37 퍼센트의 규칙

우리 삶을 지배하는 오일러의 수

by astrodiary
Eulers-number-750x395.jpg 오일러 수 e

베르누이가 처음 발견했다고 알려져 있지만, 오일러의 이름이 붙은 이 수는 아래의 두 가지 방법으로 계산할 수 있다.

enumber1.png
enumber2.png

여기서 2!=1*2, 3!=1*2*3, 마찬가지로 n!=1*2*3*4*...*n 으로 정의되는 연산이다. n 값을 늘려가며 직접 계산기로 계산해 보면 두 번째 식이 더 빨리 2.7182818... 에 수렴한다는 사실을 알 수 있다 (두 번째 식은 n값이 10이 채 되기도 전에 2.7182818에 가까운 값을 얻을 수 있지만, 첫 번째 식은 n 값이 100은 되어야 2.7182818에 가까운 값을 얻을 수 있다).


테일러 정리를 이용하면, e를 밑으로 하는 지수함수 exp(x)는 아래와 같이 쓸 수 있다.

38978c994e4ef8842574d54e0890fd2a55a90fc7

역시 마찬가지로 테일러 정리를 이용하여 삼각함수를 전개하면, 아래의 식을 얻을 수 있는데,

sincos_taylor.png

이제 sin(x)에 허수 i를 곱하고 cos(x)와 더하면,

aab1fcd1a6db5cc6678bb9cbd871580eeeb86eda

x에 pi를 대입하면, 오일러 항등식이라고 불리는, 수학자들이 세상에서 가장 아름다운 공식으로 꼽는, 아래의 식을 얻는다.

47665065f6bec7fb83e5b667197b8f93f4ca36da

이 항등식에는 수학의 각기 다른, 산술 (0과 1), 기하 (원주율), 해석 (자연로그), 대수 (허수 i) 학에 쓰이는 중요한 숫자들이 들어가 있다. 그냥 그런가 보다고 하고 넘어가기엔 너무나 신기한 일이 아닐 수 없다.


이 오일러 수 e는 여러모로 신기한 수이다. 자연계의 꽤 많은 현상 (인구증가, 동위원소 반감기, 등등)들을 이 숫자를 이용해서 설명할 수 있고, 모든 물리적 파동현상을 기술하는데 지수함수 exp(ix)는 필수적이다. 천문학에서 별의 등급을 정할 때 1등급 차이가 왜 2.5118배가 되어야만 하는지를 생각해 보면, 왠지 좀 더 근 본적인 이유는 우리 감각기관이 어떤 두 양의 상대적 차이를 인지하는 순간이 그 둘의 차이가 2.718 (2.5118과 비슷하다) 배를 넘는 순간이기 때문이 아닐까 하는 생각을 지울 수 없다.


오일러의 수는 생각보다 우리 실생활에 많은 영향을 미치는 수이다. 그렇게 잘 알려져 있지는 않지만, 우리 일상생활에 깊숙이 들어와 있는 알고리즘 중의 하나는 "37퍼센트의 규칙"이라는 것이 있다 (죄수의 딜레마를 처음 고안해 낸 메릴 플러드라는 수학자가 처음 소개 한 것으로 알려져 있다).


여러분이 회사의 사장이고 비서를 채용한다고 해보자, 요새 같은 불경기에 수많은 지원자들이 여러분의 비서가 되기 위해 지원서를 제출하였고 여러분은 누구를 비서로 뽑을지 고민을 하게 된다. 그저 열몇 통 정도의 지원서라면 일일이 읽어보고 최고의 지원자를 선발하려고 하겠지만, 수 백통 혹은 수 천통의 지원서가 접수된 상황이라면 접수된 원서들을 하나하나 읽어보기는 거의 불가능하다. 이때 모든 원서를 읽는 데 버리는 시간을 아끼고 동시에 능력 있는 좋은 후보를 고르려면 어떻게 해야 할까? 답은, 일단 처음 37퍼센트 정도의 원서를 읽고 난 후 가장 최고의 점수를 기억했다가, 다음 후보자의 점수가 이보다 높으면 채용을 하고 (나머지 후보들의 원서는 읽지 않는다) 그렇지 않을 경우 그다음 후보자의 원서를 평가한다 (37퍼센트의 원서에 대해서 평가한 최고의 점수보다 높은 점수를 가지는 원서가 나올 때까지).


37 퍼센트의 규칙은,

주차장을 찾을 때: 10분 내에 주차를 해야 하는 경우, 우선 3분 정도를 돌아다니며 살펴보다가 이전보다 나은 장소가 나오면 주차를 한다.

시장에서 물건은 고를 때: 같은 물건을 파는 곳이 열 군데라면, 한 세 군데 정도를 돌아다닌 후, 네 번째 혹은 그 이후의 가게에서 그 전보다 싸고 좋아 보이는 물건이 있으면 거기서 구매를 한다.

중고차를 살 때: 열개의 딜러가 있으면, 그중 세 군데를 골라 차를 보고, 네 번째 혹은 그 이후에 만나는 딜러에서 더 좋은 딜이 있으면 차를 산다.

에도 비슷하게 적용할 수 있다. 그럼 왜 37 (정확히는 36.787944117) 퍼센트 여야만 할까?


비서 채용 공고에 지원한 지원자수가 n명이라고 하고, 그중에 최고의 지원자를 a (몇 번째로 면접을 하게 될지 알 수 없다)라고 해보자. 37퍼센트의 규칙에 따라서 처음 r-1 지원자들의 원서를 평가만 하고, 채용은 하지 않는다. 그리고 r 번째 지원자부터 원서를 평가한 후 처음 r-1 명의 지원자들 중 최고의 점수보다 높으면 평가를 중지하고 그 사람을 채용한다 (즉 채용되는 사람은 꼭 r 번째 사람이어야 할 이유는 없으며, r+1 아니면 r+4 번째 사람이 될 수도 있다). 이제, 이 전략이 성공할 확률을 생각해 보자.


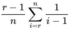
i=r, r+1, r+2,...., n을 만족하는 주어진 i에 대해서, 최고의 지원자 a가 i 번째 지원자로 면접을 보고 그때까지 면접을 본 i-1 명의 지원자들 중에서 최고의 점수를 가진 사람이 처음 면접을 본 r-1 명의 지원자 그룹에 있을 확률을, i 가 r, r+1, r+2, ..., n 인 경우에 대해서 계산하여 모두 더 하면 될 것이다.


1. 최고의 지원자 a가 i 번째 지원자로 면접을 볼 확률은 1/n이다.

2. 그때까지 면접을 본 i-1 명의 지원자들 중에서 최고의 점수를 가진 사람이 처음 면접을 본 r-1 명의 지원자 그룹에 있을 확률은 (r-1)/(i-1)


이제 확률 1과 2를 곱해서 i가 r부터 n 일 때까지 더하면, 처음 r-1명을 면접하고 나서 얻은 최고점수를 바탕으로 나머지 사람들을 차례대로 면접하는 과정에서 그 보다 높은 점수를 가진 후보자를 채용했을 때 그 사람이 최고의 지원자일 확률 P(r) 은 다음과 같다.


Screenshot 2025-07-06 at 6.17.38 PM.png


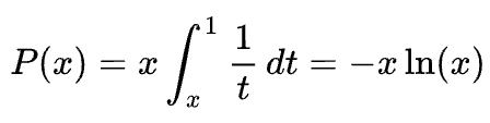
그러면 이 문제는 어떤 r-1 값 (이 값이 정해지면 지원자 중 처음 몇 퍼센트, (r-1)/n*100 퍼센트, 를 면접할 것인지가 정해진다)을 택할 때 이 확률의 최대로 만들 수 있겠는가로 귀결된다. 이산량의 합을 적분으로 치환하는 약간의 수학적 트릭을 쓰기로 하자. x를 (r-1)/n로, t를 (i-1)/n로, dt를 1/n로 바꾸면, 위의 식은 아래의 적분 형태로 쓸 수 있다.

Screenshot 2025-07-06 at 6.18.22 PM.png

그럼 어떤 x 값 (즉 (r-1)/n)에 대해서 위의 식은 최댓값을 가질까? x에 대해서 미분하여 그 값이 0이 되는 x값을 찾으면 된다. 그 값은 바로 1/e이고 그때 위의 확률값도 역시 1/e가 된다. 1/e는 0.36787944117...이다. 37 퍼센트의 규칙에서 '37 퍼센트'는 바로 이 오일러의 수 때문이다.

매거진의 이전글땅을 봐야 돈을 줍지