로켓방정식의 저주(7집), 현실과 이상 차이

나만의 균형을 찾아 차근차근 나아간다는 것

by 도그앤미

이번 곡은 '태양물고기'와 함께 7집에서 가장 좋아하는 노래 '로켓방정식의 저주'다.

'로켓방정식의 저주' 노래는 우주와 관련된 내용은 다소 적지만

우주에 가려면 로켓이 필요하니까 하하

그리고 이 곡을 가장 좋아해서 안 넣을 수 없었다!

로켓방정식의 저주 (출처: 윤하 유튜브)

로켓방정식의 저주란 무엇인가?

치올코프스키의 로켓방정식에 따르면 로켓이 멀리 가려면 많은 연료가 필요하다.

하지만 로켓 연료는 매우 무거우며, 많은 연료는 로켓의 무게를 증가시킨다.

그럼 로켓의 무게를 감당하기 위해 더 많은 연료가 필요하고, 더 많은 연료는 로켓의 무게를 더 증가시키고

다시 또 더더 많은 연료가 필요하고...무한반복이다.

그렇다고 필요한 연료량을 다 때려박아 엄청 큰 로켓을 만든다하면 그건 또 효율이 안 나와서 멀리 못간다.

이것이 로켓방정식의 저주이며 왜 우주진출이 어려운지 수학적으로 설명해준다.

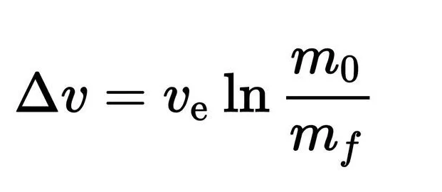
치올코프스키의 로켓방정식

알고 있니?

꿈과 이상의 차인 뭘까

하루에도 열두 번 생각해 난

특별한 사람이고 싶어

<윤하 '로켓방정식의 저주' 노래 중>


이것을 보고 가수 윤하는 현실과 이상의 차이를 떠올렸다.

로켓의 이상은 우주 저 멀리 날아가는 것이지만 현실은 로켓방정식의 저주에 걸려 어려움을 겪듯이


어린 아이들이 그렇듯, 어릴 때는 '특별한 사람이고 싶었다'.

사실 지금도 그렇긴 하지만 하하.

네이버 검색하면 잘 나가는 가수, 배우, 사업가, 작가부터

인터넷, SNS 발달로 매일 보이는 어마어마한 돈을 벌었다는 투자자, 유명한 유튜버, 인플루언서 등등

SNS 발달로 특별한 사람들이 많아보이는 세상에서 나는 한없이 평범해보인다.


내 로켓만은 온전히

사실은 알아 말도 안 되는 일인 걸

차근차근 외에 다른 건

허상이나 다름없잖아

<윤하 '로켓방정식의 저주' 노래 중>


목표가 있고 이루고 싶은 것이 있다면 한 번에 대박을 노리는 것보다

현재 상황에서 내가 할 수 있는 것을 하루하루 차근차근하는 것이 중요하다는 의미를 담고 있는 구절이다.


작년 연말 콘서트에 갔을 때 '로켓방정식의 저주' 부르기 전에 윤하가 소개한 말이 기억난다.

주식으로 대박이 났다(작년에 주식에 한참 관심많을 때라서 귀 쫑긋) 등(나머지는 기억안남) 주변에서 잘 됐다는 말이 들려오고 흔들리지만, 그 때 흔들리지 말고 자기 갈 길을 차근차근 가는 것이 좋지 않을까해서 만든 곡이라고.


얼마 전 (너무나도) 예쁜 수지와 안성재 쉐프가 나온 요리영상에서

수지가 안성재 쉐프가 지니를 만나 소원을 빌 수 있다면 무엇을 빌 수 있을 것이냐고 물어본 것이 떠오른다.

안성재 쉐프는 난 쉐프로서 꿈꿔왔던 많은 것들을 이루었고, 소원을 받고 나니

소중한 것은 그 힘들었던 과정이었다고 말씀해주셨다.(너무 멋진 말 아니냐구...)

안성재 쉐프가 지금의 자리까지 올라갈 수 있었던 것은 요행을 바라지 않고, 차근차근 꿈을 향해 노력하는 매일의 하루가 있었기 때문이 아니었을까?


남이사 (나를 봐) 마음속에도 날

방어해 줄 말을 상시 지참해도

불안함은 밤 낮 가리지 않고

파동처럼 번져 꽃잎처럼 물들어 퍼지지

이겨내는 두 손 안에서

로켓만은 온전해

<윤하 '로켓방정식의 저주' 노래 중>


로켓방정식의 저주처럼 사람에게도 딜레마가 있다.

로켓이 멀리 날아가고 싶어 연료를 다 때려넣으면 무거워져서 효율이 안 나는 거처럼

사람 역시 열정과 노력을 쏟아부을 수록, 그 무게를 견디지 못해 번아웃 되는 상황이 오기도 한다.

잘 하고 있는걸까? 이것이 맞는걸까?

또 사람인지라 주변의 시선으로부터 자유로워지긴 쉽지 않다.


로켓이 주어진 상황에서 최대한 균형을 찾아 우주로 날아가듯이,

우리도 자신만의 균형을 찾아 차근차근 나아가면 꿈을 이룰 수 있을까?

NASA 홈페이지에 있는 이상적인 로켓 방정식! 이해할 수 없다 하하



다들 저마다 발 굴러내고 있는 건

작은 팔을 위로 드는 건

언젠가로 보내는 희망

모두 잠든 무지개 위를 가를 때

<윤하 '로켓방정식의 저주' 노래 중>


다들 고민과 불안 속에서 저마다의 로켓을 가지면서 살아가고 있다.

나만 불안한 것 같은 세상에서 다른 사람들도 늘 불안과 끊임없이 싸우고 있고

자신의 로켓을 지키기 위해 노력한다는 것이 위안으로 다가온다.

노력하는 하루하루가 모여 '고요한 바다에 비치는 무지개'처럼 희망을 만들 것이라고 노래는 위안해준다.


'꿈을 이루기 위해서 노력을 많이 하자!' 라는 뻔한 노래 아니라

목표를 이루기 위해 노력하는 과정에서 우리가 마주치는 불안감과 딜레마를 이야기하며,

그 속에서 나만의 균형을 찾는 깊은 의미가 담겨있어 나의 인생을 돌아보며 성찰하게 되는 곡이다.


하루가 힘들 때, 마음이 불안할 때 '로켓방정식의 저주'를 들으며 그 하루의 나를 위로해본다.

이래서 내 최애곡이 되었나보다.


https://youtu.be/Ox_wfL_JJy0?si=z7qUoqIaOk1p9O4m


이전 08화퀘이사(7집), 미스테리한 존재