brunch

35. 한국 수학이 왜 문제인가?(3)

수능, 대입, 교육 그리고, 수학

by Amang Kim

1. 과연 한국 수학(혹은 수능)의 범위는 타당한가?

2. 대한민국 수학 교육과정은 잘 되어 있는가?

3. 기하와 벡터가 어려운 이유

4. 한국수학(혹은 수능 수학)이 어려운 이유

5. 대한민국 수학 교육이 가지는 근본적인 문제는?

6. 그래서, "볼드모트"는 누구인가?

7. 각자의 입장(교육부, 학원, 대학, 학부모, 학생)에 따른 대입전략



오늘 원래 시작은 5. 한국 수학교육이 가지는 근본적인 문제는?에 대한 이야기를 하려고 했는데, 갑자기 생각난 것이 있어서 이 이야기를 먼저 해야 할 것 같다. 이번 이야기는 구체적인 이야기라기보다는 "예제"라고 보는 것이 맞겠다. 모모나라에서 4년[0년도~0+3년도] 동안의 대입(수능) 수학 문제와 그에 대한 반응에 대한 가상의 이야기를 해보도록 하겠다. 우선, 3년 동안 교육과정의 변화는 없다로 가장을 하고 이야기를 풀어가보자.

[모모나라의 수학 (배우는)범위] (이후, 3년 동안 변동이 없다고 가정)

1. 극한

2. 이차 함수

[모모국가의 0년도 수능시험]

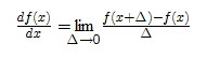
다음과 같이 미분을 정의 한다고 했을 때:

Clipboard01.jpg

다음을 구하시오.

Clipboard01.jpg

만약, 모모나라 각 계층의 반응을 살펴보면 다음과 같다:

우선, [언론]

0년도 수능 수학 예전보다 어려워...

고등학교 때 배우지 않은 범위를 벗어난 문제 출제...

수능 시험 갈수록 어려워져....

[대학교]

미분 정도는 고등학교 과정에 포함해야...

[학부모&학생]

학교에서 안 배운 것도 나오는 더러운 세상...

수능 잘 보내려면 학원 보내야 함...

[학원]

위의 문제는 미분을 모르면 풀 수가 없습니다. 학원으로 오세요.


이렇게 수능 시험의 분석을 마치고 나면, 학원에서는 수능의 최신 동향을 반영하여, 미분에 대한 내용을 학교보다 신속하게 가르치기 시작한다.

[보통 학원에서 가르치는 것]

Clipboard01.jpg

[조금 비싼 학원(?)에서 가르치는 것]

Clipboard01.jpg

[아주 비싼 학원(?)에서 가르치는 것]

Clipboard01.jpg

그리고, 1년이 지나 다음 년에 수능 시험이 다음과 같이 출제가 된다.

[모모나라의 0+1년도 시험문제]

다음과 같이 미분을 정의 한다고 했을 때:

Clipboard01.jpg

다음을 구하시오.

Clipboard01.jpg

이렇게 수능이 출제가 되면, 가장 비싼 학원은 더 비싼 학원이 될 것이고, 학부모들은 "더 좋은"(이라고 쓰고 더 "비싼"이라 읽는다) 학원을 보내야지만 대학을 보낼 수 있다고 생각한다. 그리고, 이때 각 계층의 반응은 대체로:

[언론]

수능 시험 갈수록 어려워져... 교육과정 수정 불가피...

[학부모&학생]

그냥 학원도 안되고, 강남의 비싼 학원 내지는 족집게 과외를 해야 대학 갈 수 있음...

수능 치려면, 미분을 알아야 한다.

[학원] 아주 비싼 학원에서 가르치는 내용을 가르치기 시작함.

그리고, 1년 후

[모모나라의 0+2년도 시험문제]

다음과 같이 "미분"을 정의했을 때:

Clipboard01.jpg

(3/x)의 미분함수를 구하시오.


0+2년도에 위의 문제가 나왔을 때, 각 계층의 반응 예상해보면:

[언론]

수능 난이도 작년과 비슷 한 정도...

학생의 변별력을 고려한 수준으로 출제...

[학생&학부모] ??? 멘붕.

(못 푼 부류) 아, 학원을 다녀도 안 되는구나.

(푼 부류) 역시, 학원을 다니니까 잘 하네.

[일단 끝]


물론 위의 내용은 가상의 상황이고, 조금 간략화시킨 경향이 있긴 하다. 하지만, 위의 가상적인 상황이 우리나라가 가지고 있는 수학교육/수능 시험이 가지고 있는 문제점을 적나라하게 보여주고 있다. 우선 가정은 고등학교(혹은 K-12)까지 미분/적분을 배우지 않는다고 가정을 했다. 모모나라의 0학년도 문제는 극한을 알면 풀 수 있는 문제이고, 극한에 관한 문제이다 (미분 문제가 아니다). 그렇지만, 언론은 학원은 이 문제를 "극한" 문제(즉, 고등학교 교과과정 범위)로 보지 않고, 미분 문제(즉, 고등학교 범위 밖의 문제)로 본다. 사실, 0학년도~0+2학년도의 문제는 모두 다 극한에 관한 문제이다. 그리고, 위의 예제는 "극한"과 "미분"에 대한 내용이지만, 실상은 (고등학교) 범위 내에서 생각을 하여야 할 문제를 범위 밖의 문제로 생각, 더 배워야 하는 문제로 접근하는 경우를 의미한다.


이렇게 학교에서 극한을 배우고, 학원에서 미분을 배워 대학에 온 신입생들은 대학수학(Calculus)을 추가로 미분과 특수함수를 배우고 기말고사를 친다 (대입 수능이랑 비슷한 예제로 전개 함).

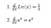
[(추가로 배운) 대학수학 범위]

1. 특수함수: Ln(x), Exp(x)

2. 미분


[0+2년 신입생 "대학"수학 기말 문제]

다음이 성립됨을 증명하시오

Clipboard01.jpg

이런 류의 문제가 출제되었을 때, 각 계층의 반응을 예상해 보면,

[신입생]

멘붕, 증명문제 너무 어렵다...

고등학교 수학 아무 쓸모없음...

[교수들]

미분, 특수함수 배웠는데 이걸 못 푸나?

미분은 고등학교 때 하고 와야 하는데...


물론, 위의 예제 또한 현재 상황을 단순화시킨 것이다. 하지만, 배우는 범위와 시험 범위와 그에 대한 반응들에 대한 흐름은 대한민국의 1990년대 후반까지의 전체적인 현상(학력고사 세대)과 비슷하다. 그렇다면 요즘은 어떤가? 다음 예제를 보자: 이후고등학교 때 배우는 개편된 수학 범위와 출제되는 0+3년도 수능 문제

[모모나라의 수학 (배우는) 개정 범위]

1. 극한

(2차함수는 어렵다고 빠짐)

[0+3년 입학생 대학수학 기말 문제]

1. Exp(x)를 미분하시오.

[진짜끝]


5. 대한민국 수학교육이 가지는 근본적인 이유

사실, 어느 동네이건 문제가 변별력을 가지기 위해서는 시험문제가 어려워질 수밖에 없다. 이는 대입 수능이건, IB이건 A-Level이건 마찬가지이다. 그리고, 이는 비단 수학만 해당하는 것이 아니다. IB의 영어 문제를 혹시 볼 기회가 있다면 보시길 바란다. 혹자는 우리가 영어권이 아니니까 어려운 것이 아니냐고 할 수도 있겠다. 그렇다면, 경제학 문제를 기회가 된다면 한번 풀어보길 바란다. 당연히, 어렵다. 수학도 예외는 아니니, IB-Higher의 수학이나 A-Level의 수학도 상당히 "어렵다" 그런데, 이 어렵다는 의미가 외국의 시험과 한국의 시험이 다르다. 어떻게 다른지를 이야기하기 전에, 수학 문제의 난이도를 높이는 방법(즉, 변별력을 높이기 위해 문제를 어렵게 만드는 방법)에 대해 잠깐 설명을 해야 할 듯하다. 수학 문제의 난이도를 높이는 방법은 크게 다음 세 가지이다:


1. 보다 많은 생각을 하게 하는 방법 (유형 1. 생각을 하게 하는 문제 I)

2. 다른 영역(과학, 경영)에 적용을 하게 하는 방법 (유형 2. 생각을 하게 하는 문제 II)

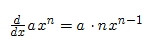
3. (고등학교) 지식수준 이상의 내용을 포함하는 방법 (유형 3. 범위 외의 (단순) 계산 문제)


그리고, 이러한 방법은 둘 혹은 그 이상의 조합이 가능하다. 단순히, 보다 많은 생각하는 (수학)문제가 아니라, "다른 영역에 적용하면서, 많은 생각을 필요로 하는" 문제는 난이도가 훨등히 높다. 이렇게 분류를 하고, 문제의 난이도를 논하게 되면 한국과 미국/영국의 변별력을 위한 소위 어려운 시험이 어떻게 다른지 이해가 한 번에 될 것이다. 그렇다.


미국/영국(SAT-Subject, IB, A-Level)은 주로 1번과 2번유형(혹은 1,2번 조합)의 문제들로 난이도를 높이는 반면,
한국은 3번 유형의 문제로 난이도를 높이는 경향이 강하다.


물론, 3번 유형(고등학교 지식수준 이상의 내용)의 문제를 낸다고 해서, 문제가 무한정(대학교 수준 이상)으로 어렵게 낼 수는 없다. 고등학교 졸업생이 알아야 할 지식수준을 훨씬 넘어선 수준을 문제로 만들 수 없다는 점을 감안하여야 한다. 그게 한국이던 다른 나라이던 말이다. 그래서, 3번유형의 문제는 대체로 생각할 필요가 없는 문제들이 많다. 아, 그렇다고 문제가 쉽다는 이야기는 아니다. 이러한 유형은 배우지 않으면 풀 수가 없다. 마치 모모나라의 0학년도~0+2학년도 수능 문제들처럼 말이다. 고등학교 과정에는 없고, 학원에서 가르치는 "미분(공식)"을 모른다면 풀 수가 없다. 또 한 가지 문제는 이렇게 수능을 열심히 공부해 입학한 0+2학년도 신입생들은 수능 칠 때는 틀림없이 풀었던(풀었으니 입학을 했다는 전제하에) 미분문제 [0+2년 신입생 "대학"수학 기말 문제]를 대학생이 되어서도 풀지 못한다. 왜냐하면, 학원에 배운 것은 미분"공식"이고, 실제로 미분을 배운 적이 없기 때문이다. 여기서 진정한 반전은 이렇게 미분 문제를 풀고 입학한 신입생들은 미분을 알고 있다고 "착각"하고 있다는 거다. 애초부터 미분 문제만 풀 줄 알았지, 원리에 대해서는 관심(혹은 생각)이 없으니까 말이다. 이러한 문제는 특정한 부분의 문제가 아니라, 서로 연결된 체인과 같다.


변별력을 높이기 위해서 범위 외의 문제를 내고, 범위 외의 문제를 풀기 위해서는 학원을 다녀서 "문제 풀기"만 배우고, 애들은 어려운 문제를 풀었으니, 안다고 착각하고, 대학교가서는 여전히 원리에는 관심이 없고, 그러니 신입생들의 수학능력을 떨어지고, 그러니 고등 교과과정 어렵게 해야 된다고 이야기하고, 새로 추가된 범위로 수능은 더 어려워지고, 수능 어려워지니 또 학원 다니고, 학원에서 "문제풀기"만 배우고, 얘들은 착각하고, 신입생은 관심 없고... 그러다, (볼드모트가) 고등학교 과정은 너무 어렵다고 난리치면,정작 필요한 내용(범위)조차 빼버리고... 수능은 변별력 높이기 위해 범위 외의 문제를 내고, 학원 다니면서 "문제 풀기"만 배우고... (어떤 경우던, 무한루프)


이즈음에서, 누군가는 고등학교나 학원에서 문제 풀기만 가르치지 말고 "제대로(혹은 생각하게)" 가르치면 되지 않느냐는 의문을 할 것이다. 하지만, 여기서 생기는 문제는 또 있으니, 그중 한 가지는 지난번에도 언급했듯이, 우리나라의 (수학을 포함한 모든) 교육과정은


1. 수능(혹은 대입)에서 시작해서 수능에서 끝난다는 점이고, 또 하나는

2. 수능 문제가 생각을 하던 하지 않던 3분 내외로 한 문제를 풀어야 하도록 구성


되었다는 점이다. 그래서, "제대로 (생각하게)" 가르치는 것이 사실상 불가능하다. 더 엄밀하게 말하자면, 아무리 수학적 사고를 잘 하더라도, (수능에서) 문제를 빨리 풀지 못하면 수학 능력을 인정받지 못한다. 특히, "볼드모트"에게 말이다. 그리고, 이러한 "볼드모트"의 능력으로 대학의 입학사정에도 영향을 미치는데,

수능 (수학)성적만이 수학 능력을 인정받는 유일 잣대

로 작용하게 만든다. 행여, 수능 외의 다른 잣대로 다른 학생이 입학하기라도 하면, "볼드모트"는 입학사정의 형평성을 빌미로 해당 대학에 재앙을 몰고 올 것이다. "볼드모트"에게는 (진정한 의미의) 수학 실력이 중요한 것이 아니라, 수능(대입) 시험에서의 수학성적이 훨씬 더 중요하다. 어떤 과정이 실제로 중요한지 아닌지가 아니라, 이 과정이 포함됨에 있어서, 문제를 한 문제 더 맞힐 수 있는지 없는지에 더 관심이 많다. 원칙적으로는 생각을 요하는 문제(1번 유형 혹은 2번 유형)들은 학생들의 실질적인 수학 능력을 판단할 수 있는 좋은 지표가 될 수 있다. 하지만, 이렇게 좋은 지표가 될 수 있는 문제들 조차도 "볼드모트"는 이 모든 것을 무력하게 만들어 버린다. 이 모든 이야기의 시작인 모모나라의 0학년도 문제를 기억하는가? 기억나지 않는 다면 다시 보자:

Clipboard01.jpg

모모나라의 0년도 수능 문제는 고등학교 수준에서는 범위 밖의 문제(3번 유형)가 아니라, 생각해야 하는 문제(1번 유형)의 문제이다. 문제는 같은데 문제의 유형이 바뀔 수 있는 이유는 배우는 범위에 따라, 요구되는 능력이 달라지기 때문인데, 위의 문제의 경우를 예를 들자면


미분(공식)을 알면, 단순 계산 문제 (유형 3)

(미분은 모르고) 극한만을 알면, 극한의 원리를 생각해야 하는 문제 (유형 1)


가 된다. 이러한 문제의 태생적인 근본적인 한계 중 한가지는 생각을 해야 하는 문제(특히, 1번 유형의 문제)는 콜럼버스의 달걀과 같기 때문인데, 이게 무슨 말이냐 하면 답을 알기 전에는 어렵지만, 답을 알면 쉬운 문제라는 거다.

download.jpg 콜럼버스 달걀 아님, 그냥 깨진 달걀

그렇기에, 단순히 대학을 가기 위한 변별력이 아닌,

실질적인 수학적 사고능력(생각하는 능력)을 판단하기 위해서는
답을 모르고(혹은 배우지 않고), 문제를 풀도록


해야 한다. 이러한 관점에서 봤을때, 모모나라의 0년도 문제는 생각을 해야 하는 유형의 문제(학생들의 실질적인 수학능력을 판단할 수 있는 문제)이다. 하지만, 모모나라에서는 "범위 외의 문제(유형 3)"로 통용이 된다. 그리고, 이러한 황당한 상황이 가능하도록 만들진데는 고객이 원하면 뭐든지 다해주는 거대한 사교육(학원, 과외)시장과 관련 있다. 사교육의 목적은 아이들의 (실질적인) 수학 능력 향상이 아니라, 수능 수학 성적 향상에 그 목적을 둔다. 다들 경제학을 배워서 아시겠지만, 이러한 기형적인 목적의 사교육(혹은 학원/과외)의 공급(supply)이 팽창하는 데는 그에 공급 이상의 수요(Demand)가 있기 때문이다. 그리고, 이러한 수요의 핵심에는 "볼드모트"가 있다. 그렇다! 한국 수학교육의 근본 문제에는 "볼드모트" 가 있단 말이다.


[계속]


keyword
매거진의 이전글34. 한국 수학이 왜 문제인가?(2)