brunch

살 빠지는 주사, 삭센다
나도 맞아도 될까?

안전하게 삭센다를 맞고 싶은 당신을 위한 친절한 가이드라인

by 현무열

안녕하세요. 화분남 현무열입니다.

images.png


오늘 주제는 비만치료제, 삭센다입니다.

saxenda.jpg
images.jpg


비만치료제로 2014년 FDA 승인 이후, 국내에서도 2017년 승인되어 많은 관심 속에 판매 중입니다.

효과가 뛰어나고, 기존 비만치료제에 비해 안전하기에 무분별한 처방과 부작용에 대한 우려의 목소리도 커지고 있습니다.


이와 관련하여 많은 분들이 궁금해하실 내용을 간략하게 정리해 보았습니다.

절대 광고글 아니고, 삭센다도 직접 구매해서 맞고 있으며, 올바른 의학정보를 전달하기 위해 썼습니다.

(이 글을 작성하기 위해 2주간의 자료 정리와 50개의 논문 리뷰, 3번의 퇴고를 거쳤습니다.)


읽기 전에 금기에 해당하시는 분들 먼저 알려드릴게요.

임산부, 수유부, 임신예정자

18세 미만 또는 75세 이상인 분

갑상선 암을 앓았거나 가족력 있는 분, MEN2 환자분

중증의 간장애, 신장장애 환자분들

다른 비만치료제 사용 중인 분들이나 다른 약 때문에 살이 찌신 분들


목차

1. 나도 맞아도 될까요?

2. 삭센다의 효과

3. 맞으면 어떤 느낌인가요?

4. 저는 몇 킬로나 빠질까요?

5. 어떻게 맞아야 돼요? 중간에 끊었다가 맞아도 될까요?

6. 부작용이 생기면 어떡하죠?

7. 주사는 얼마 정도 하나요?



1. 나도 맞아도 될까?

삭센다의 적응증은 BMI가 30 이상 또는 27 이상이면서 체중 관련 질환(이상지질혈증, 당뇨 또는 당뇨 전 단계, 고혈압) 이 있는 군입니다.


적응증에 해당하지 않는 분들은 의학적으로는 병적인 상태가 아니기 때문에 굳이 주사를 맞을 필요는 없죠.

적응증에 해당하는 분들은 부작용보다 체중감량이 더 이득이라 삭센다를 권장할 수 있지만, 그렇지 않은 분들은 부작용의 위험을 감수하면서까지 삭센다를 통한 체중감량을 의학적으로는 권장드리기는 어렵습니다.


물론 식욕억제제나 지방흡수 억제제에 비해 효과가 우수하고, 비교적 부작용이 적으며

인원상 5813명 이상, 기간상 2년 가까이 시행한 임상 데이터도 있고,

비만치료제 이전에 당뇨치료제로 2010년 승인받아 지금까지 지속적으로 사용해 온 약이며,

국내 시판 후 큰 부작용 없이 많은 분들이 맞고 있어, 안전성은 충분히 확보가 된 상태입니다.


결론적으로,

삭센다는 적응증에 해당하지 않는 분도 비교적 안전하게 맞을 수 있는 약이지만

주사의 단점과 부작용을 정확하게 알고 의사와 상담 후 본인의 선택으로 맞으셔야 하며

안전하게 맞을 수 있는 용법을 이해하셔야 합니다.



2. 삭센다의 효과

삭센다는 식사 후 위장에서 분비되는 glucagon like peptide-1 (GLP-1)의 유사체입니다.

GLP1 효과.png

이 GLP-1 은 그림처럼 여러 기관에 작용하는데,

췌장에서는 인슐린 분비를 증가시키고,

에서는 식욕을 억제하고 포만감을 느끼게 하며,

위장에서는 운동을 억제하여 소화를 지연시키고 위에 음식물이 오래 있게 합니다.


특히 식욕억제와 위장운동 억제를 통한 음식물 섭취 감소 효과 때문에 다이어트에 효과가 있습니다.


하지만 GLP-1은 분비 후 작용시간이 매우 짧아(반감기 2분),

이를 더 길게 유지하기 위해 만들어진 것이 삭센다(반감기 12시간)입니다.


이제 임상 데이터를 보실게요.




왼쪽 그래프를 보시면,

주사를 맞은 군이 위약을 맞은 군에 비해

포만감은 오래 유지되고

배고픔은 덜 느끼며,

음식 섭취량 예상량도 줄어드는 것을 볼 수 있습니다.






삭센다의 식습관 교정 효과입니다.

식습관에 이상을 보이던 빨간 선의 사람들이 주사를 맞을수록 점차 비만하지 않은 사람들의 식습관에 가깝게 조절되는 것을 볼 수 있습니다.


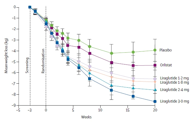
20주간 체중 감소 효과를 비교한 연구 결과인데,

삭센다를 주사한 군이 위약 군이나

제니칼(orlistat, 지방흡수 억제제) 군에 비해

더 많은 체중감량이 나타난 것을 볼 수 있습니다.








삭센다 용량별 투약군과 위약군, orlistat군의 지방 감소를 비교한 표입니다.

모든 군이 식이조절(WHO 권장섭취 열량 - 500kcal)과 운동을 하기에 위약군에서도 피하지방과 내장지방이 감소하였습니다.





삭센다 군에서는 위약군에 비해서 더 뚜렷하게 피하지방과 내장지방이 감소한 것을 볼 수 있습니다.

지방 외의 조직을 칭하는 lean tissue 감소는 거의 없어 지방 위주의 감소를 보여주기 위한 표이죠.


(물론 아쉽게도 orlistat군에서도 삭센다 3.0mg과 비슷한 정도의 효과가 나타났지만 굳이 표에 언급은 하지 않았고, 체중감량 효과는 orlistat이 삭센다에 비해 한참 떨어지는데 지방감소 효과는 비슷하다는 것도 특이합니다.)


결론적으로, 삭센다는 다음과 같은 효과가 있습니다.

식욕억제로 인한 식습관 교정

체중 감소

체지방 감소(피하지방과 내장지방)



3. 맞으면 어떤 느낌인가요.

제가 삭센다를 맞아 보고 느낀 주관적인 느낌은,


배가 고프다는 느낌이 강하게 들지 않습니다. 먹고 싶은 게 사라져요.

그냥 배가 좀 고픈가? 뭐 좀 먹을까? 근데 뭐 먹지. 먹고 싶은 게 없는데.


음식을 먹어도 별로 맛있지가 않습니다.

미각이 예민해져서 보다 맛을 명확하게 느끼지만 맛있다는 느낌은 안 듭니다.

연어덮밥을 먹어도, 음 연어네. 치킨을 먹어도 음, 치킨이네. 아이스크림을 먹어도 음, 아이스크림이네.

아 더 먹고 싶다. 또 먹고 싶다. 와구와구 이렇게 안 먹어집니다.

때문에 음식 먹는 속도도 엄청 느려지죠.


음식도 천천히 먹는데, 먹다 보면 금방 배가 부릅니다.

아 좀 더부룩한 것 같은데, 그만 먹을까. 하고 보면 시킨 음식이 반은 남아있습니다.

그리고 반 밖에 못 먹은 음식도 소화가 잘 안돼서 엄청 더부룩 한 느낌이 다음 식사 시간 정도까지 유지됩니다.


이런 식으로 하루가 반복되기 때문에 저절로 식습관이 개선되고, 칼로리 섭취량이 줄게 됩니다.

무엇보다 가장 큰 삭센다의 장점은 먹고 싶은 걸 억지로 참아야 되는 게 아니라, 저절로 안 먹게 되는 것.

이로 인해 반발적으로 나타나는 폭식그로 인한 자책감을 느낄 필요가 없다는 것이죠.



4. 저는 몇 킬로쯤 빠질까요?

효과는용량에비례.PNG

가장 임상 기간이 긴 2년짜리 연구결과를 보시면,

삭센다 군은 1년간은 다른 용량을 맞다가 1년 이후부터 모든 군이 동일하게 18주간 2.4 mg, 이후 24주간 3.0mg으로 증량하였고, 위약군은 1년 뒤부터는 삭센다 군과 동일하게 주사를 맞았고, orlistat은 2년간 지속적으로 유지한 임상입니다.


삭센다 용량이 높을수록 체중감소는 더 뚜렷하게 생겼지만 20주쯤부터는 체중 감소량이 둔화되다가 32주쯤부터는 거의 일정하게 유지되는 것을 볼 수 있습니다.


1.2mg은 orlistat과 비슷한 정도의 8kg 정도의 체중감량을 보였고, 1.8mg과 2.4mg은 비슷하게 10kg, 3.0의 경우 최대 12kg 정도의 감량 효과를 보였습니다.


체중감량 %.PNG

1년간 시행한 위약과 삭센다 3.0mg 군간의 비교인데요.

삭센다 군은 평균 9% 정도의 체중 감소 효과를 보였고, 위약군은 3% 정도에 그쳤습니다.


이를 통해 추정해보면 투약을 32주, 즉 8개월 정도 약을 투약하면,

1.2 mg의 경우 6% 정도

1.8, 2.4mg의 경우 7.5% 정도

3.0mg의 경우 9% 정도 체중이 감량될 것으로 추정됩니다.

FDA나 유럽의 허가 보고서 상으로는 3.0mg의 평균치는 7.5% 정도이며, 약물에 반응이 매우 떨어지는 군을 제외하면 평균 10% 정도의 체중감량을 보인 것으로 확인되었습니다.


다만, 이는 평균적인 수치이고 약물 민감도에 영향을 많이 받고,
본인의 노력 및 식습관에 따라 달라질 수 있습니다.


저 같은 경우에는 복부와 대퇴부를 포함한 체지방이 감소하였지만, 운동으로 근육량이 늘어나 체중에는 큰 변화는 없었습니다.

그래도 식욕조절 효과와 지방감소 효과가 무척 좋아서 만족하고 있습니다.




5. 어떻게 맞아야 돼요? 중간에 끊었다가 맞아도 될까요?

5번 항목은 줄글이라 음슴체로 씀.


0) 공통적인 주사 방법

삭센다는 하루에 한 번 원하는 시간에 맞으시면 됨 (반감기가 12-15 시간).

시간을 정해두고 규칙적으로 맞는 게 best.

다만, 평상시 맞는 시간 12시간 이내에는 반드시 주사해야 하며, 12시간이 넘어가버리면 그냥 그날은 pass.

다음날 다시 평상시 맞는 시간에 맞으시면 됨.

주사침은 별도이며, 길이 8mm 이하, 굵기 32G 이상인 노보 파인 주삿바늘을 인터넷 구매하면 됨.

주삿바늘 끼우고 주사액이 막힘없이 나오는지 확인한 뒤에, 용량 조절하여 주사.

주사부위는 복부 피하지방이 Best. 허벅지나 팔도 괜찮.



1) 적응증인 환자분의 경우

처음 일주일 간은 0.6 mg으로 시작하여, 매주 0.6 mg 씩 증량하여 3.0 mg 이 될 때까지 증량함.

1주 0.6, 2주 1.2, 3주 1.8, 4주 2.4, 5주 3.0


낮은 용량에서 시작하여 서서히 증량하는 이유

처음부터 고용량으로 시작하면 위장운동 억제가 너무 강력, 구역 구토 같은 부작용이 심함.

낮은 용량으로만 맞으면 내약성(약제에 대한 내성) 때문에 효과가 떨어짐.

(내약성 때문에 대략적으로 주사 후 2주 정도가 지나면 위의 음식물 저류 효과가 떨어지고, 부작용인 구역 구토도 3개월 정도까지 지속적으로 줄어듦)


3.0mg 에 도달 후부터는 1년간 용량을 유지함.

1년이 지나면 지속할지 말지 의사와 상담.


주의할 점) 3.0mg 도달 3개월 후 (총 4개월) 체중감소가 5% 이상 발생하지 않으면 중단해야 함

ER.JPG
ENR.JPG

이유 - 1년간 투약한 군에서 5% 미만의 체중 감소가 일어난 군과 5% 이상 체중감소가 일어난 군을 비교, 치료 효과 예측인자를 조사하였음.

주사 후 4개월 뒤 체중감소가 5% 미만이었던 군은 지속적으로 5% 미만의 체중감소가 유지되었고,

5% 이상 감소했던 군은 치료 효과가 유지되어 5% 이상의 체중감소가 나타남.

즉, 4개월간 체중감소가 5% 이상인 군은 early responder(ER), 체중감소가 5% 미만인 군은 early non responder(ENR)로 구분되며, ENR은 치료에 반응이 떨어지기 때문에 약물을 유지할 필요가 없음.

그래서 ENR로 구분되면 약물을 중단해야 함.


2) 비 적응증인 경우 (BMI <27)

의사와의 상담 후 부작용에 대해 반드시 숙지하시고 본인의 선택으로 맞아야 함.

주사 방법은 동일하나, 최대한 낮은 용량으로 유지하는 방법을 추천드림.

시작은 동일하게 0.6mg으로 하고, 1주일이 지난 시점부터는 0.6으로 유지해도 체중감량의 가장 중추적인 역할인 식욕억제가 잘 된다면 0.6으로 유지하셔도 됨.

0.6으로 유지하다가 본인이 느끼기에 식욕억제 효과가 줄어들거나, 소화가 잘 안되던 게 잘 되던가, 속이 편안하다면 그때 그다음 용량으로 증량하면 됨. 또는 지속적으로 감량되던 체중이 정체되었다면 증량.


왜 낮은 용량으로 유지하는 게 좋은가.

이유는 효과도 용량에 비례 하지만, 부작용 역시 용량에 비례해서 더 많이 나타나기 때문임.

또한 약물을 안정화시키고, 보존시켜주기 위해 페놀을 쓰기 때문에 많이 맞는 걸 권장하기는 어려움.

관련 내용은 부작용 부분에 추가 설명함.


원하는 만큼 체중이 감량되었다면 중단해도 되지만, 최대 효과가 나타나는 20주경까지는 유지해도 무방.

1년 이상 유지하기 위해서는 의사와의 상담이 필요함.


약물을 중단하면 어떻게 될까요?

약물 투약 관련 식사량 변화 그래프입니다.

투약 후 식사량이 감소했으나, 중단 후 이전 상태로 식사량이 증가한 것을 볼 수 있습니다.



약물 투약 중단 이후 3개월간의 체중변화를 볼 수 있는 그래프인데요.

약물 투약 20주경 최대 효과가 나타나 유지되다가,

투약 중단 후 다시 체중이 증가하는 것을 볼 수 있죠.


데이터 상으로는 약물을 중단하면 식사량도 다시 늘어나고, 체중도 다시 늘어나는 것을 볼 수 있습니다.

물론 요요가 오듯이 급격하게 늘어나지는 않고, 빠졌던 것처럼 서서히 늘어나죠.



투약을 중단하면 다시 살이 찌겠지만,
너무 욕심부리지 말고 필요한 만큼만 맞으세요.



6. 부작용이 생기면 어떡하죠?


발생 확률 : 매우 흔하게 > 10%, 흔하게 > 1%, 때때로 > 0.1%, 드물게 > 0.01%

부작용.png


위와 같이 여러 가지 부작용들이 있지만 특히 주의해야 되는 부작용 위주로 설명드릴게요.


1) 위장관계 부작용

가장 흔한 부작용은 위장관계 부작용으로 구역/구토가 생길 수 있고, 설사와 변비가 나타날 수 있습니다.

구역/구토 감은 용량이 높을수록 심하게 나타나며,

시간이 지남에 따라 완화되기는 하지만,

경우에 따라서는 3.0mg으로 맞는 경우 1년 가까이 유지되는 사람도 있었습니다.


약물 반응에 따른 개인차이가 심한 증상이며,

구역/구토는 평균적으로 3개월 정도까지 점차 완화되는 양상이라, 구역/구토가 주사 후 나타났다고 해서 약을 중단해야 되는 사항은 아닙니다.



오히려 구역/구토가 동반된 군이 나타나지 않은 군에 비해 효과는 더 좋았다는 연구결과도 있는데, 이는 구역/구토로 식사량이 더 줄어서 일 수도 있겠고, 약물에 대한 반응성이 더 좋아서 부작용도 더 심하게 나타난 것일 수도 있겠습니다.


2) 급성 췌장염

췌장염은 GLP-1 유사체와 DPP-4 억제제 같은 당뇨약에서 드물게 나타날 수 있는 부작용입니다.

실제로 liraglutide나 다른 GLP-1 유사체가 췌장염을 일으키지 않는다는 동물실험도 있고, 2013년 연구에 따르면 6010명 중 4명에서 발생하였고, 췌장염의 원인이 비만과 연관된 담석일 수 있어서 약물 자체가 원인이라고 단정 지을 수 없다는 연구들도 있습니다.

하지만 췌장염 발생 환자에서 GLP-1 유사체 중단 후 췌장염이 재발하지 않았다는 증례들과, 위약군에 비해 많이 나타난 건 사실이라 연관성이 없다고 말할 수는 없습니다.

또 1.2mg으로 주사하던 환자에서도 나타난 증례도 있어, 저용량을 사용하시는 분들도 주의하셔야 하는 사항입니다.


증상은 상복부의 극심한 통증과 새우 자세로 몸을 숙였을 때 통증이 완화되는 것이 특징이며, 병원 내원 시 췌장 효소들의 증가로 진단할 수 있습니다. 입원하여 약물 중단 후 구조적 원인이 없으면 보존적 치료하여 췌장의 염증이 완화되면 퇴원하게 됩니다.

췌장염 발생 시에는 삭센다를 바로 중단하시고, 다시 사용하시면 안 됩니다.


3) 담석과 담낭염

담석 및 담낭염도 위약군에 비해 삭센다 군에서 유의하게 많이 나타났는데, 이는 삭센다 주사 자체가 원인이라기보다는 급격한 체중감소로 인해 나타난 것으로 보고 있습니다.

총 52명을 대상으로 삭센다 3.0mg과 위약을 투약하면서 담즙분비능을 비교한 결과 큰 영향은 없는 것으로 나타났지만, 급격한 식사량 저하는 담즙 분비를 저하시켜 담석을 형성하거나 담낭염을 유발할 수 있습니다.

일반적으로 1주일에 1.5 kg 이상의 체중감소는 담석의 위험성을 높인다고 알려져 있습니다.

무증상의 담석증은 문제가 되지 않으나, 담석으로 인해 담낭염이나, 담관염, 췌장염 등이 유발될 수 있기 때문에 유의하셔야 합니다.


4) 급성신부전

급성신부전 역시 약물 자체의 문제라기보다는, 심한 구역/구토와 동반된 탈수 증상이 원인이 되어 나타납니다.

따라서 구역/구토가 심하신 분들은 수분 보충을 반드시 하셔야 하고, 탈수가 심한 경우 수액을 맞는 게 좋습니다.


5) 갑상선암

갑상선암의 경우 쥐를 사용한 동물실험에서는 유의하게 발생하였으나, 원숭이나, 개, 인간에서는 나타나지 않았습니다. 다만 위험성을 완전히 배재하기 어려워, 갑상선 수질암을 앓았거나 가족력이 있는 경우, multiple endocrine neoplasia syndrome type 2 (MEN2) 환자의 경우 삭센다를 사용해선 안됩니다.


6) 페놀 함유

페놀은 약제의 안정화와 보존을 위해 반드시 필요한 성분입니다. 1ml 삭센다에는 6mg의 liraglutide와 5.5mg의 페놀이 들어있는데, 이 비율이 가장 안정화에 최적화된 농도입니다.

따라서 주사를 맞으려면 페놀을 몸에 직접 주입하는 것을 감수해야 합니다.

5.5mg/ml는 0.55% 의 농도인데 보통 페놀 보존제의 당뇨약 권장량은 0.2~0.5%로 그다지 높은 수치는 아닙니다.

과연 0.55% 라는 페놀의 농도는 인체에 얼마나 유해하며 어떤 영향을 미치는지 열심히 찾아봤는데,

공기 중으로 흡입하거나 위장을 통해, 또는 피부를 통해 흡수되는 페놀에 대한 독성은 연구가 잘 되어있지만

피하지방에 직접 주사하는 페놀에 분포나 대사과정, 독성 등은 찾을 수가 없었습니다.

따라서 페놀을 주사하는 것이 싫으신 분들은 삭센다를 사용하셔서는 안되고, 삭센다의 효과를 위해 페놀 주입을 감수하시는 분들도 최대한 저용량으로 맞으시고 빠르게 중단하는 것을 권장드립니다.



7. 주사는 얼마 정도 하나요?

삭센다5.jpg

삭센다는 한 박스에 5개의 주사제가 들어있고, 한 펜당 6mg/ml 용량으로 3ml 가 들어있습니다.

한 박스에는 총 90mg 이 들어있는 거죠.

삭센다는 보험적용이 안되기 때문에 약값을 구매자가 모두 본인부담해야 합니다.

초창기 가격은 개당 18만 원 정도였는데, 지금은 많이 싸져서 10-12만 원 선으로 알고 있습니다.

펜 한 개당 0.6 mg으로 맞으면 30일, 1.2 mg은 15일, 1.8 mg은 10일, 2.4mg은 7.5일, 3.0mg은 6일 정도 맞을 수 있습니다.

스케줄대로 맞는다면, 한 박스 50-60만 원으로 총 39일을 맞을 수 있습니다.

적응증 대상자가 아니라면, 한 달 유지비가 0.6이 10만 원, 1.2는 20만 원, 1.8은 30만 원 정도 든다고 생각하시면 됩니다.


이상 삭센다에 대해 자세하게 알아봤습니다.

각 질문별 요약을 하자면,

1. 나도 맞아도 될까요?

BMI 낮은 분도 맞아도 되지만, 부작용과 주의사항을 고려하여 본인이 선택하는 것.

2. 삭센다의 효과

식욕억제, 위장관 기능 저하로 음식 섭취량 감소, 식습관 개선. 내장지방 & 피하지방 감소

3. 맞으면 어떤 느낌인가요?

음식 먹어도 노행복, 속은 더부룩, 소화 안됨. 본인도 모르게 수저를 놓는 자신을 발견함.

4. 저는 몇 킬로나 빠질까요?

사람마다 다르지만 일반적으로 6-10% 생각하면 됨. 체중보다 지방감소가 되어 숨어있던 뼈가 발견됨.

5. 어떻게 맞아야 돼요? 중간에 끊었다가 맞아도 될까요?

이건 요약 불가. 맞으려면 본문을 꼭 읽으시길.

6. 부작용이 생기면 어떡하죠?

구역/구토, 변비, 설사 흔함. 드문부 작용으로 췌장염, 담석, 담낭염, 급성신부전, 갑상선암 등이 있음

부작용은 드물지만 발생할 수도 있으므로 의사와의 진료가 반드시 필요.

7. 주사는 얼마 정도 하나요?

펜 개당 10-12만 원 정도. 더 떨어질 수도 있음.



재밌게 보시고 유익하셨다면,

많은 공유 부탁드려요.




keyword
매거진의 이전글다이어트 보조제 가르시니아