brunch

개발경제 연구방법: 무역 중력모형

Dev. Econ. Method-Gravity Model of trade

by 디에스
본 글의 목적은 개발경제학(Development Economics) 연구자들을 위해 이론 및 연구 방법론 소개 목적으로 글을 작성하게 되었습니다. 개발경제학을 위한 이론 및 연구방법론의 경우 국문자료로 되어있기보다 영문자료로 많이 되어있고 산발적으로 되어있다 보니, 스스로가 직접 정리를 해야 하는 경우가 많습니다. 이에 저도 어려움을 겪었고, 국내 개발경제학 연구자들도 비슷한 어려움을 겪었을 것으로 생각이 들어 이렇게 작성을 시작하게 되었습니다. 이 글이 많은 국내 개발경제학 연구자들에 대한 연구 설계에 도움이 되길 바랍니다.


개발경제 연구설계를 위한 두 번째 이론에 대한 설명입니다. 거시 경제연구를 위해 사용되는 방법론으로 중력모형을 소개해드리고자 합니다. 중력모형은 개발도상국 무역 연구 및 ODA의 효과를 입증하는 방법론 중 하나로 효과적이라고 생각합니다. 많은 선행연구를 통해 ODA는 이미 개발도상국에게 수출할 때 긍정적인 효과를 보인다고 밝혀졌습니다. 해당 방법론은 비단 개발경제학 연구자들 뿐만 아니라 무역연구를 하는 모든 이들이 활용 가능하며, 다양한 연구자들에게 참고가 되길 바랍니다.


1. 중력모형(Gravity Model)


1941년 천체 물리학자 존 Q. 스튜어트(John Q. Stewart)가 사회과학에서 최초로 중력모형을 도입하였습니다. 그는 인구통계학적 분석을 시도함에 있어 뉴턴의 중력모형을 활용가능하다고 판단하였습니다. 도시 간의 상호작용력(Interaction Force)은 i지역의 인구, j지역의 인구를 곱한 것에서 둘 사이 간의 거리를 나눠준 것과 같다고 정의하였습니다.

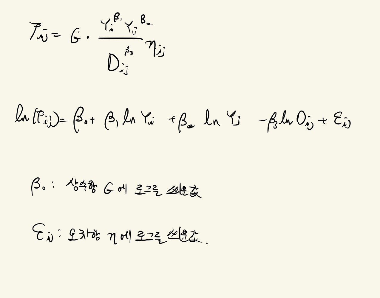
무역 중력모형의 경우 1954년 월터 이 사드(Walter Isard)에 의해 첫 번째로 도입되었으나, 대중화된 것은 1962년 틴버겐(tinbergen)의 연구입니다. 흔히 틴버겐의 연구가 무역 중력모형의 시초로 알려져 있지만, 해당 내용은 오류로 밝혀졌습니다(Capoani, 2023). 해당 식의 내용은 다음과 같습니다. 앞선 국가 간의 무역은 각 국가의 GDP에 비례하며 두 국가 간 거리에 반비례합니다.


중력모형의 경우 기본적으로 앞서 나온 식에 로그를 취해서 실증모형을 구성합니다. 이에 각 국가의 GDP 변수와 거리 변수가 기본적으로 들어가야 합니다. 여기에 추가로 각 상대국에 존재하는 재외국민 변수 혹은 양 국가 간의 FTA 변수 등을 추가하면 조금 더 무역상황을 설명하기 쉽습니다.



3. 패널 중력 모형(Panel Gravity Model)


중력 모형의 경우 다 국가 간의 모형을 설계하게 되면 t시기의 i국가들과 j국가들 간의 무역량을 보기 때문에 패널 모형으로 구성해야 합니다. 패널 모형의 경우 Pooled OLS, 확률효과(Random Effect), 고정효과(Fixed Effect)로 분석이 가능한데 적절한 모형을 선택하기 위해서는 고정효과 여부를 확인할 수 있는 F검정, 확률효과 여부를 확인할 수 있는 LM 검정 Hausman 검정을 실시해야 합니다. 패널 중력 모형의 경우 대부분 추정결과의 독립성확보를 위해 고정효과(Fixed Effect) 모형을 선호합니다.


4. 포아송 유사 최우도 방법(Poisson Pseudo Maximum Likelihood, PPML)


앞선 패널분석을 통한 OLS로 분석을 할 경우 분석오류가 두 가지가 나옵니다.

첫 번째는, 무역을 위한 중력모형 분석을 할 경우 거래실적이 0인 경우가 종종 발생해 이 경우 log를 씌우게 되면 log0이 정의되지 않아 분석을 진행할 수 없습니다.

두 번째로, 해당문제를 해결하기 위해 거래실적을 1달러로 만들어서, 0에 가까운 값을 만들더라도, 일반적인 선형분석방식인 OLS를 통한 해석을 하게 되면, 편향 추정이 되어 추정에 오류가 생깁니다.




이에 해당 방법을 위한 해결책으로 곱셈형태로 추정하는 방법인 포아송 유사 최우도 방법을 Santos Silva and Tenreyro (2006)의 연구에서 제안되었습니다.

포아송 유사 최우도 방법은 우리가 아는 최대우도추정법(Maximum Likelihood Estimation, MLE)과 다르게 포아송 분포를 활용한 유사 최우도 방법(Quasi-maximum Likelihood Estimation, 혹은 Pseudo-Likelihood Estimation)을 적용하는 것입니다. 이에 따라 우리가 아는 MLE와 유사한 식이 나옵니다.


5. 토빗 중력 모형


위에 생겨나는 문제를 해결하기 위한 방법으로 절단 치도 포함할 수 있는 토빗모형을 구성하기도 합니다. 이경우 앞서 말한 거래실적인 0인 경우를 포함하여 모형을 구축할 수 있게 됩니다. 토빗 중력 모형의 경우 패널의 길이가 짧을 경우 고정효과의 일치성이 문제가 있어 오히려 확률효과(Random Effect)가 선호됩니다.


5. 공간 중력 모형(Spatial Gravity Model)


최근의 연구에 들어서는 거리가 증가해도 오히려 무역량이 증가하는 기존의 이론과 적합하지 않은 결과들이 나오는 경우가 있습니다. 이는 인접한 국가들끼리의 무역량이 서로 상관관계를 가지거나 오 차 항과 상관관계를 가지게 되는 공간적 자기 상관(Spatial auto correlation) 문제 때문인데 이를 해결하기 위해 공간종속항을 과 공간오차항을 포함하는 모형인 SAC(Spatial Autoregressive Combined), 다른 이름으로는 일반공간모형(General Saptial model, GSM)을 사용합니다. 해당 모형의 경우 일반적인 중력모형에 공간자 회기계수를 추가하여 분석합니다. 공간자기상관성을 띄고 있는지 확인하기 위해 LM검정을 필요로 하며, 확률효과와 고정효과 중 선택을 하기 위해 공간하우스만 검정을 필요로 합니다.


나가며


현재까지 저의 경우 패널 중력모형을 활용한 분석까지 진행 보았기에 앞선 포아송 추정 모형이나 공간 모형 등은 동향파악에 가깝게 기술하였습니다. 향후 연구를 지속한다면 위의 수행하지 않았던 방법론들을 활용해서 분석을 진행할 예정입니다. 개발경제 연구자들의 무역분야 중력모형 동향 파악에 도움이 되길 바라며 작성하였습니다. 작성된 글의 오류나 질문은 언제나 환영이니 댓글로 작성해 주시면 감사하겠습니다.


참고문헌


강명주. (2015). 공적개발원조가 한국의 수출에 미친 영향 연구: 패널 자료 분석. 통상정보연구, 17(1), 217-240.

김승년, & 이상직. (2016). 한국의 중남미 ODA와 경제협력과의 관련성 분석. 중남미연구, 35(1), 277-305.

박현용, & 최영준. (2016). 공적개발원조(ODA)가 수출에 미치는 영향 분석: 미얀마 사례를 중심으로. 국제지역연구, 20(4), 23-26.

김지성, & 원용걸. (2016). 한국의 공적개발원조(ODA)와 제조업 부분별 수출: 선형근사법을 활용한 중력모형 분석. 한국경제연구, 34(1), 5-39.

변세준, & 최재영. (2019). ODA 가 공여국의 수출에 미치는 영향 분석–한국의 기술협력 ODA를 중심으로. 기술혁신연구, 27(2), 99-122.

원용걸. (2019). 한국 공적개발원조(ODA)의 수출, 생산 및 고용 효과. 무역연구, 15(2), 175-193.

홍기철, & 박광호. (2020). 중력모형을 활용한 한국 ODA의 업종별 수출효과 분석. 국제지역연구, 24(1), 3-21.

홍기철. (2022). 아세안과 인도지역에서 공적개발원조가 해외직접투자에 미치는 영향. 국제지역연구, 26(1), 95-115.

Capoani, L. (2023). Review of the gravity model: origins and critical analysis of its theoretical development. SN Business & Economics, 3(5), 95.

Santos Silva, J.M.C.; Tenreyro, Silvana (2006). The Log of Gravity. The Review of Economics and Statistics. 88 (4): 641–658.

keyword
매거진의 이전글개발경제 연구방법: 지니계수 요인분해법