brunch

도시가 부를 축적하는 법 (2)

FADE 모델

by 도시관측소

Written by 김세훈



앞의 생각을 바탕으로 "도시란 무엇인가"라는 질문에 답해봅시다.


도시는 사람, 자본, 기술 간의 거리를 ‘0’에 가깝게 줄임으로써 막대한 부를 창출하고 새로운 경험을 가능하게 하는 공간 체계입니다. 도시 인구가 증가하고 네트워크 참여자가 늘어날수록, 총체적 가치의 스케일링 법칙이 작용하며 인프라와 서비스 이용의 효율성이 함께 증대되는 규모의 경제 효과가 발생합니다.



즉, 도시는 집적, 복합화, 네트워크 확장을 통해 사람과 자본 사이의 거리를 줄이고 활동의 부가가치를 증대시킵니다. 이 과정에서 부, 경험, 혁신의 스케일링 효과가 나타나며, 공급된 서비스에 대한 규모의 경제를 실현할 수 있습니다.


이러한 정의를 바탕으로 도시에서 부가 축적되는 메커니즘을 아래와 같이 설명할 수 있습니다. 경제학의 콥-더글라스 생산함수에서 착안한 이 모형을 저는 FADE 모델이라고 부르고자 합니다.



도시의 부 창출 : FADE 모델


아직 개념적인 모델임을 감안하고 봐주시길 바랍니다.


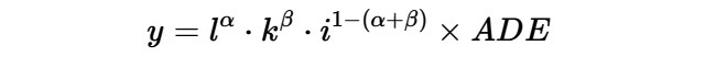
FADE 모델의 좌변(y)은 도시에 새롭게 축적되는 가치나 부의 증대량입니다. 여기에는 시장에서 거래될 수 있는 토지가나 기업들의 시가총액, 혹은 도시의 각종 자산가치도 포함되지만, 계량화하기 어려운 특징, 이를테면 도시의 명성이나 전반적인 삶의 질, 기업과 개인의 성장 잠재력도 있습니다. 보다 학술적으로 말하면, 도시의 부가가치(y)는 크게 경쟁력(competitiveness)과 정주성(livability)의 함수로 표현됩니다.


모델의 우변은 두 부분으로 구성됩니다.



1. 도시의 자산 요소: 노동력 l, 자본 k, 인프라 i는 도시 내 사회적, 경제적 이익을 창출하는 핵심 요소입니다.


노동력: 인재, 창조계급, 혁신가, 근로자, 소비자, 인플루언서 등 한 지역에서 자신의 시간과 재능을 활용해 도시 가치를 높이는 구성원들을 의미합니다.


자본: 금융자본, 사회자본, 문화자본, 공간자본 등 다양한 형태의 자본을 포함합니다(마뉴엘 카스텔과 샤론 주킨이 정의한 바와 같이).


인프라: 도로, 주차장, 공항 등 하드 인프라와 경제, 혁신, 기술개발, 문화활동 및 사회적 기준을 유지하는 데 필요한 소프트 인프라를 모두 포괄합니다.



각 요소는 한 도시가 일정 기간 동안 늘릴 수 있는 최대치가 제한적이라 가정할 때, 노동 증가 비율을 α, 자본 증가 비율을 β, 인프라 증가 비율을 1−(α+β) 로 나타낼 수 있습니다. 따라서 위 식은 다음과 같이 쓸 수 있습니다.




양변에 로그를 취하면,


FADE 모델_식3.jpg


이런 식이 되죠.



풍부한 노동력, 자본, 인프라가 잠재적으로 이익을 가져다줄 수 있지만, 과잉 공급이 반드시 긍정적인 결과만을 초래하는 것은 아닙니다. 예를 들어, 실제 고용 수요보다 노동력이 과잉되면 실업률이 상승하고 실질 임금은 하락할 수 있습니다. 또한, 하드 인프라가 풍부해도 적절한 운영과 관리가 이루어지지 않으면 시민 안전이나 효율성이 저하될 위험이 있습니다. 여러 대도시에서 이미 관찰된 바와 같이, 과잉 인프라 투자로 인한 사회적 비용 증가 사례도 존재합니다.



2. 도시의 누적 역량 : 두 번째 요소는 매력(A), 다양성과 포용성(D), 불확실성 관리와 유연성(E)과 같은 누적 역량입니다. 한 도시를 특징짓는 고유한 성격이자 자산 요소가 기업과 시민이 체감할 수 있는 가치로 전환되는데 필요한 트리거입니다.


도시의 총 자산이 비슷하더라도, A, D, E가 탁월한 도시는 더욱 많은 부가 창출됩니다. 자산과는 달리 이들 역량은 높으면 높을수록 해당 도시의 장기적 성장에 유리합니다.


베텐코트(Bettencourt) 등 연구자들이 밝힌 바와 같이, 크고 개방적인 도시에서 자산과 역량의 결합이 더욱 활발하게 이루어지는 경향이 있으며, 이는 대도시의 스케일링 효과와도 일맥상통합니다. 다만, 대도시라고 모든 면에서 다 좋은 것은 결코 아닙니다. 크고 복잡한 시스템도 리스크를 내재합니다.



FADE 모델에 따르면, 부를 축적하지 못하고 비틀대는 도시는 단지 해당 도시에 기업이 부족하거나 근로자의 생산성이 떨어지는 게 문제가 아닙니다. 한 도시를 풍요롭게 만드는 사람, 자본, 인프라의 상호작용이 줄어들어 결국 도시의 매력, 다양성, 유연성 같은 역량도 동반 하락하는 게 문제입니다.


인구소멸 지역에서 잘못된 활성화 정책이 성공하기 어려운 이유도 FADE 모델로 설명할 수 있습니다. 한두 곳의 대기업을 유치하거나 유능한 인재에게 보조금을 지급해 일시적으로 정착시켜도 결국 자산 요소 간 상호작용이 활발하게 일어나고 누적 역량을 통해 체감되지 못하면 결국 새로운 가치를 만들어내지 못합니다. 이익을 내지 못하면 기업은 결국 주저앉고, 지역에서 미래를 보지 못한 인재들이 빠져나가는 브레인 드레인으로 이어지죠.


기업이든 정부든 인구감소의 위기 속에서 의사결정의 우선순위 확인을 위해 위 FADE 모델을 유용한 틀로 활용하면 좋겠습니다. 우리 도시가 가진 핵심 자산이나 누적 역량을 진단하고, 어떤 부문에 정책 투자나 입지의 우선순위를 결정할지 더욱 명확해질 것입니다.

keyword
매거진의 이전글도시가 부를 축적하는 법 (1)