꽃과 똥, 19세기 명품 향수의 비밀

by 김익규

백화점 1층 명품관을 지나가면 은은하면서도 산뜻한 향이 우리를 반겨줍니다. 마치 백화점 바깥의 현실과 완전히 분리된 듯한 느낌마저 주지요. 이런 점에서 우리는 무심코 19세기 저택이나 무도회장에서도 귀족들이 이처럼 세련된 향기를 풍기며 파티를 즐겼을 것이라 상상하곤 합니다.


하지만 우리가 19세기 유럽 대도시의 무도회장에 당도한다면, 충격적인 냄새가 가장 먼저 코를 찌를 것입니다. 오랫동안 씻지 않아 나는 체취, 산패한 기름 냄새, 그리고 이 역겨운 냄새들을 가리기 위해 뿌려댄 똥 냄새나는 향수가 뒤섞인 끔찍한 악취 말이죠.

19세기 무도회장을 묘사한 이미지 (generated by gemini 3.0 pro)


최상의 향을 위한 가장 역겨운 재료



근대 유럽의 거리는 상하수도 시설의 부족과 잘 씻지 않는 문화 탓에 늘 오물 냄새로 뒤덮여 있었습니다. 심지어 말똥과 인분이 거리에 넘쳐났고, 비가 조금만 심하게 와도 거리는 순식간에 똥물 범벅이 되기 일쑤였습니다.


이 시절 귀족과 신사에게 향수는 필수품이었습니다. 다만, 지금처럼 은은하게 매력을 어필하는 유혹의 수단이 아니라, 거리의 오물 냄새와 사람의 찌든 냄새를 덮기 위한 일종의 방독면으로 향수를 사용했습니다.


강한 냄새는 더 독한 냄새로 잡아야 하는 법! 당시 향수는 자연에서 구할 수 있는 가장 독한 향료들로 만들어졌는데, 놀랍게도 그 주재료는 동물의 배설물과 분비물이었습니다. 사향노루 수컷의 생식선(Musk, 사향), 사향고양이의 항문 분비물(Civet, 영묘향), 향유고래의 배설물(Ambergris, 용연향)은 18~19세기 향수에서 가장 중요하면서도 값비싼 핵심 재료였습니다

사향 (Musk) (출처: Musk, Wikipedia)
용연향 (Ambergris),(출처: Ambergris, Wikipedia)


악취와 꽃향기의 기막힌 조화



이쯤 되면 한 가지 의문이 떠오릅니다. "왜 단순히 꽃 추출물로만 향수를 만들지 않았을까?"


안타깝게도 단순한 꽃 추출물은 휘발성이 강해 향이 오래 지속되지 않을뿐더러, 악취와 강렬하게 대비되는 효과가 없어 싸구려 방향제처럼 평면적인 느낌만 줄 뿐이었습니다


놀랍게도 당시 조향사들은 꽃향기의 본질이 배설물의 냄새와 맞닿아 있다는 사실을 알고 있었습니다. 이 동물성 분비물들에는 인돌(Indole) 화합물을 포함하고 있습니다.. 인돌 화합물은 0.1% 이상의 고농도에서는 코의 악취 수용체를 자극해 구토감을 유발하지만, 극히 미세한 농도에서는 오히려 꽃향기와 관련된 수용체를 자극해 매혹적인 향으로 느껴지게 만듭니다.

인돌 (출처: Indole, Pumchem)


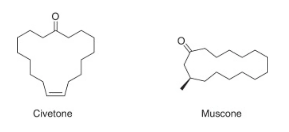
18~19세기 향수의 정석 레시피는 꽃 추출물과 동물 분비물을 섞는 것이었습니다. 동물성 분비물에는 인돌 외에 거대한 고리 분자 또한 혼합되어 있습니다. 이 고리 분자 분자량이 커서 꽃향기 분자에 비해 휘발성이 약할 뿐만 아니라, 화학적인 결합(반데르발스 힘)을 통해 가벼운 꽃 추출물 분자가 도망가지 못하게 붙잡아 둡니다. 이 분자 간의 상호작용은 가벼운 꽃향기가 공기 중으로 날아가지 않고 수 시간 동안 유지되도록 만듭니다.

영묘향과 사향을 이루는 거대 고리 분자 (출처: 3.06 Transannular Electrophilic Cyclizations, Comprehensive Organic Synth


결론적으로 당시의 향수는 배설물의 악취와 꽃향기를 대비시켜 후각적인 효과를 극대화함과 동시에, 꽃향기가 날아가는 것을 막아주는 정교한 화학 물질이었습니다. 강렬한 애니멀릭(Animalic) 베이스가 꽃향기를 단단하게 받쳐주며, 그 사이로 매혹적인 꽃향기가 은은하게 뿜어져 나오는 입체적인 인상을 주었던 것입니다.



맺으며



다행히도 악취와 꽃향기 사이에서 아슬아슬한 줄타기를 하던 조향사들의 사투는 20세기 초반, 비누 냄새가 나는 인공 향료인 알데하이드(Aldehyde)가 도입되며 끝을 맺게 됩니다.


1921년, 가브리엘 샤넬(우리가 아는 그 명품 브랜드 샤넬의 창립자)이 알데하이드를 듬뿍 넣은 향수 샤넬 No.5를 출시해 대히트를 기록하면서, 배설물에 의존하던 과거의 향수는 자연스럽게 역사 속으로 사라졌습니다.


오늘 백화점 명품관을 지나가며 은은한 향기를 맡게 되신다면, 향수를 예술로 승화시키기 위해 냄새와 씨름했던 19세기 조향사들의 마법 같은 이야기가 떠오르지 않을까요?

샤넬, No. 5 (출처: No.5, Wikipeida)
작가의 이전글19세기 중산층의 짝퉁 럭셔리, 페이즐리 이야기