brunch

5차 방정식의 근의 공식, 인생방정식의 근의 공식

by 조우성 변호사

2, 3, 4차 방정식에 대해서는, 일반적인 근(정답)의 공식이 있습니다

2차 방정식에 대한 근의 공식은 고등학교 때 배운 바가 있죠.


2차방정식.jpg


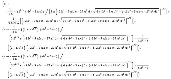
3, 4차 방정식의 경우도 복잡하긴 하지만 일반적인 근의 공식이 있습니다.

<3차 방정식의 근의 공식>

184D104B4F7B28A50C6265


<4차 방정식의 근의 공식>

184CCF474F7B28B2124194



그럼 5차 방정식의 경우도 근의 공식이 있을까요?


5차 방정식의 경우, 일반적인 근의 공식이 없다는 사실’ 자체를 증명하는 데 2,000년의 시간이 걸렸다고 합니다.

(5차방정식에 대한 근의 공식이 없다는 의미는 일반적인 5차방정식의 꼴

ax^5+bx^4+cx^3+dx^2+ex+f = 0 의 경우에 근의 값 x를 a,b,c,d,e,f,에 관한 공식으로 나타내는 방식이 없다는 의미입니다)


수학천재인 아벨(1802~1829)과 갈루아(1811~1832)가 이 점을 증명했습니다.




아벨.jpg
갈루아.jpg





5차 이상의 방정식에서는 일반화된 공식이 없기에 일일이 수치를 넣어서 무식하게 풀거나 근사치를 미, 적분을 통해 가늠하는 방법을 쓴다고 합니다.


숱한 수학자들이 5차방정식의 일반적인 근의 공식을 찾으려고 할 때,

아벨과 갈루아는 ‘5차방정식에는 일반적인 근의 공식 자체가 없다는 점’을 입증했다는 점, 참 역설적이지 않습니까?


우리네 인생도 ‘일반화된, 그리고 누구든 알기만 하면 답을 얻을 수 있는’ 그런 공식은 없다는 점에서 5차 방정식과 비슷하다는 생각을 해봅니다.


나만의 답이 있을 뿐, 일반화된 성공방정식은 없다는 점, 하지만 수학에서의 미적분과 같이 무언가 비슷한 근사치의 접근은 있을 수 있다는 점,


문득 수학의 세계에서 인생의 지혜 하나를 배워봅니다.



1527CF3C4F7B29330602E3


매거진의 이전글나는 진정 자유로운가?