자리올림 피라미드 ⑧

상전이 효과와 수정 뉴턴 역학(MOND)의 평행선

0) 다시 한 번 되짚기

우리는 자리올림을 자릿수 경계 통과 사건으로 정의했다.


⑤–⑦편에서 이 사건의 빈도(λ)와 집중도(m)를 상전이의 질서변수로 해석했다.



임계점 근처에서 작은 변화가 전체 구조를 흔드는 현상이 자리올림에도 똑같이 나타났다.
→ 이번에는 그 현상을 뉴턴 역학을 수정한 시각(MOND)과 연결해 본다.



1) 뉴턴의 고전 법칙과 한계

뉴턴의 제2법칙: F=ma.


그러나 은하 회전 곡선을 설명하려 할 때, 관측값과 맞지 않는 구간이 있다. 별이 은하 가장자리에 있어도, 중심에서 예측되는 힘보다 더 빨리 회전한다.

이 모순을 해결하려고 “보이지 않는 암흑물질”이 도입되었다.


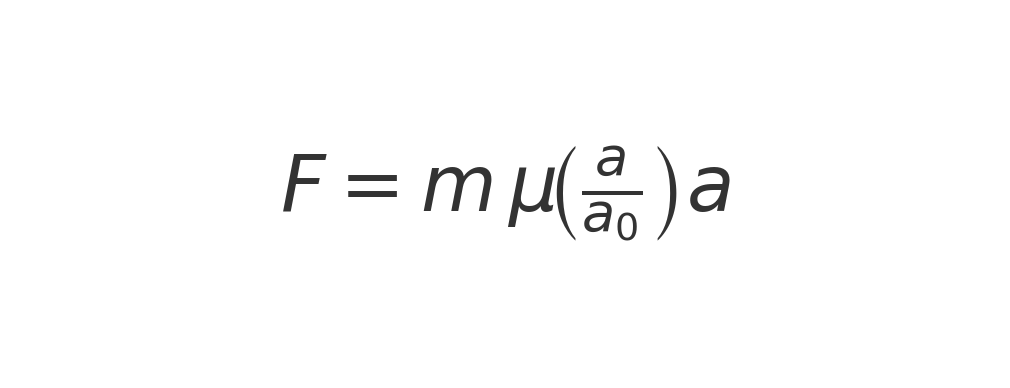
2) 수정 뉴턴 역학(MOND)의 제안

밀그롬(Milgrom)은 1980년대에 제안: 아주 작은 가속도 영역(a≪a0a \ll a_0a≪a0)에서는 뉴턴 법칙이 그대로 적용되지 않는다. 새로운 스케일 a0를 도입해서,

여기서 μ(x)는 전환 함수.


즉, 임계 가속도 a0 근처에서 기존 법칙이 “부드럽게 꺾인다”.


3) 상전이 ↔ MOND ↔ 자리올림

상전이: 임계점 근처에서 물리량 곡선이 갑자기 민감해진다.


MOND: 임계 가속도 a0 부근에서 운동 법칙이 새로운 규칙으로 전환된다.


자리올림: 임계 깊이 nc 부근에서 경계 통과율 λ와 질서변수 m이 급격히 변한다.


즉, 세 경우 모두 “임계치 근처에서 법칙의 전환이 일어난다”는 공통 구조를 갖는다.



4) 자리올림 피라미드의 MOND적 해석

작은 자리올림은 평소엔 무시된다 → 뉴턴 영역.


하지만 임계 n 이상에서는, 그 작은 자리올림이 전체 패턴을 꺾어버린다 → MOND 영역.


λ(n)과 m(n)의 변화는 은하 회전 곡선이 a0 근처에서 예상 곡선에서 이탈하는 것과 닮아 있다.


“자리올림 경계 통과 = 미세한 힘, 그러나 시스템을 새 규칙으로 이끄는 스위치”라는 은유가 성립한다.



5) 요약 직관

상전이는 작은 변화가 법칙 자체를 뒤집는 순간을


MOND는 작은 가속도 영역에서 기존 뉴턴 법칙이 수정되는 순간에


자리올림 피라미드는 작은 캐리가 전체 수열을 뒤흔드는 순간,


세 현상 모두 “임계 근처에서 새로운 질서가 나타난다”는 공통점을 가진다.


다음 편(⑨) 예고

λ(n)·m(n)의 변화율(민감도 χ)을 MOND의 임계 가속도 a0와 직접 대응시켜 본다.


자리올림의 임계 현상과 은하 회전 곡선의 수정 법칙 사이에 수학적 평행선을 세운다.


더 나아가 “자리올림 피라미드 = 미시적 MOND”라는 해석 가능성을 탐구한다.

이전 08화자리올림 피라미드 ⑦