brunch

기억하는 사람들은 우주의 변화를 이해하는 힘이 있습니다

역사를 알아야 하는 이유

by 누리

1. 우주는 멈추지 않는다 — 변화의 본질

우주는 단 한순간도 멈추지 않습니다. 태양은 숨을 쉬듯 빛나고, 별은 태어나며, 또 서서히 죽어갑니다. 행성은 표면을 새로 쓰고 지우기를 반복하며, 우리가 발 딛고 있는 지구조차 변화를 멈추지 않습니다.


우리도 마찬가지입니다. 세포는 분열하고 사라지며, 마음속 생각과 감정조차 하루에도 수없이 변합니다.


“영원히 변하지 않는 것”이라는 개념은 인간이 만든 관념일 뿐, 우주에서 모든 것은 흐름 속의 사건(event)에 불과합니다.

이 변화의 본질 앞에서 우리는 스스로에게 묻습니다.


“나는 누구인가? 나는 무엇으로 이루어져 있는가?”


정체성 역시 변화 위에서만 존재할 수 있는 흐름임을 깨닫게 됩니다.


2. 역사는 그 흐름의 지도를 그린다

역사를 배운다는 것은 단순한 과거 암기가 아닙니다. 역사는 변화의 방향과 패턴을 읽는 지도입니다. 국가와 문명의 흥망성쇠,
과학과 기술의 혁신, 가치관과 사회 구조의 변모. 이 모든 것은 고정된 결과가 아니라, 끊임없이 흐르는 과정입니다.


역사를 아는 사람은 현재가 결코 당연하지 않음을 알며, 다가올 변화를 두려움이 아닌 이해로 맞이할 수 있습니다.


마치 물리학자가 별의 진화를 연구해 우주의 법칙을 이해하듯, 역사를 아는 사람은 인간 사회의 길을 이해하게 됩니다.


3. 조상을 아는 것은 나를 아는 것이다

조상을 아는 일은 단순한 혈연 확인이 아니라, 나의 기원을 찾는 여정입니다. 조상은 우리의 뿌리이며, 그 뿌리 위에 우리는 한 그루의 나무처럼 자랍니다. 뿌리를 모르는 나무가 바람에 쉽게 쓰러지듯, 자신의 뿌리를 모르는 사람은 변화 속에서 흔들릴 수밖에 없습니다.


역사는 단절된 과거가 아니라 현재를 붙잡고 지탱해 주는 보이지 않는 손입니다.


조상을 아는 것은 곧 나 자신을 아는 것이며, 나라는 존재가 시간과 사건과 사람들로 얽힌 거대한 서사의 일부임을 깨닫는 것입니다.


4. 관계를 이해하는 힘 — 우주, 자연, 타인, 그리고 나

역사를 기억하는 일은 단지 개인과 조상의 관계에 머무르지 않습니다. 그것은 우주, 자연, 타인, 그리고 나의 관계를 이해하는 일로 확장됩니다.


우주와 나의 관계

우주는 나를 감싸는 가장 크고 깊은 배경입니다. 나는 그 일부로서 우주의 법칙 속에서 숨 쉬며 살아갑니다. 역사를 아는 사람은 별과 시간, 계절의 변화를 이해하려 애써온
인류의 발자취를 떠올리며, 그 과정에서 태어난 과학과 철학의 의미를 되새깁니다.


특히 한민족의 고유 사상인 선교(仙敎)는
우주와 자연, 그리고 인간이 하나임을 강조합니다. ‘仙’이라는 글자가 사람(人)과 산(山)으로 이루어져 있듯, 선교는 인간이 자연 속에서 분리된 존재가 아니라 우주와 더불어 살아야 할 존재임을 가르칩니다.


이는 우주를 단순한 외부 배경으로 보는 시각을 넘어, 우주와 내가 본질적으로 하나의 생명 공동체라는 깨달음을 줍니다.


선교는 또한 인간의 내면을 통해 우주의 본질과 연결하려는 수행적 전통을 강조하며,
그 속에서 하늘(天)·땅(地)·사람(人)의 조화를 추구합니다.


이러한 사유는 기독교가 인간과 하느님의 관계를 중심에 두는 것과 함께, 우주와 나의관계를 성찰하게 하는 두 개의 커다란 축이 됩니다.


자연과 나의 관계
인간은 세상을 오감(五感)과 의식을 통해 인식합니다. 이는 자연을 바라보고 이해하는 가장 기본적인 통로이자, 불교에서 말하는 인간 존재의 인식 구조와도 연결됩니다.


오감이란 시각(眼, 눈) – 빛과 형태, 색채를 인식하는 감각, 청각(耳, 귀) – 소리를 인식하는 감각, 후각(鼻, 코) – 냄새를 인식하는 감각, 미각(舌, 혀) – 맛을 인식하는 감각, 촉각(身, 몸) – 접촉, 온도, 압력, 통증 등을 느끼는 감각입니다.


인간은 다섯 가지 감각과 더불어 의(意), 즉 마음의 작용을 통해 법(法, 모든 정신적 대상)까지 인식함으로써 외부 세계와 접촉하고 자연의 현상을 경험합니다.


하늘의 푸름을 바라보고(시각), 바람의 소리를 듣고(청각), 꽃의 향기를 맡고(후각), 물의 맛을 느끼며(미각), 손끝으로 흙을 만질 때(촉각), 그리고 의(意)로 기억과 생각, 상상을 일으킬 때, 우리는 비로소 자연과 깊이 연결됩니다.


나와 자연과의 관계를 가장 잘 알려주는 종교는 불교(佛敎, 佛=人+弗)입니다.


나와 타인의 관계

역사는 한 개인의 발자취가 아니라 집단과 집단이 만나 부딪히고 협력하며 이룬 상호작용의 기록입니다. 전쟁과 화해, 이주와 융합을 거쳐 오늘의 사회가 형성되었습니다.
우리가 타인과 맺는 모든 관계는 이렇게 축적된 역사 속 규범과 가치라는 보이지 않는 토대 위에 서 있습니다. 따라서 역사를 아는 사람은 타인을 단순한 ‘타자’로 보지 않고,
함께 살아가는 동반자로 이해할 수 있는 지혜를 얻게 됩니다.


이러한 관계의 본질을 성찰하는 데 가장 큰 영향을 준 종교이자 철학이 바로 유교(儒敎)입니다. ‘儒(유)’라는 글자는 사람(人)과 필요(需)를 결합해, 타인과 더불어 살아가기 위해 반드시 필요한 도리를 의미합니다.


유교는 인간관계의 핵심을 인(仁)—타인을 향한 사랑과 존중—에서 찾고, 그 사랑을 구체적으로 실천하기 위한 방법을 예(禮)—사회 질서와 존중의 규범—에서 찾았습니다.
또한 서로 다른 입장을 이해하는 충(忠)과 서(恕)의 정신을 강조하며, 관계 속에서 갈등과 오해를 줄이고 조화를 이루는 길을 제시했습니다.


5. 인간 역사의 법칙 — 한민족과 천부경의 의미

물리학에는 우주와 자연의 변화를 이해하기 위한 법칙이 있듯, 인간의 역사에도 그 역사가 흘러가는 방향을 이해하기 위한 법칙이 존재합니다.


특히 한민족의 경우, 천부경(天符經)이 전하는 법칙에 따라 역사가 움직여온 특성이 있습니다. 천부경은 단순한 종교적 경전이 아니라, 우주와 인간, 그리고 시간의 본질을 압축적으로 드러낸 고대 지혜입니다.


한민족의 역사는 단순한 흥망성쇠가 아니라 특정한 방향성, 다시 말해 인류 공동체와 자연의 조화를 이루려는 특별한 흐름을 보여줍니다. 이 부분에 대해서는 저자의 다른 글에서 더 자세히 다룰 예정입니다.


그러나 분명한 것은, 한민족에게 주어진 특별한 사명이 있다는 점입니다. 그 사명은 단순히 민족 내부를 위한 것이 아니라, 변화하는 세계 속에서 인류 전체와 자연의 조화를 이루는 역할로 이어집니다.


우리가 역사와 뿌리를 아는 이유는 단지 과거를 위해서가 아니라, 앞으로의 사명을 자각하기 위해서이기도 합니다.


6. 변화 속에서 중심을 잃지 않는 법

역사는 단순한 사건 기록이 아닙니다.
역사는 변화를 받아들이는 법을 가르쳐줍니다.


철학자 헤라클레이토스는 말했습니다.
“모든 것은 흐른다(Panta Rhei).”
이 말은 변화를 두려움이 아닌 자연스러운 흐름으로 바라보게 합니다.


석가는 “Nothing is permanent(이 세상에 영원한 것은 없다)”라고 선언하며,
모든 존재가 무상(無常)하다는 진리를 설했습니다.


노자는 “도가도 비상도(道可道非常道)”,
즉 도(道)는 이름 붙여지는 순간 본래의 도가 아니라고 하였습니다.


이 말은 모든 것은 끊임없이 변하며,
언어로 고정할 수 없는 흐름 속에 있다는 의미를 담고 있습니다.


심지어 현대 물리학에서도 이러한 깨달음을 뒷받침합니다. 하이젠베르크의 불확정성 원리는 우주가 근본적으로 확정된 상태가 아닌, 항상 변동하는 관계와 확률 속에 존재함을 증명했습니다.


이렇듯 동서양의 철학과 현대 과학 모두
우주와 삶이 본질적으로 변화하는 성질을 갖고 있음을 보여줍니다. 그렇기에 변화를 거부하기보다는 그 흐름 속에서 중심을 잡고 살아가는 지혜가 중요합니다.

이 깨달음은 우리에게 겸손함을 줍니다. 나는 내 몸속 세포들에게는 신과 같은 존재일지 모르지만, 우주적 관점에서 나는 작은 먼지일 뿐입니다.

그러나 그 작은 먼지가 역사와 기억을통해 우주의 흐름과 연결될 때, 그 삶은 의미를 얻습니다.
SORA

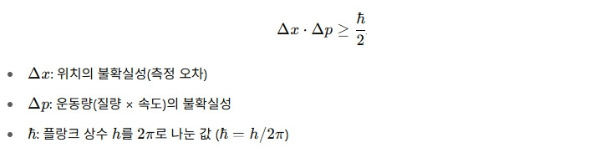
하이젠베르크의 불확정성 원리란?

하이젠베르크의 불확정성 원리(Heisenberg Uncertainty Principle)는 양자역학의 핵심 원리 중 하나로, 다음과 같이 정의됩니다.

입자의 위치(position, x)와 운동량(momentum, p)을 동시에 무한히 정확하게 알 수는 없다. 즉, 측정할 때 한쪽의 정확성을 높이면 다른 쪽의 불확실성이 커진다.

이를 수학적으로 표현하면 다음과 같습니다.

이 식은 입자의 상태를 무한히 정밀하게 알 수 없다는 자연법칙을 의미하며, 측정 장비의 한계 때문이 아니라 우주 자체가 가진 근본적인 특성임을 나타냅니다.


하이젠베르크의 불확정성 원리가 주는 철학적·물리학적 의미 중 하나는 바로 “우주는 항상 변한다”라는 사실입니다.


입자의 상태는 본질적으로 확정적이지 않습니다.
하이젠베르크의 불확정성 원리에 따르면, 입자의 위치와 운동량을 동시에 완벽하게 알 수는 없습니다. 이는 우주가 고정된 하나의 ‘정지된 상태’로 존재하는 것이 아니라, 확률과 변동 속에서 끊임없이 변화하고 있음을 보여줍니다.


양자 세계에서는 이러한 특성이 더욱 극명하게 나타납니다. 심지어 아무런 외부 힘이 작용하지 않아도, 진공 상태에서는 입자와 반입자가 생성되고 사라지는 양자 요동(Quantum Fluctuation) 현상이 일어납니다.
이것은 변화가 우주의 본질임을 상징적으로 드러내는 현상입니다.


이러한 과학적 사실은 오래전 철학자들이 말한 진리와도 연결됩니다. 석가는 “모든 것은 무상(無常)하다”라고 설파했고, 노자는 “도가도 비상도(道可道非常道)”라며 변화를 본질로 하는 도(道)를 강조했습니다.


현대 물리학은 이제 이러한 통찰을 수학적으로 증명하며,


우주가 불변하는 것이 아니라 끊임없이 움직이고 변화하는 세계임을 보여주고 있는 것입니다.


7. 결론 — 기억이 곧 힘이다

기억하는 사람은 변화를 두려워하지 않습니다. 왜냐하면 그는 이미 변화의 본질을 이해하고 있기 때문입니다. 조상을 안다는 것은 곧 나의 뿌리를 아는 것이며, 자연과 역사를 아는 것은 내가 속한 세계의 구조와 맥락을 이해하는 일입니다.


타인을 이해하는 일은 결국, 나 아닌 존재와 더불어 살아갈 수 있는 힘을 길러줍니다.

우주는 멈추지 않고 흐릅니다. 그 변화의 강물 속에서 중심을 잃지 않기 위해, 우리는 반드시 기억해야 합니다.


과거를 기억하고, 뿌리를 되짚고, 그 안에서 나를 다시 세우는 일이야말로 미래를 준비하는 가장 확실한 길입니다.


특히 우리 한민족은, 단순히 시간의 흐름 속에서 존재해 온 민족이 아니라, 천부경이 상징하는 깊은 우주적 질서와 함께 특별한 사명을 부여받은 존재입니다.


그 사명은, 우리가 우리 자신을 더 깊이 이해할수록 더욱 또렷해질 것입니다.


역사는 지나간 것이 아닙니다. 역사는 우주와 나를 잇는 다리입니다. 그 다리를 기억으로 건너는 사람만이 끊임없이 움직이는 세상 속에서도 방향을 잃지 않고, 자신만의 의미 있는 미래를 만들어갈 수 있습니다.


3분 명상

고요히 숨 쉬니, 마음이 맑아지고


흐르는 생각은 구름처럼 흩어집니다


변화 속에 흔들리지 않는 나를 보고


지금, 여기, 존재함에 감사드립니다

keyword
작가의 이전글나의 세포들은 나를 신으로 볼까요?