아름다운 것을 보기 위한 공부
아름다운 것을 알아보기 위해 공부를 곁들인다.
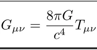
G = 시공간의 형태
T = 질량과 에너지의 분포
다른세계에 존재하는 두가지 요소를 결합
왼쪽 : 수학과 기하학
오른쪽: 물리학과 물질 움직임의 세계
물질은 공간과 시간을 굽게 하고, 공간과 시간은 물질을 움직이게 한다.
지렸다.
#아인슈타인 #상대성이론
‘미술을 모르는 사람은 없다’(2025) 저자, 미술을 쉽게 풀어내며 전시, 작가 매니지먼트, 출판, 강연으로 예술의 가치를 전합니다.