brunch

로또 맞을 준비

by 닭죽


지난번 회차에 난생처음 오만 원에 당첨됐다.


그중 만원으로 다시 복권 두 장을 샀다.


4등 한 번 해봤으니 3등이나 2등 아니면 혹시나 1등? 도 한 번 해볼 만하지 않을까?


순전히 운에 기대야 하는 영역이므로 가능성 있다!


피지컬이나 전문적 지식이 필요하지 않으므로!


내일이 기대된다.


로또 당첨되면 뭘 하지? 상상하며


로또 맞을 준비를 끝냈다.




이렇게 적어뒀었는데 낙첨되었다.


낙첨, 이 단어가 맞나? 써본 적이 별로 없어서 생소하게 느껴진다.


맞는지 찾아보려고 휴대폰을 켰다가 브런치로 알림 온 글들을 몇 개 읽고 당근마켓에 올라온 물품을 몇 개 구경하고 핫딜게시판에 쓸만한 건수 있나 살펴보다가 다시 글 써야지 하고 태블릿으로 돌아왔는데 아, 낙첨을 찾아보려고 휴대폰을 들고는 정작 찾아보지 않고 딴짓만 했다.


낙첨(떨어질 낙, 제비 첨) : 추첨에서 뽑히지 아니함.


음, 맞게 썼네.


아무튼 떨어졌고,




이다음 주에도 또 떨어졌다. 이때는 한 장(오천 원)만 샀다.


집 근처에 새로 열린 업소가 있어서 초심자의 행운을 노려보았으나


뭐 당연하다면 당연하게 5천 원조차 걸리지 않았다.




오늘은 목요일이다. 이번주 로또를 살 것인가 말 것인가.


오만 원 중 만오천 원을 제외한 삼만오천 원을 지켜 맛있는 거라도 사 먹을 것인가.


하늘에서 내려올 구원의 동아줄을 기다리며


임전무퇴의 정신으로 "신에게는 아직 7장의 로또가 남아있사옵니다. 죽을 힘을 내어 반드시 당첨되고 말겠습니다."


하며 몹쓸 놈의 확률과 맞짱을 뜰 것인가.


나는 로또를 왜 사려 하는가?


확률의 논리로 접근해 보면 사지 말아야 한다. 로또 한 장에서 기대할 수 있는 값어치가 구매하는데 들어가는 돈보다 작기 때문이다.

(계산해 보지는 않았지만 당연히 그렇겠지?)


그러니까 자꾸 사고 싶은 생각이 드는 건, 이성의 작용이 아니라 아마도 감성이라고 부르는 부분의 작용이 아닐까?


오천 원의 비용이 가져다주는 기대, 기분 좋음.


더 나은 미래에 대한 희망.


더 나은 미래를 위해, 나아지기 위해 무언가 노력하고 있다는 몸짓?


오천 원이 없어도 삶에 전혀 지장은 없지만 당첨되면 인생이 달라지니까?


하지만 저축하면 1년에 26만 원을 저금할 수 있다.


1년에 26만 원 저축으로는 인생이 달라질 것 같지 않지만 로또 당첨되면(1~2등) 인생이 확 달라질까?


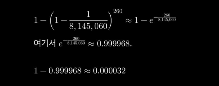
1등 당첨 확률이 814만 분의 1이라고 하는데 확률이 너무 미미해서 감조차 오지 않는다.


나는 30년간 꾸준히 로또 1장씩을 샀을 때 1등 당첨확률을 알고 싶다.


얼마 전까지만 해도 이걸 계산하려면 확률 공부도 다시 해야 하고 계산 과정도 복잡해서 머리에 쥐가 났겠지만 (그리고 높은 확률로 계산을 틀렸겠지!) 이제는 그럴 필요가 없다. 훌륭하신 AI님께 도움을 요청해 보자.


1년간 꾸준히 로또 1장을 샀을 때 기대할 수 있는 1등 당첨확률은 0.0032%이고

30년간 꾸준히 로또 1장을 샀을 때,

기대할 수 있는 1등 당첨확률은... 0.1%, 2등 당첨 확률은 0.5%,

생각보다 높아지긴 하지만 0.1%의 확률을 노리고 780만 원을 지불하시겠습니까?


30년간 로또 사는데 지불할 비용은 780만 원이고

이 돈, 매주 5천 원을 3% 이자로 적금한다면?

30년 후 약 1400만 원이 된다.


매주 5천 원을 요즘 핫한 미국주식 s&p 500에 적립식 투자하면 30년 후에 얼마가 될까?

보수적 예상 (연 7%) : 약 2650만 원

낙관적 예상 (연 10%) : 약 4256만 원


평균적으로 로또 2등 당첨금은 5천만 원~1억 원, 3등 당첨금은 100만 원~150만 원 정도인데


적금만 꾸준히 해도 3등 당첨을 10번 넘어서는 수익이 있고, 미주 투자시에는 2등 당첨금에 근접할 수익이 나온다.


(이 정도 질문을 하고 나니 유료버전의 무료사용한계에 도달하여 챗지피티가 멍청해졌다. )


이렇게 계산하고 보니 푼돈이라 무시하지 말고 30년간 투자해 보는 것도 괜찮을 것 같다.


하지만 이런 계산은 다 무시할 것이다.


로또를 맞으려면,


별을 노래하는 마음으로


로또를 사야지.

keyword
작가의 이전글당근 나눔 이야기