brunch

스타 밑에서 일한 사람들의 커리어는 어떻게 달라지는가?

by 박진우

스타 곁에 있었다는 것의 의미


조직에서 ‘유명한 리더 밑에서 일했다’는 이력은 단순한 경력 항목이 아니다. 그것은 신뢰이자 평판의 신호다. 영국 UCL 경영대학원 Colin Fisher(2025) 교수 등은 <Buffered by Reflected Glory? The Effects of Star Connections on Career Outcomes>에서 스타 연결(star connection)이 장기 경력에 미치는 영향을 실증적으로 분석했다.


이 연구는 명성의 후광이 어떻게 커리어를 보호하면서 동시에 성장의 한계를 만드는가를 데이터로 보여준 최초의 대규모 연구다.


연구의 핵심은 보호효과(Buffer Effect)와 천장효과(Ceiling Effect)

연구진은 40년간의 NBA 코치 데이터를 분석했다. 스타 코치 밑에서 일한 코치들이 훗날 감독이 되었을 때, 그들의 성과와 경력 결과(승진, 해고 등)가 어떻게 달라지는지를 추적했다.


보호효과(Buffer Effect)
스타 밑에서 일한 인물은 성과가 나쁠 때 해고될 확률이 낮았다. 과거의 명성이 평판의 완충장치(reputational buffer)가 되어 평가자들은 그 사람이 잠재력이 있다는 식으로 실패를 재해석했다.


천장효과(Ceiling Effect)

그러나 성과가 좋을 때는 비스타 출신보다 보상이나 승진폭이 작았다. 이미 기대가 높기 때문에, 뛰어난 성과도 당연한 결과로 간주되었다.


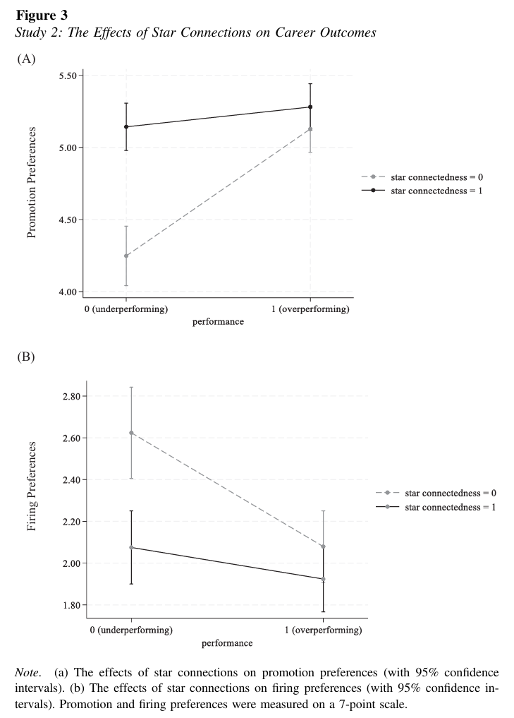
20251104_225351.png

출처: Liu, L., Kilduff, M., Lee, S. Y., & Fisher, C. M. (2025). Buffered by reflected glory? The effects of star connections on career outcomes. Journal of Applied Psychology.


윗 그래프인 승진 선호도의 경우, 비스타(점선) 그룹은 성과가 낮을 때 승진의향이 매우 낮지만, 성과가 높을 때 급격히 상승한다. 반면에, 스타연결(실선) 그룹은 성과가 낮을 때조차 비교적 높은 승진 선호를 유지하고, 성과가 높아져도 그 폭이 크게 늘지 않는다. 즉, 스타연결자는 성과가 낮아도 덜 불이익을 받고, 성과가 높아도 덜 보상받는 경향이 있다. 이는 곧 보호효과 + 천장효과를 동시에 보여주는 패턴이다.


아래 그래프인 해고 선호도의 경우, 비스타(점선) 그룹은 성과가 낮으면 해고의향이 높고, 성과가 높아지면 크게 낮아진다. 스타연결(실선) 그룹은 성과가 낮을 때부터 해고의향이 이미 낮으며, 성과가 좋아져도 큰 차이가 없다. 이는 스타연결자가 낮은 성과를 내더라도 평가자들이 더 관대하게 판단한다는 것을 보여준다.


이 두 효과는 단기 현상이 아니었다. 스타와 함께 일한 경험의 영향은 최대 9년간 지속되었다. 연구진은 이를 persistent reflected glory(지속되는 반사된 영광)이라 불렀다. 즉, 스타의 명성은 보호막이자 족쇄였다.


심리적 메커니즘: 기대와 해석의 비대칭성


이 효과는 단순히 평판 전이의 문제가 아니다. 핵심은 평가자의 기대(expectation)와 해석(frame)이 달라지는 데 있다. 사람들은 불확실한 상황에서 성과보다 맥락에 의존한다. '스타 밑에서 일했다'는 정보는 인지적 지름길(cognitive shortcut)이다. 그래서 스타 출신의 실패는 일시적 예외로, 성공은 예측 가능한 결과로 해석된다.


이는 확증편향(confirmation bias)과 앵커링(anchoring)의 결합이다. 과거의 명성이 평판의 기준선을 만들고, 그 기준선이 현재의 판단을 지속적으로 왜곡시킨다.


이 현상은 스포츠나 기업을 넘어 평판이 중요한 모든 영역에서 나타난다. 가장 비근한 예가 농구계의 허재–허훈 부자다. 허훈은 데뷔 초부터 '허재의 아들'이라는 명성의 후광 속에서 코트를 밟았다. 그 이름은 실수를 덮어주는 보호막이 되었지만, 성공의 순간에는 “역시 피는 못 속이네”라는 말로 개인 공로를 희석시켰다. 보호효과와 천장효과가 동시에 작동한 전형적인 사례다.


허훈이 독립된 플레이 스타일을 구축하기까지는 ‘허재의 아들’이라는 평판을 넘어서는 심리적 전환이 필요했다. 이는 Fisher 교수 등이 말한 평판의 관성(inertia of reputation)을 깨는 과정이었다.


조직심리학적 시사점


성과주의를 표방하는 기업조차 실제 평가는 여전히 '누구 밑에서 일했는가' 라는 맥락에 좌우된다. 보호효과는 경력 초반의 리스크를 줄여준다. 하지만 천장효과는 자율적 성장의 동력을 약화시킨다. 결국, 평판은 일정 시점 이후에는 자원(resource) 이 아니라 속박(restraint) 이 된다.


리더와 조직이 해야 할 일은 스타 밑에서 일한 사람들에게 자기 서사를 쓸 기회를 주는 것이다. 그 경험을 반복이 아니라 재해석으로 바꿀 때, 평판은 다시 성장의 토대가 된다. 반사된 영광은 오래 지속되지만, 영원히 유효하지 않다. 스타와의 연결은 커리어 초반을 지켜주는 방패지만, 그 빛 안에서 스스로의 궤도를 만들지 않으면 성장의 속도가 둔화된다.


keyword
작가의 이전글지나친 칭찬이 신뢰를 깨는 이유