brunch

항체 치료제의 진화와 특허

리툭시맙의 출현부터 허셉틴, 그리고 엔허투까지

by 특허법인BLT
8d818446f0d50.png


항체 치료제는 암과 자가면역 질환 치료 등에 혁신적인 변화를 가져온 약물로, 리툭산의 출현은 항체 기반 치료법의 시작을 알렸으며, 엔허투(Enhertu)의 성공은 항체-약물 결합체(ADC)의 미래를 밝히고 있다. 요즘 엔허투의 성공에 대해 계속 듣고 있어, 본 칼럼에서는 항체치료제 관련 내용을 다뤄보기로 한다.



1. 항체 치료제의 등장

리툭산(Rituximab)은 1997년에 FDA 승인을 받았으며, 항체 치료제의 시대를 연 선구적 약물이다. 리툭시맙은 B세포 비호지킨 림프종(NHL) 환자를 대상으로 CD20 항원을 표적으로 하여 면역 시스템이 림프종 세포를 공격하도록 유도하는 방식으로 작동한다. NHL 이후 CLL, DLBCL, RA 등에 대해 승인을 받은 항체 치료제이다.


허셉틴(Trastzumab)은 1998년 FDA 승인을 받았으며, HER2 양성 유방암 치료에 새로운 가능성을 제시하였다. 허셉틴은 HER2를 과발현하는 암세포를 표적으로 하여, 암세포의 성장을 억제하고 면역 시스템이 이를 파괴하도록 돕는다. HER2 양성 유방암은 과거에는 예후가 좋지 않은 유형이었지만, 허셉틴의 등장으로 환자의 생존율이 획기적으로 개선되어, 이후 허셉틴은 HER2 양성 위암 치료에도 사용되며 그 영역을 확장했다.


이후 레미케이드(Infliximab), 세계에서 가장 많이 팔린 항체 치료제인 휴미라(Adalimumab) 등의 항체 치료제들이 등장하게된다.



2. 특허 만료와 바이오시밀러의 등장

허셉틴과 리툭산은 모두 특정 암종과 자가면역 질환에서 표적 치료제로 자리 잡았지만, 이들 항체 치료제의 특허가 만료되면서 (또는 특허가 만료되지 않았더라도 무효화되면서) 시장에 바이오시밀러가 등장하기 시작했다. 2020년 전후에 리툭산, 허셉틴 특허들이 만료되고, 각각의 바이오시밀러가 승인되었다. 바이오시밀러는 오리지널 약물과 동일한 효능을 제공하지만, 저렴한 가격으로 치료 접근성을 향상시켰으며, 오리지널 제약사들은 매출이 감소하는 어려움을 겪게된다.



3. 엔허투의 성공: ADC의 시대를 열다

엔허투(Enhertu, 트라스트주맙 데룩스테칸)은 항체-약물 결합체(ADC)로서 HER2 양성 유방암 및 HER2 저발현 유방암을 대상으로 개발되었으며, 2019년 FDA 승인을 받았다. 엔허투는 허셉틴 항체에 세포독성 약물(데룩스테칸)을 결합하여 암세포에 직접 독성 약물을 전달한다. 이를 통해 암세포에 선택적으로 작용하고 정상 세포에 대한 손상을 최소화하며, 기존 치료에 반응하지 않는 환자들에서도 높은 효과를 보였다.


엔허투의 성공은 ADC 기술이 항체 치료제의 새로운 발전 가능성을 제시하는 계기가 되었으며, 엔허투의 뛰어난 임상 결과는 유방암을 넘어 위암 및 비소세포 폐암(NSCLC)과 같은 다양한 암종으로 적응증을 확대하였다.



4. 특허 만료 및 ADC 개발

리툭산(Genentech, Biogen)과 허셉틴(Roche)의 특허 만료 후, 이를 기반으로 한 ADC 개발은 활발하게 이루어졌다. 특허만료는 허셉틴을 기반으로 한 Roche의 캐드사일라(트라스트주맙 엠탄신), 허셉틴을 기반으로 한 Astrazeneca/Daiichi Sankyo의 엔허투(트라스트주맙 데룩스테칸)과 같은 ADC 치료제 개발로 이어져, 다양한 항암 ADC를 연구·개발하는 데 중요한 기회를 제공하였다.


23년 기준 엔허투는 25억 7천만달러의 매출을, 캐드사일라는 22억 2천만달러를 기록하여 ADC 분야 상위 매출 1, 2위를 기록하고 있다.



5. 엔허투 관련 기술, 특허, 분쟁

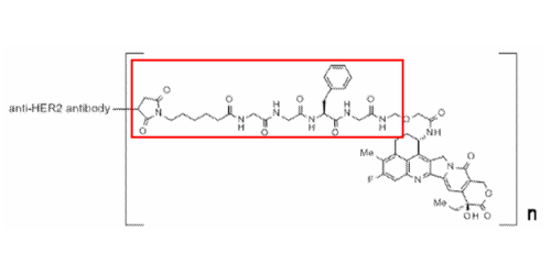
아스트라제네카 등의 특허 문헌을 확인하면, 엔허투의 구조는 아래와 같이 확인된다.


d0ac6cedf4915.png


간략히 검색한 결과, 아스트라제네카는 엔허투의 다양한 응용을 특허출원 진행하고 있는 것으로도 확인된다. 2020년 이후 ATR 억제제의 병용 투여, bispecific checkpoint inhibitor와 병용, PARP1 선택적 억제제, CDK9 억제제와 병용 투여 등 다양한 병용 투여 가능성에 대해 특허 출원을 확보해 나가고 있는 것으로 확인된다.


애브비가 휴미라 관련 방대한 특허 장벽을 구축하여 소송상 합의를 통해 바이오시밀러사의 시장진입을 늦춰 한해 수백만 달러에 이르는 큰 이익을 꾀한 것과 같은 노력이 진행중일 수도 있겠다.


위 그림에서 anti-HER2 항체인 허셉틴은 특허 만료되었지만, 빨간 네모 부분이 링커인데, 이와 관련해 한국의 Seagen이 특허 침해를 주장하였고, 엔허투가 침해라고 판단되어 $41.8 million의 로얄티를 Seagen에게 지급하라고 판단된 바 있었으나, 이후 해당 특허에 대해 PGR이 진행되어 무효판결이 올해 초 있었던 것으로 보여, 그 최종 결과가 어떨지 주목된다.




BLT 칼럼은 BLT 파트너변리사가 작성하며 매주 1회 뉴스레터를 통해 발행됩니다.

뉴스레터 구독신청


필자 소개

박연수 파트너 변리사/변호사는 서울대 생물교육학과를 졸업하고 2009년 변리사 시험, 2012년 변호사 시험에 합격하였습니다. 생명공학, 약학 및 화학 분야 국내 및 해외 기업의 특허 업무 전반에 대하여 전문성을 가지고 업무를 수행해 왔으며, 국내 바이오 기업에서 IP 전략 수립, 국내외 IP 소송 업무를 담당한 바 있습니다. 현재, 화학 바이오 분야 특허출원 업무 및 저작권을 포함한 지식재산권 전반에 걸쳐 다루어지는 법률 자문 및 분쟁에 대한 대응 업무를 담당하고 있습니다.


특허법인 BLT

누군가는 특허를 만들 때, BLT는 당신의 사업의 성공을 만들어 냅니다. The Only Firm for Your Success!!

#항암 #치료제 #리툭산 #FDA #바이오 #바이오시밀러 #리툭시맙 #허셉틴 #엔허투 #ADC #특허 #분쟁 #아스트라제네카 #침해 #특허법인 #변리사

keyword
작가의 이전글언젠가는 시장에 영향을 주는 “좋은 특허”