brunch

배터리 기초 스터디

by 유현태


20220709_003704_293.jpg?type=w1200




배터리 개발팀 전기 전자 공학 기초 스터디 내용입니다.배터리는 산화, 환원 반응을 이용하여 화학 에너지를 직접 전기에너지로 변화하는 장치입니다.전자를 외부 회로로 이동하게 하여 전류가 발생합니다.배터리의 기본 단위는 '셀' , 셀 내부는 크게 (양극/ 음극/ 분리막/ 전해액) 으로 구성됩니다.







물질을 구성하는 가장 작은 원자를 원소라 합니다.








image_2501253381658284437187.png?type=w1200



image_7866198051658284645657.png?type=w1200







모든 원소는 원자번호를 부여 받는데, 원자 번호는 핵에 있는 양자의 수와 같습니다. 이 숫자는 전자의 수와 같기 때문에 전기적으로 원자는 중성이 됩니다. 모든 원자는 양자와 같은 전자를 가지므로 (+)와 (-) 전하는 서로 상쇄되고 따라서 원자의 실제 전하량이 0인 겁니다.원자핵에서 가장 멀리 떨어진 궤도에 있는 전자를 '가전자'라 합니다. '가전자'는 핵에 가까이 있는 전자들보다 큰 에너지를 지니면서, 원자에 약하게 구속되어 있으므로 이동이 용이합니다. 전기가 통한다는건 물질의 자유전자가 이동한다는 겁니다.







image_8755963401658284764133.png?type=w1200




image_7325282501658283464388.png?type=w1200




충분한 에너지를 갖춘 광자를 흡수하여 원자로부터 탈출한 전자를 '자유전자' 라고 합니다. 가전자의 개수가 적은 원소일수록 가전자가 자유전자로 변하기 쉽습니다. 즉, 전기가 통하기 쉽다는 말이고, 예시로 구리 원자는 가전자가 1개이므로 쉽게 전류가 흐릅니다.쉽게 전류가 흐르는 금속과 같은 물체를 '도체'라고 분류합니다. 도체는 보통 1-3개의 가전자를 지닙니다. 배터리 개발팀에서 사용하는 도체는 구리(Cu), 니켈(Ni), 철판(Fe), 기타 볼트와 너트 등이 있습니다.전류가 흐르지만 도체보다 자유전자를 적게 가진 물체를 '반도체'라고 합니다. 4개의 가전자를 지닙니다. 반도체는 다이오드(한쪽 방향으로만 전류가 흐르는 소자)나 트랜지스터 (전기 신호를 증폭시키는 장치), 직접 회로에 활용합니다. 전자 소재에 사용되는 것이고, 물체의 종류는 • Si (실리콘), Ge (게르마늄) 등이 있습니다. 마지막으로 전류의 전도성이 낮은 비금속성 물질 '부도체'가 있습니다. 비금속성 물질은 전류의 흐름을 차단하기 위하여 사용하며, 당연히 자유전자가 없습니다. 배터리 개발팀에서 사용하는 부도체는 'PLA(3D 프린터 소재), 폴리카보네이트(PC), 아크릴' 등이 있습니다.







image_6318029051658283488907.png?type=w1200




'전압(V)'의 다른 표현은 '전위차'입니다. 즉, 전하들의 위치에너지 차이라고 이해하면 쉽습니다. 전압은 전기회로의 구동력으로써 전류를 흐르게 합니다. 단위는 V(볼트) 입니다. 위 그림을 보면 배터리는 높이 차이를 발생시키는 역할과 같습니다. 즉, 전압원의 역할을 맡습니다. '전위'는 전기적 위치에너지'를 뜻합니다. 전위는 접지 (0V)를 기준으로 회로의 어떤 점에서의 전압을 나타냅니다. 따라서 전위는 절대적인 값입니다. 다시, 전압은 두 지점 사이의 전위차를 나타냅니다. 따라서 전압은 상대적인 값입니다. 전압이라고 하는 전기에너지, 혹은 기전력 (단위 전하당 한 일 V) 을 공급해주는 역할을 '전압원'이라 합니다. 전압원이 바로 2차전지 (배터리)입니다. 전하 (전자의 부족 혹은 과잉으로 인한 전기적 특성) 가 흐르는 비율을 '전류'(I)라 합니다. 전류는 단위 시간당 임의의 점을 통과하는 전자의 수 (전하량)을 의미하기도 합니다. 전류의 단위는 A(암페어) 입니다. 다시말해 전류는 전자의 흐름으로, 전기 회로에서 실제 전자의 흐름은 음극(-)에서 양극(+)으로 진행합니다. 그러나 최초 전류의 방향은 실제 전자의 운동과 다르게 양극(+)에서 음극(-) 인 양전하의 흐름으로 알려졌습니다. 이후 전자의 존재를 밝히며, 실제 전류의 방향은 (-)에서 (+)지만, 이론상은 (+)에서 (-)로 정했습니다. 전류의 흐름을 억제하는 성질을 '저항(R)'이라 하며, 단위는 'Ω'(옴)입니다. 전선은 저항이 매우 작기 때문에 많은 전류가 흐르면 가열될 가능성이 높습니다. 저항을 갖는 물질을 통해 전류가 흐를 때, 전자와 원자의 충돌에 의해 열이 발생하기도 합니다. 따라서, 배터리 박스에서는 배터리에서 출발한 전류가 버스바를 통해 흐를 때 발생하는 열 관리가 매우 중요합니다.전위차의 이해: https://yyxx.tistory.com/109







3. '전위'의 의미, 전위차와 상전압, 선간전압 3. '전위'의 의미, 전위차와 상전압, 선간전압 앞에서 봤듯이 물질을 아주 작게 쪼개면 원자가 되고, 원자는 양성자와 음성자(전자)로 이루어져 있다. 평소 원자는 양성자와 음성자의 숫자가 같아서 중성상태이다... yyxx.tistory.com




image_829370001658283519021.png?type=w1200




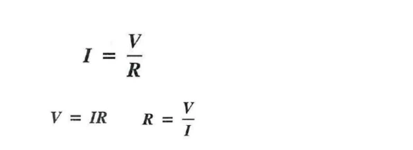
옴의법칙에 따르면 V=I.R이란 법칙이 성립합니다. 따라서 I= V/R 이고, R= V/I 도 성립합니다. 옴의 법칙과 응용 옴의 법칙은 크게 두가지 상황에서 응용할 수 있습니다. 우선 저항이 일정할 때, 전압이 증가하면 전류가 증가 / 전압이 감소하면 전류도 감소 합니다. 전압이 일정할 때, 저항이 작으면 전류가 증가하고, 저항이 커지면 전류가 감소합니다. 전류가 일정할 때에는 전류가 결과이기 때문에 옴의 법칙을 잘 쓰지 않습니다. 전압이 전류를 더 잘 흐르게 하고, 저항이 흐름을 방해한다고 생각하면 쉽습니다.







image_2418660831658293224724.png?type=w1200




물리학에서 일을 할 수 있는 능력을 '에너지(E)'라 합니다. 예시로 석유 에너지나 원자력 에너지와 같은 표현이 있습니다. 에너지의 단위는 '줄(J)'이고, 1줄은 1N의 힘으로 물체를 1M 움직일 수 있는 에너지 입니다. 단위 시간(T)당 전류가 할 수 있는 일의 양은 '전력 (P=출력)' 이라 합니다. 전력의 단위는 와트(W)이고, 단위 시간(t)동안 사용된 에너지(j)의 양입니다. 1W는 1초 동안 1J( 1j/s)의 일을 한 겁니다.







image_5429975991658293619736.png?type=w1200




줄(j)이 아닌 또다른 에너지의 단위는 '킬로와트시(kWh)' 입니다. 쉽게 이해하면, 전력(W)이 j/s와 같다고 생각하면 됩니다. W.t = J / 와트x시간= 에너지와 같습니다. 자동차 공학에선 에너지의 단위를 j을 활용했지만, 전기전자에서는 킬로와트시 kWh를 주 단위로 사용합니다.







배터리의 용량은 암페어x시간 (Ah)으로 표현합니다. 암페어 시간을 줄여 '암페어시'라고 칭합니다. 암페어시는 배터리가 정격 전압으로 일정한 양의 전류를 흐르게 할 수 있는 시간입니다. 2차 전지의 경우 배터리 재충전이 필요할 때 까지의 용량을 의미합니다. 따라서 1(Ah ) 암페어시는 배터리가 정격전압으로 평균 1a의 전류를 1시간동안 공급할 수 있어야 합니다. 만약 2A의 전류를 흘린다면 0.5시간이 될 겁니다.







image_434338731658293718733.png?type=w1200




➔ 배터리 개발팀이 사용하는 SAMSUNG INR 21700 40T셀은 4000mAh=4Ah 용량이다







image_3467991141658294222753.png?type=w1200




회로의 전류 제어및 보호 장치로 '스위치'를 사용합니다. 스위치는 회로를 열고 닫는 것을 제어합니다. 배터리 개발팀에서는 air (릴레이)라고 불리는 스위치를 사용합니다. 위 그림과 같은 상태가 OPEN입니다. 즉 회로가 열려있는 상태에서는 저항이 무한대라서 전류가 흐르지 않습니다.







image_476985751658283597337.png?type=w1200




위 그림은 SPST 싱글 폴, 싱글 스로우 (single-pole-single-throw) 토글 스위치 입니다. 'pole'은 스위치에서 움직일 수 있는 '암' 이고, throw는 한번의 스위치 동작에 의해 영향받는 접점의 수와 같습니다. 22년도 배터리 개발팀에서는 SPST-NO형 릴레이 스위치를 사용했습니다. NO(Nomally Open)의 뜻은, 특별한 전압 신호가 없으면 항상 Open(개회로: 저항이 무한대라 전류 0)상태라는 뜻이다.







추가 스터디:







image_8514841861657158958872.png?type=w1200




image_7629241221658295586563.png?type=w1200




image_8016561241658295531826.png?type=w1200




image_8411444841657158958870.png?type=w1200




image_869316689875066.png?type=w1200




image_590269011658295663402.png?type=w1200




image_1794378841657158958867.png?type=w1200




우리가 쓰는 li-ion 전지는 화학 에너지를 전기 에너지로 변환 시키는 장치입니다. 전류는 모든 물체의 전기적 성질을 나타냅니다. 1A (암페어)는 도선의 임의의 단면적을 1초동안 1C의 전하가 통과할 때 전류의 세기입니다. 전하량의 단위는 c(쿨롬)이고, 1 쿨롬은 6.25x10(18)개의 전자 수를 뜻 합니다. 전류(I) A(암페어)는 전하를 띤 입자의 흐름을 나타냅니다. 전기는 전자(-)의 흐름에 의해 발생하는데, 전류가 흐르려면 전압이 발생해야 합니다. 즉, (+) 전하와 (-) 전하의 전기적 위치에너지 차이가 전위차고, 전압입니다. 정리하자면 전압은 전기적 위치에너지의 차이(전압 강하)입니다. 강하 전압의 단위로는 볼트(v)를 사용하는데, 1v는 1c의 전하가 두 점 사이에서 이동하였을 때에 하는 일이 1(j)일 때의 전위차 입니다. '전지'는 전극과 전해질로 구성되며 2개의 전극은 자발적 산화 환원 반응을 일으킵니다.







?src=http%3A%2F%2Fblogfiles.naver.net%2FMjAyMTEyMTJfMTgx%2FMDAxNjM5Mjg4Nzc5MDQx.vAO1xgt7LLb1G_tqOZKCoxVWyeOgs7iIDt8tw5uj2pIg.G-mrFpJOtNAeI1CAqsQ7kCc3kCwSdfA-KztlRdg5VTcg.JPEG.asla22cen%2F%25C0%25FC%25B1%25E2%25C2%25F7_%25B9%25E8%25C5%25CD%25B8%25AE_%25C0%25DB%25B5%25BF%25BF%25F8%25B8%25AE.jpg&type=sc960_832




배터리의 충방전은 전자가 +극에서 -극으로 흐르면 충전이고, -극에서 +극으로 흐르면 방전입니다. 전류가 많이 흐르게 하면 충방전 속도가 빨라집니다. 배터리 에서 물질이 물에 녹아 양이온과 음이온으로 나누어지는 현상을 '이온화'라고 합니다.







배터리의 성능 결정의 전압과 용량배터리의 전압이 높다는 것은 '이온화' 경향이 높다는 것을 의미합니다. 금속은 수용액에서 전자를 잃고 양이온이 되려는 성질이 있습니다. 금속의 이온화 경향이 클수록 반응성도 커지며, 전자를 잃고 산화되기 쉽습니다. 용액 속에 이온화 경향이 큰 금속과 작은 금속이 존재하면, 때에 따라 산화환원 반응이 일어납니다. 이온화 경향이 큰 금속과 작은 금속을 조합하면 배터리의 전압을 키울 수 있습니다.
배터리 용량 (전력량)은 배터리가 저장할 수 있는 전기의 양입니다. 즉. 전자의 양입니다. 단위는 1Ah로, 1A의 전류로 1시간 동안 사용할 수 있음을 의미합니다. 만약 2600mAh의 배터리가 있다면, 2600mhA의 전류로 1시간동안 방전시킬 수 있습니다. 전류는 일종의 '흐름'이기 때문에 시간의 개념을 더해야 배터리의 에너지 양을 계산할 수 있는 겁니다. 이론적으로 배터리의 '에너지 양' 은 배터리의 용량에 전압을 곱한 값입니다. 에너지 E (일) (전령량) : kWh배터리 용량(용량): 암페어 아워 (전류 x 시간) 전력 P (일률) : j/s W = Vxi (Vx암페어) (일률로 1초동안 발휘하는 힘) 전력량 = VxIxt(S) 볼트x암페어 W) x아워 h) = 키로와트시 (kwh)?1W는 1초 동안 1J( 1j/s)전력x시간 = 에너지암페어 아워 ( 한시간동안 흘른 전 )전력량 ( 한시간 동안 진행한 일의 양)와트 = 전압 x 전류 ( 1초동안 발휘하는 힘)에너지 = 와트시 = 암페어 아워 x 시간전력량 = 암페어 아워 ( 전류 x 시간) kw 는 1초동안 발휘하는 힘 https://blog.naver.com/e077/186359686







image_9848662401658298386935.png?type=w1200




터리 직렬 S (Series) 연결
높은 전압이 필요시 2개 이상의 배터리를 직렬로 연결하며 용량과 사용시간은 동일하게 유지됩니다.







ba211128_001.jpg?type=w773




터리 병렬 P (Parallel) 연결
2개 이상의 배터리를 병렬로 연결 시 전압은 동일하게 유지되며 용량과 사용시간은 증가합니다.







ba211128_002.jpg?type=w773




이차 전지
방전과 충전을 반복하여 재 사용할 수 있는 배터리로서 충전식 제품에 사용되고 있습니다.
완전 방전 후 충전 사용하시는 게 좋습니다. 니켈 카드뮴보다 에너지 밀도가 높고 효율적입니다.

리튬 이온(Li-ion)
에너지 밀도가 높으며 메모리 효과가 없으며 자연 방전이 거의 없고 휴대용 전자기기에 많이 사용됩니다.
과충전으로 인한 수명 단축 및 잘못 사용으로 인한 폭발 위험도 있습니다.

※ 자연 방전 : 사용하지 않아도 시간이 지나면 에너지가 점차 방전되는 현상
※ 메모리 효과 : 완전히 방전되지 않은 상태에서 충전을 반복하면 최대 용량이 감퇴되는 현상






keyword
작가의 이전글Double Bubble STYLE ROOF