시옷아:리을아이응

Feat. Love is

by skybunny





얼마 전

굉장히 쇼킹(shocking)한 노래를 들은 적이 있다

터보(Turbo)라는 이름의 남성 그룹이었고

Love is(3+3=0)라는 노래였다

아닛!!
-_-;;이게 왜 쇼킹한데?


일단 해석하자면,

암호를 풀어보자-..-;;)

1번 문제. Love is :사랑은 ~이다

이건 너무 쉽다-ㅁ-)

2번 문제. 3+3=0 : 어디 보자...


우선 6년 전에 그녀를 만난 것으로

되돌아봤을 때

3+3=6 이 되어야 하지만

화자가 처음 6년 전에 만났을 때

사랑하게 되었는데

그걸 숨기고 3년을 보냈다는 거다

-0-)/ 대다나다~어떻게 숨길 수 있지?


친구의 도움으로 여차저차

짝사랑 3년 차에 고백했는데

여자가 거절함

-_-지금 생각하니,
이 여자 알고 이용한 거 같은데?-ㅅ-네이뇽!

그러고 나서 군대 가서

도대체 얼마나 있었던 거야?

아닛!! 얘는 군대가 무슨
대학인 줄 아나... 3년씩이나;;;

정확한 년도가 기재되지 않았지만

3년간 군 생활을 했다는 가설로 두고_



우선.. f(x)를 당시 감정 총량이라고 가정했을 때,

여기서,

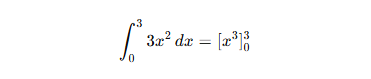
(0≤ x <3)의 x의 범위는

사랑만 하고 말 못 한 구간이고

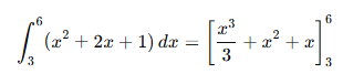
(3≤ x ≤6)의 x의 범위는

아프면서 성장한 구간으로 하자


그리고... 사랑의 총 의미(I)를 다음과 같이 정의할 때,

아... 남자도 자존심이 있으니까

자존심을 1씩 3번 뺀다고 하면,

-O-)/ 휴... 이제 계산해 볼까?

=27

=(72+36+6)-(9+9+3)=114-21=93


최종값 I = 27+93-3=117


즉, 답은 117이다

-ㅅ-;;휴 풀었다




아무리 짝사랑이라도

받아주지 않은 사랑이라도

사랑은 사랑이다

너를 사랑한 시간과 그로 인해

내가 배워야 했던 시간

결코

헛되지 않다고 본다

117이나 나왔다니까!!-ㅁ-)/



노래 제목의
계산이 틀려서 쇼킹했다 -..-킁
keyword
매거진의 이전글없다