월요일엔 주식을 사지 마라

6,461일의 데이터가 말하는 진실

by 파쎄오

주식판의 가장 오래된 미신

주식을 좀 해본 사람이라면 한 번쯤 들어봤을 것이다. "월요일엔 주가가 떨어진다." 영어로는 Monday Effect. 학술 논문에도 등장하고, 증권 방송에서도 언급되고, 주식 커뮤니티에서는 거의 정설처럼 통한다.

진짜일까?

KOSPI 일별 데이터 6,461거래일 — 2000년 1월부터 2026년 3월까지 — 을 통째로 분석해봤다. Claude Code에 CSV를 던지고, 통계 검정부터 백테스트까지 돌렸다. 결론부터 말하면, 단순한 "맞다/틀리다"가 아니었다.

요일별 수익률: 월요일은 정말 꼴찌

26년간 KOSPI 요일별 평균 수익률을 계산하면 서열이 명확하다.

- 화요일: +0.098% (1등)
- 수요일: +0.070%
- 목요일: +0.044%
- 금요일: +0.013%
- 월요일: -0.052% (꼴찌)

유일하게 마이너스인 요일이 월요일이다. t검정 결과 p=0.018. 통계적으로 유의하다.


여기까지만 보면 "그러니까 월요일에 사지 마"라는 결론이 나올 법하다. 하지만 데이터를 조금만 더 파보면 이야기가 달라진다.

반전: 평상시엔 효과가 없다

데이터를 "정상 시장"과 "위기 시장"으로 나눠봤다. 닷컴버블(2000~2001), 글로벌 금융위기(2008~2009), 코로나(2020), 금리인상기(2022)를 위기 구간으로 분류하고, 나머지를 정상 구간으로 잡았다.

정상 기간 (5,310거래일)
월요일 -0.002% vs 나머지 +0.056% → p=0.183 → 유의하지 않음

위기 기간 (1,151거래일)
월요일 -0.284% vs 나머지 +0.059% → p=0.035 → 유의함

Monday Effect는 "항상 존재하는 현상"이 아니라, 위기 때만 나타나는 현상이었다.



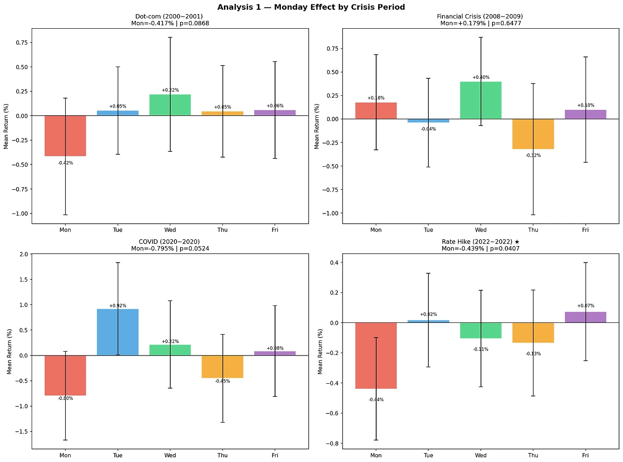
위기별로 뜯어보면 더 흥미롭다

네 번의 위기를 각각 분석했다.

닷컴버블 (2000~2001): 월요일 -0.417%, p=0.087. 경계 수준. 효과가 있긴 하지만 통계적 확신은 부족하다.

글로벌 금융위기 (2008~2009): 월요일 +0.179%, p=0.648. 효과 없음. 오히려 월요일이 플러스다. 모든 요일이 혼란스러웠기 때문이다.

코로나 (2020): 월요일 -0.795%, p=0.052. 가장 강력한 Monday Effect. 주말 동안 전 세계에서 쏟아지는 감염 뉴스가 월요일 개장과 동시에 반영됐다.

금리인상기 (2022): 월요일 -0.439%, p=0.041 ★. 유일하게 통계적으로 유의. 금요일 미국 시장 마감 → 주말 소화 → 월요일 한국 시장 반영이라는 시차 구조가 작동했다.

여기서 패턴이 보인다. Monday Effect의 본질은 "주말 동안 쌓인 부정적 정보가 월요일에 한꺼번에 반영되는 것"이다. 학술적으로는 Weekend Information Effect라고 부른다. 평상시에는 주말에 특별한 뉴스가 없으니 효과가 사라지고, 위기 때는 주말에도 악재가 쏟아지니 월요일에 집중적으로 반영되는 것이다.




그래서 돈이 되긴 하는가?

"월요일에 보유하지 않기" 전략을 백테스트해봤다. 금요일 장 마감에 팔고, 화요일 장 시작에 다시 산다는 단순한 전략이다.

Buy & Hold (그냥 들고 있기): +377%
Avoid Monday (월요일 회피): +987%

26년간 2.6배의 초과수익. 연간 승률 59%. 수치만 보면 놀랍다.

하지만 여기엔 함정이 있다. 이 백테스트에는 거래 비용이 빠져있다. 매주 2번 매매하면 연간 약 100회. 수수료와 슬리피지를 감안하면 초과수익의 상당 부분이 녹는다. 그리고 앞서 확인했듯이, 이 수익의 대부분은 위기 구간 몇 년에서 집중적으로 발생한다. 평상시에는 이 전략으로 오히려 손해를 보는 해도 많다.




월요일의 또 다른 특징: 변동성

수익률 말고 변동성도 봤다. 월요일의 표준편차는 1.597%로 다른 요일보다 눈에 띄게 높고, 왜도(skewness)가 -0.757로 좌편향이다. 쉽게 말하면, 월요일은 평균적으로 약간 빠질 뿐 아니라 "크게 빠지는 날"이 유독 많다는 뜻이다.

이걸 바이올린 플롯으로 보면 확실하다. 월요일의 아래쪽 꼬리가 다른 요일보다 두껍다. 화요일(std=1.306%)과 비교하면 월요일의 변동 폭이 20% 이상 크다.

52주 롤링으로 보는 Monday Effect의 생사

52주 단위로 "월요일 수익률 - 나머지 요일 수익률"의 롤링 평균을 그려보면, Monday Effect가 살아있는 시기와 죽어있는 시기가 명확하게 나뉜다.

효과 강했던 시기: 2000~2003, 2011~2015, 2020~2022
효과 사라진 시기: 2005~2009, 2023~현재

최근(2023~2026)은 효과가 약화 중이다. 시장 참여자들이 이미 이 패턴을 인지하고 대응하고 있을 가능성이 있다. 효율적 시장 가설이 예측하는 그대로 — 알려진 이상현상은 결국 사라진다.



그래서 결론은?

"월요일에 주가가 떨어진다"는 반은 맞고 반은 틀리다.

6,461일의 데이터가 말하는 건 이렇다.

첫째, 전체 기간으로 보면 Monday Effect는 통계적으로 존재한다. 월요일은 유일한 마이너스 요일이다.

둘째, 하지만 이 효과는 위기 기간에 집중된다. 시장이 평온할 때는 요일별 차이가 유의미하지 않다.

셋째, 본질은 "월요일이 나쁜 요일"이 아니라 "주말에 쌓인 불확실성이 월요일에 해소되는 구조"다. 위기 때 주말에 악재가 쏟아지면 월요일이 타격을 받고, 평시에는 아무 일도 없으니 효과가 사라진다.

넷째, 이걸 전략으로 쓰려면 "지금이 위기인지 아닌지"를 먼저 판단해야 한다. 그런데 그걸 정확히 판단할 수 있다면, 월요일을 피하는 것보다 훨씬 좋은 전략이 많다.

이 분석이 진짜 말하고 싶은 것

로또 분석 글에서도 썼지만, 이 프로젝트의 핵심은 분석 결론이 아니라 분석 방법에 있다.

6,461일의 일별 데이터. 바이올린 플롯, 히트맵, 위기별 분리 분석, 52주 롤링, 백테스트까지. 과거에 이 정도 분석을 하려면 금융공학 석사 수준의 Python 코딩과 며칠의 작업이 필요했다.

Claude Code에 CSV를 넣고 "Monday Effect 분석해줘"라고 했다. EDA 4종, 심화 분석 4종, 최종 리포트까지 나오는 데 걸린 시간. 역시 한 자릿수 분.

첫 번째 글에서는 로또 데이터로 "패턴은 없다"는 결론을 냈다. 이번에는 주식 데이터로 "패턴은 있지만, 생각보다 복잡하다"는 결론을 냈다. 두 분석 모두 같은 도구, 같은 방법, 같은 시간 안에 끝났다.

바뀐 건 도구가 아니라 질문이다. 어떤 데이터에 어떤 질문을 던지느냐. 그 답에서 무엇을 읽어내느냐. 그게 이 시대에 가장 중요한 능력이다.

*이 글의 모든 통계 분석과 차트는 Claude Code를 통해 생성되었습니다.*
*본 분석은 투자 조언이 아닙니다. 투자 판단은 본인의 책임입니다.*
작가의 이전글로또 879회분 데이터를 5분 만에 분석해봤다