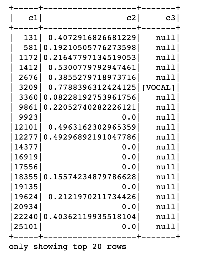
간단하게 가져온 데이터프레임의 스키마를 살펴보면,
c3 컬럼에 주목하자.
[VOCAL] 이 보인다. 분명히 배열의 모습인데 지정된 스키마는 스트링이다.
이러면 무슨 문제가 발생 하느냐!?
PySpark 함수를 통한 데이터 클링징이 어렵다.
예를 들어,
df.\
select(col('id').alias("c1"),
col('score').alias("c2"),
col('job').alias("c3")).\
where(
size(col("c3")) > 0
).\
show()
바로 오류 메시지가 보이는데,
Py4JJavaError
:
An error occurred while calling o5176.filter. : org.apache.spark.sql.AnalysisException: cannot resolve 'size(`c3`)' due to data type mismatch: argument 1 requires (array or map) type, however, '`c3`' is of string type.
이런 상황에서 udf를 적절히 사용해 주면 손쉽게 해결 할 수 있다.
먼저 udf를 선언하는데, (참고로 선언하는 방법은 여러, 다양, 가지각색이다.)
from pyspark.sql.functions import *
from pyspark.sql.types import *
str2arr =
udf
(lambda x: x.replace("[", "").replace("]", "").split(",") \
if x is not None else [],
ArrayType(StringType())
)
문자열을 배열 형태로 변환한다는 목적으로 만든 udf 함수이다.
udf 키워드를 통해 함수를 생성하면 자동으로 Spark에 등록되어 사용 할 수 있다.
위에서 선언한 udf를 통해서 'c3' 컬럼의 데이터를 변환한다.
df = df.\
select(col('id').alias("c1"),
col('score').alias("c2"),
str2arr(col('job')).alias("c3")).\
where(size(col("c3")) > 0)
변환된 스키마를 먼저 확인하면,
>> df.printSchema()
'c3'의 스키마가 문자열에서 배열로 바뀌었다.
실제로 데이터를 확인하면 이전에 보여진 오류가 아닌 실제 데이터를 볼 수 있다.
>> df.show()
이런 수고(?)를 안하는 방법은 처음부터 데이터를 DataSet으로 잘 만들어서
정의된 스키마를 사용하는 것이다.
끝.
keyword
SQL
함수
사용
4
댓글
댓글
0
작성된 댓글이 없습니다.
작가에게 첫 번째 댓글을 남겨주세요!
브런치에 로그인하고 댓글을 입력해보세요!
유윤식
직업
개발자
망각의 동물이기 때문에 작성하는 공부/업무 다이어리
팔로워
75
제안하기
팔로우
작가의 이전글
PySpark: SQL(with @Partition)
PySpark: SQL(with @Join)
작가의 다음글