국제무역

경제학원론 9장

by 닥터로

들어가기전에


한국은 대표적인 개방경제로서, 대외 여건 변화가 국내 산업·고용·물가에 빠르게 파급되는 구조를 갖고 있다. 최근에는 단순한 가격 경쟁을 넘어, 관세·무역구제 조치, 탄소·환경 기준, 공급망·안보 논리, 디지털·표준 규범 등 다양한 형태의 무역장벽이 동시에 강화되면서 “수출 확대”만으로 무역환경을 설명하기 어려워졌다. 이에 따라 정부의 통상정책은 (1) 대외 규제·관세 충격을 완화하는 단기 대응과 (2) 기업의 경쟁력·전환역량을 높이는 중장기 대응을 함께 설계해야 하는 과제를 안고 있다.


이런 환경에서 정책 논쟁은 대체로 두 가지 질문으로 수렴한다. 첫째, 특정 산업을 보호하기 위한 관세·규제 강화가 국내에 어떤 이득을 주는가(또는 외부 충격을 얼마나 줄여주는가). 둘째, 그 보호가 만들어내는 비용은 누구에게, 어떤 형태로 전가되는가(소비자 부담, 경쟁 약화, 비효율 유지 등). 특히 무역정책은 “국내 경제 전체의 파이”를 키우는 방향으로 작동할 때에도, 산업·지역·계층별로 승자와 패자를 동시에 만들 수 있어 분배 갈등이 필연적으로 뒤따른다. 따라서 정책 평가는 효율성(사회 전체의 순이익)과 분배(누가 이득/손해를 보는가)를 동시에 다루어야 한다.


본 글은 이러한 현실의 쟁점을 다음과 같은 시사점으로 정리하고, 이를 체계적으로 평가할 수 있는 경제학적 기준을 제시한다.

대외 충격에 대한 대응은 “무역을 막는 방식”만이 아니라, 산업·인력의 이동을 돕는 전환 지원을 통해 비용을 줄이는 방향이 함께 검토되어야 한다.

비관세장벽은 겉으로는 규제처럼 보이더라도 실제 효과는 수입 제한과 유사할 수 있으며, 제도 설계에 따라 특정 주체에게 초과이윤(렌트)이 귀속될 수 있어 투명성과 설계가 중요하다.

탄소·환경 기준 강화는 사실상 새로운 무역비용으로 작동할 수 있으므로, 단기 대응(보고·검증, 규정 준수)과 장기 대응(저탄소 전환을 통한 경쟁력) 전략을 분리해 설계할 필요가 있다.

규범과 협정(양자·다자)을 활용한 예측가능성 제고는 무역갈등의 비용을 줄이는 현실적 해법이며, 협상과 국내정책을 연계한 전략이 필요하다.

해외의 관세·규제 강화가 국내 특정 산업에 집중 충격을 줄 경우, 그 충격을 “분배 문제”로 인식하고 보완정책(지원·재배치·안전망)을 함께 설계해야 사회적 비용을 줄일 수 있다.


여기서는 위 시사점들이 어떤 논리로 도출되는지 보여주기 위해, 국제무역을 분석하는 기본 도구(세계가격과 국내가격의 관계, 소비자·생산자 잉여와 총잉여, 관세·쿼터·비관세장벽이 만드는 후생 변화, 무역협정의 역할)를 간단히 정리한 뒤, 그 틀을 한국의 무역정책 과제에 적용해 정책적 함의를 도출한다.



이 장의 요약

국제무역은 ‘국가 간 거래’이지만, 분석의 출발점은 매우 단순하다. 한 나라의 시장을 수요와 공급으로 그려놓고, 세계시장에서 형성된 가격(세계가격 P_W)이 국내시장에 들어왔을 때 국내 가격·거래량·후생이 어떻게 달라지는지를 보면 된다.

이 장의 핵심 메시지는 두 가지다. 첫째, 자유무역은 총잉여(total surplus)를 증가시키므로 사회 전체의 관점에서 ‘파이를 키우는’ 경향이 있다. 둘째, 그 파이가 커지는 과정에서 이득을 보는 집단과 손해를 보는 집단이 동시에 발생한다. 따라서 국제무역 논쟁은 ‘총이익’뿐 아니라 ‘분배(누가 이득을 얻는가)’의 문제를 함께 다룬다. 분석 도구는 앞 장(제7장)의 후생경제학 도구를 그대로 가져온다. 즉, 소비자잉여(CS), 생산자잉여(PS) 로 시장참여자의 편익을 측정하고, 필요하면 정부정책(관세 등)이 만들어내는 정부수입(TR) 까지 포함해 총잉여(TS) 를 계산한다.



국제무역을 보는 핵심: 세계가격과 작은 나라 가정

국제무역을 분석할 때 가장 많이 쓰는 기본 설정은 ‘작은 나라(small open economy)’ 가정이다. 한 나라의 경제 규모가 세계시장에 비해 충분히 작아서, 그 나라가 사고파는 양이 세계가격에 거의 영향을 주지 못한다고 보는 것이다.

이때 핵심 결과는 다음 한 줄로 요약한다.

만약 국내가격이 세계가격보다 높다면, 해외에서 더 싸게 사 와서(수입) 국내에 팔 수 있으므로 국내가격은 내려간다. 반대로 국내가격이 세계가격보다 낮다면, 국내에서 싸게 사서 해외에 팔 수 있으므로(수출) 국내가격은 올라간다. 결국 arbitrage(차익거래)가 작동해 국내가격이 세계가격에 ‘붙는다’.

따라서 국제무역 분석은 세계가격 P_W 가 국내 자급자족 균형가격 P_D보다 높은가/낮은가를 비교하는 문제로 환원된다.


수출과 수입의 기본 정의

수출(exports): 국내에서 생산되어 해외로 판매되는 재화/서비스

수입(imports): 해외에서 생산되어 국내로 들어와 판매되는 재화/서비스

국제무역이 생기면 한 나라의 ‘국내 생산량’과 ‘국내 소비량’이 더 이상 같을 필요가 없습니다. 생산과 소비의 차이가 바로 순수출/순수입입니다.

이제 세계가격이 국내균형보다 높은 경우(수출국)와 낮은 경우(수입국)를 각각 살펴보겠다.


세계가격이 더 높을 때: 수출국의 시장(대두/콩 예시)

먼저 세계가격이 국내균형가격보다 높은 경우로 시작하겠다. 이때 국내 생산자는 해외에서 더 비싼 가격에 팔 수 있으므로 생산을 늘리고, 국내 소비자는 가격 상승으로 소비를 줄이게 된다. 그 차이가 수출이 된다.

fig1_export_market.png 그림 1. 자유무역에서 수출국의 국내시장: PW> PD (대두/콩 예시)


그림 1에서 자급자족(무역이 없을 때) 균형은 (Q_D, P_D) = (500, 4)이다. 그러나 세계시장에서는 P_W=6에 거래가 이루어진다고 합시다. 작은 나라 가정에서는 국내가격도 P=6이 됩니다.

가격이 4에서 6으로 올라가면,

따라서 수출량은 생산과 소비의 차이로 계산된다.

이 한 줄이 국제무역의 ‘수량’ 분석의 전부이다. 즉, 세계가격이 국내균형보다 높으면 가격이 상승하고, 그 결과 생산은 늘고 소비는 줄어, 초과공급이 해외로 나가게 된다.


자유무역의 후생효과(1): 수출국에서 누가 이득/손해를 보는가

이제 가장 중요한 질문을 던져 보자.

자유무역은 사회 전체에 좋은가? 그리고 누가 이득을 보고 누가 손해를 보는가?

분석은 제7장에서 배운 잉여 개념을 그대로 사용한다. (아래에서 ‘0’은 무역 전(자급자족), ‘1’은 자유무역 이후를 뜻한다.)


(9.4) 총잉여(TS) = 소비자잉여(CS) + 생산자잉여(PS) (관세 등 정부정책이 없을 때)


자급자족에서는 국내 소비량 = 국내 생산량 = Q_D 이므로, C_S와 P_S는 각각 삼각형 면적으로 계산됩니다.

fig2_export_welfare_autarky.png 그림 2. 무역이 없을 때(자급자족) 후생: CS와 PS (대두/콩 예시)
fig3_export_welfare_trade.png 그림 3. 무역이 있을 때 후생(수출국): CS·PS와 무역이득(ΔTS)


그림 2(자급자족)과 그림 3(자유무역)를 비교하면 수출국에서의 분배 효과가 선명해진다.

가격 상승(4→6)으로 소비자잉여(CS)는 감소. (국내 소비자는 더 비싸게, 더 적게 소비)

가격 상승과 생산 확대(500→750)로 생산자잉여(PS)는 증가. (국내 생산자는 더 비싸게, 더 많이 생산)

그럼에도 불구하고 총잉여(TS)는 증가.

증가분이 바로 무역이득(gains from trade) 이다.

이제 수치로 확인해봅자. (선형 수요·공급에서 잉여는 삼각형 면적으로 계산 가능)


가정(대두/콩 시장):


1) 자급자족(무역 전) 잉여

2) 자유무역(무역 후) 잉여


3) 무역이득

정리하면 수출국에서는 ‘국내 소비자’가 손해를 볼 수 있지만, ‘국내 생산자’가 더 크게 이득을 보며, 사회 전체 총잉여는 증가한다.


여기서 중요한 관찰은 다음과 같다.

무역이득은 ‘수요곡선과 공급곡선 사이의 면적’ 으로 해석된다. 즉, 무역이 허용되면서 새로 발생(또는 재배치)한 거래 중에서, 가치를 더 크게 만드는 거래만 살아남는다.

무역은 ‘모두를’ 동시에 더 좋게 만들지 않을 수 있다. 하지만 보상(compensation)의 가능성이라는 관점에서 보면, 총잉여가 증가하는 한 ‘이득을 본 집단이 손해를 본 집단을 보상하고도 남는다’는 의미에서 파레토 개선 가능성이 존재한다.


세계가격이 더 낮을 때: 수입국의 시장(플라즈마 TV 예시)

이제 세계가격이 국내균형보다 낮은 경우이다. 이때 국내 소비자는 더 싼 해외 제품을 살 수 있어 소비를 늘리고, 국내 생산자는 가격 하락으로 생산을 줄인다. 그 차이가 수입이 된다.

핵심은 수출국과 완전히 대칭이다. 가격이 내려가면 소비는 늘고 생산은 줄어, 초과수요를 해외가 채웁니다.

fig4_import_market.png 그림 4. 자유무역에서 수입국의 국내시장: P_W <P_D (플라즈마 TV 예시)



9자유무역의 후생효과(2): 수입국에서 누가 이득/손해를 보는가

수입국에서는 가격이 하락하므로 소비자가 이득을 보고, 국내 생산자는 손해를 보는 경향이 있다. 하지만 총잉여는 여전히 증가한다. (다만 분배 효과는 수출국과 정반대다.)

fig5_import_welfare_autarky.png 그림 5. 무역이 없을 때(자급자족) 후생: CS와 PS (플라즈마 TV 예시)
fig6_import_welfare_trade.png 그림 6. 무역이 있을 때 후생(수입국): CS·PS와 무역이득(ΔTS)


수입국의 분배 효과 요약:

가격 하락(3000→1500)으로 소비자잉여(CS)는 증가.

가격 하락과 생산 축소(400→200)로 생산자잉여(PS)는 감소.

그럼에도 총잉여(TS)는 증가. 여기서 발생하는 증가분이 무역이득이다.


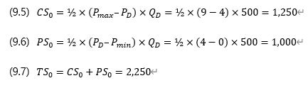
수치 예시(선형 수요·공급):

image.png

1) 자급자족(무역 전)

(9.13) CS0=½×(6000-3000)×400=600,000

(9.14) PS0=½×(3000-0)×400=600,000

(9.15) TS0=1,200,000


2) 자유무역(무역 후)

자유무역 가격 P=1500에서 Qd=600,Qs=20입니다.

(9.16) CS1=½×(6000-1500)×600=1,350,000

(9.17) PS1=½×(1500-0)×200=150,000

(9.18) TS1=1,500,000


3) 무역이득

(9.19) 무역이득 = TS1–TS0=1,500,000–1,200,000=300,000

따라서 수입국에서는 국내 생산자가 손해를 볼 수 있지만, 소비자의 이득이 더 크게 나타나 총잉여는 증가한다.

image.png


무역제한 정책 ① 관세(tariff): 가격을 올리고 수입을 줄인다

자유무역의 총이득이 양(+)이라고 해서, 현실에서 항상 자유무역이 선택되는 것은 아니다. 그 이유는 앞서 보았듯 무역이 승자와 패자를 동시에 만들기 때문이다. 패자가 정치적으로 조직화되어 ‘보호’를 요구하면 정부는 무역정책을 통해 수입을 제한하려 한다.

가장 대표적인 정책이 관세(tariff) 이다. 관세는 수입품에 부과되는 세금으로, 수입품의 국내 판매가격을 끌어올린다. 작은 나라 가정에서는 세계가격이 변하지 않으므로, 관세는 국내가격을 정확히 관세만큼 올리는 방식으로 나타난다.

가격이 오르면 국내 소비량은 줄고(Q_d↓), 국내 생산량은 늘며(Q_s↑), 그 결과 수입량이 감소한다.

fig7_tariff_imports.png 그림 7. 관세가 수입과 가격을 바꾸는 방식 (면셔츠 예시)


그림 7의 수치 예시는 다음과 같다.

즉 관세는 수입량을 55에서 30으로 줄인다. 그러나 ‘수입이 줄었다’는 사실만으로 정책이 바람직하다고 말할 수는 없다. 우리는 다시 후생(잉여)으로 평가해야 한다.


관세의 후생효과: TR(세수)와 DWL(효율성 비용)

관세는 세금의 한 형태이므로, 제8장에서 배운 ‘세금 분석’이 거의 그대로 적용된다. 차이는 세금이 수입품 거래에만 부과된다는 점이다.

관세가 만들어내는 후생 요소는 4가지로 분해할 수 있다.

소비자잉여(CS): 가격 상승과 소비 감소로 감소

생산자잉여(PS): 국내 생산 확대와 가격 상승으로 증가

관세수입(TR): 정부가 거두는 세금으로 증가

사중손실(DWL): 거래량 왜곡으로 발생(증가)


먼저 관세수입은 간단하다. 관세는 수입품 1단위당 T만큼 부과되므로, 관세가 부과된 이후의 수입량에 T를 곱하면 된다.


(9.21) 관세수입(TR) = T × 수입량(관세 후)


fig8_tariff_welfare.png 그림 8. 관세의 후생효과: CS·PS·관세수입(TR)·사중손실(DWL)
fig9_tariff_dwl_components.png 그림 9. 관세로 인한 사중손실(DWL)의 두 구성요소: 과잉생산 vs 과소소비


그림 8~9의 면적을 이용하면 관세의 효율성 비용을 정량적으로 계산할 수 있다. 선형 수요·공급에서는 특히 간단한 공식이 성립한다.


여기서

즉 DWL은 두 개의 삼각형(과잉생산, 과소소비) 면적의 합이다.


면셔츠 예시로 계산해보면,

image.png

따라서

image.png

관세수입은

(9.24) TR=T×수입(관세후)=10×30=300


정리하면 관세는 ‘국내 생산자 보호’와 ‘정부 세수’라는 효과가 있지만, 동시에 사중손실(효율성 비용)을 발생시킨다. 따라서 관세를 평가할 때는 ‘누구를 보호하는가’뿐 아니라 ‘그 보호가 얼마나 비싼가(DWL)’를 함께 봐야 한다.


무역제한 정책 ② 수입쿼터(quota)와 비관세장벽

관세 외에도 수입을 제한하는 수단은 매우 다양하다. 그중 교과서에서 가장 자주 비교하는 정책이 수입쿼터(import quota)이다. 수입쿼터는 ‘세금을 매기는’ 대신, 수입할 수 있는 수량 자체를 상한으로 제한한다. 예를 들어 ‘연간 30단위까지만 수입 허용’과 같이 규제할 수 있다.


흥미로운 점은, 적절한 수준의 쿼터를 설정하면 관세와 매우 유사한 가격·수량 결과가 나타날 수 있다는 것이다. 그러나 중요한 차이가 하나 있다. 바로 렌트(rent)의 귀속이다.

fig10_quota_vs_tariff.png 그림 10. 수입쿼터(Quota)와 관세(Tariff)의 비교

그림 10처럼 수입쿼터(Quota)와 관세(Tariff)의 비교는 같은 수입량에서도 ‘렌트’의 귀속이 달라질 수 있다

그림 10에서 쿼터가 수입량을 30으로 제한한다고 하면(관세 후 수입량과 동일), 국내가격은 P_Q=30 까지 상승할 수 있다. 이때 직사각형 면적(세계가격과 국내가격의 차이 × 수입량)은 관세에서는 정부 세수(TR) 로 귀속되지만, 쿼터에서는 수입권(license)을 가진 사람의 ‘쿼터렌트(quota rent)’ 로 귀속될 수 있다.


만약 정부가 수입권을 경매로 판매한다면, 쿼터렌트를 정부가 회수할 수 있으므로 관세와 더 비슷해 진다. 반대로 수입권을 특정 기업에 무상으로 배분하면, 그 기업이 큰 초과이윤(렌트)을 얻게 된다.


정리하면:

• 관세: 가격을 올리고 수입을 줄이지만, 세수가 정부로 들어온다.

• 쿼터: 가격을 올리고 수입을 줄이지만, 렌트가 누구에게 가는지 제도 설계에 따라 달라진다.


image.png 관세 vs 수입쿼터 비교표


왜 사람들은 무역을 반대하는가: 대표 논거 5가지

교과서가 자유무역의 총이득을 강조함에도, 현실에서는 보호무역 논쟁이 끊이지 않는다. 이유는 단순하다. 이득은 넓게 분산되는 반면, 손해는 특정 산업·지역에 집중되기 쉽기 때문이다.

아래는 무역 제한을 주장할 때 자주 등장하는 논거들이다. 각 논거는 ‘일정한 상황’에서는 설득력을 가질 수 있지만, 동시에 오용(남용)될 위험도 클수 있다.


① 일자리 보호 논거(The jobs argument)

무역이 수입을 늘리면 국내 산업의 생산이 줄어 일자리가 사라질 수 있다. 특히 단기적으로는 산업 전환이 빠르게 일어나지 않기 때문에, 특정 산업·지역에서 실업이 늘어날 수 있다. 그러나 ‘수입이 늘면 나라 전체 실업률이 반드시 상승한다’고 일반화하기는 어렵다. 경제 전체의 고용은 경기, 기술, 통화정책, 노동시장 제도 등 다양한 요인에 의해 좌우되기 때문이다.


미국의 장기 자료(10년 평균)를 예로 들며, 수입 비중이 높아졌다고 해서 실업률이 지속적으로 상승하는 단순한 패턴은 관찰하기 어렵다고 설명된다.

fig11_imports_unemployment.png 그림 11. 수입 증가와 실업률: 단순 상관이 약함(미국 10년 평균, 1956-2005)

정책적으로 중요한 포인트는 ‘무역이 일자리를 없애느냐/만드느냐’의 이분법이 아니라, 일자리가 ‘어디에서 어디로’ 이동하는가, 그리고 그 과정에서 발생하는 전환 비용(실업, 재교육, 지역 침체) 을 어떻게 완화할 것인가이다.


② 국가안보 논거(The national security argument)

군수물자, 핵심 부품, 식량 등은 전시나 외교 갈등 상황에서 안정적 조달이 중요할 수 있다. 이런 품목은 단순한 효율성 계산만으로 평가하기 어렵고, 일정 수준의 국내 생산 기반을 유지해야 한다는 주장이 제기된다. 다만 ‘안보’를 명분으로 한 보호정책이 과도하면, 오히려 비용이 큰 방식으로 국민 부담을 키울 수 있으므로 대상과 범위를 엄격히 제한해야 한다.


③ 유치산업 논거(The infant-industry argument)

새로 성장하는 산업은 초기에는 생산규모가 작고 학습효과(learning-by-doing)가 충분히 쌓이지 않아 비용이 높을 수 있다. 이때 일시적으로 보호해주면, 시간이 지나 경쟁력이 생겨 세계시장에서 살아남을 수 있다는 주장이다.


경제학적으로는 ‘동태적 비교우위’ 가능성을 제기하는 논거이지만, 현실에서는 두 가지 어려움이 있다.

• 어느 산업이 ‘미래의 승자’인지 정부가 정확히 맞히기 어렵다.

• 보호가 ‘일시적’이 아니라 ‘영구적’이 되기 쉽다(정치적 로비).

따라서 유치산업 보호는 명확한 종료 조건, 성과 기준, 투명한 평가 체계가 동반되지 않으면 실패할 가능성이 크다.


④ 불공정 경쟁 논거(The unfair-competition argument)

해외 기업이 보조금을 받거나, 환경·노동 규제가 약한 나라에서 생산해 값싼 가격으로 수출한다면 ‘공정하지 않다’는 주장이 나올 수 있다. 이 경우 반덤핑 관세, 상계관세 등 ‘무역구제’ 제도가 활용된다.

다만 불공정 경쟁을 이유로 한 보호가 실제로는 국내 산업의 비효율을 숨기는 수단이 될 수 있고, 소비자 후생을 줄일 수 있다. 따라서 사실관계(보조금·덤핑 여부)와 피해의 크기를 엄격히 검증하는 절차가 중요하다.


⑤ 협상카드 논거(The bargaining-chip argument)

한 나라가 관세를 올리겠다고 위협하면, 상대 나라가 시장을 개방하도록 ‘협상카드’로 작동할 수 있다는 주장이다. 실제로 국제협상에서는 이런 전략이 등장한다.

하지만 보복관세가 이어지면 무역전쟁으로 번져 양쪽 모두 손해를 볼 수 있다. 경제학적 관점에서 협상카드는 ‘가능성’은 있지만, 성공 조건이 까다롭고 위험이 큰 전략이다.


무역협정이 필요한 이유: 자유무역은 왜 자동으로 오지 않는가

국제무역은 나라 간 거래이므로, 한 나라의 정책 변화가 다른 나라에 영향을 준다. 이 때문에 무역정책은 종종 ‘죄수의 딜레마’ 형태를 띈다. 각 나라는 단기적으로 국내 산업을 보호하고 싶어 관세를 올리지만, 모두가 그렇게 하면 세계 교역이 줄고 모두가 손해를 보는 상황이 생긴다.


따라서 현실에서는 양자·다자 간 무역협정(trade agreements) 을 통해 관세를 낮추고 규칙을 정하려고 한다. 대표적으로 자유무역협정(FTA), 관세·무역에 관한 일반협정(GATT), 세계무역기구(WTO) 등의 틀이 이러한 역할을 한다.


무역협정의 경제학적 의미는 다음과 같다.

• 상호 관세 인하로 교역을 확대해 총잉여를 키우는 방향으로 유인한다.

• 분쟁 해결 절차를 통해 예측가능성을 높이고, 무역전쟁의 위험을 낮춘다.

• 각국이 국내 정치적 반대(보호 요구)를 ‘국제 약속’으로 완화할 수 있다.



매거진의 이전글조세의 비용