적어도 2.718개

외계인은 있다

by 갈휘연

가끔 생각하는 주제다.

“우리만 존재하는 걸까?“라는 깝툭 질문.


그리고 오늘은 그 주제에

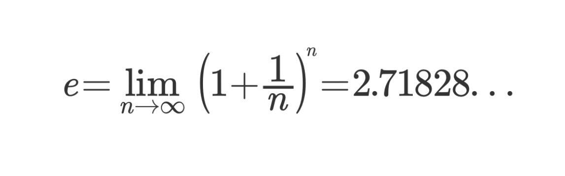
내가 좋아하는 오일러의 수, e까지 생각이 닿았다.

‘내가 존재함으로 인류가 존재하는 확율은 100%다.
고로 ‘1’은 지구와 인간 세상을 의미한다.
하지만 우리는 외계인을 만난적도,
발견을 한 적도 흔적을 찾은 적도 없다.
그렇다면 일단 태양계가 위치한 은하수에서
외계인이 있을 확율은
지구의 사이즈를 전체 은하수 대비 감안해 ‘무한대’라고 놓았을 때,
1 / 무한대, “거의” 0이라고 할 수도 있을 것이다.
e는 무한한 성장과 반복의 상징이듯
우리가 있는 은하수 말고도 우주에는 무한한 은하들이 있다.
우주가 무한하다면, 갤럭시의 갯수만큼 생명의 발생도 복리처럼, 한 번으로 끝나지 않고 반복된다고 보는 게 맞다.

e는 무한한 성장과 반복의 상징이다.
복리 계산, 세균 번식, 바이러스 확산, 자연 속 거의 모든 기하급수적 현상이 e의 리듬을 탄다.

고로 외계 생명체의 존재확율도 자연스럽게 반복된다.

그래서 결론은 2.71828…

그렇다면 지구가 단 하나일 이유는 없지 않은가?
오일러의 수에 따르면 결론적으로 적어도 2.7개! ㅋ’


오늘도 하늘을 올려다보다 머릿속에서 오일러의 수와 외계인이 연락이 닿아 뜬금포 상상을 해봤다.

작고 푸른 이 행성이 혼자가 아님을 상상해본다.


왠지 덜 외롭다.


역시 나의 최애 숫자.

e.

큭.


월요일 연재