육아와 수면 문제 (feat. 통잠은 언제쯤)

밤잠 시간편

by 마흔아빠

제목이 곧 내용이다.

정말... 잠 좀 자고 싶다. 잠이 너무 고프다.

이미 체력은 바닥을 찍고 지하를 뚫은지 오래고, 정신력으로 버티던 것도 한계가 있다.

새벽에 아기가 울어서 일단 아기한테 가긴 했는데 도저히 눈이 안 떠져서 애를 안아 올리기가 쉽지 않았던 적도,

우는 애를 안아 달래려 둥가둥가 하던 중에 선채로 잠이 들어 아기와 함께 넘어질뻔한 적도 있었다.

이쯤 되면 머릿속에 떠오르는 질문들이 굉장히 단순화되면서 가장 핵심적인 내용으로 귀결된다.

(핵심을 꿰뚫는 능력이 비약적으로 상승하는 것도 피곤함의 장점이라면 장점이겠다)


도대체 얘는 왜 안 자지
우리 애는 언제쯤 통잠을 자는 거지
어떻게 해야 애가 잘 자는 거지




그래서 오늘은 내 업무를 살려 논문을 뒤적거려 봤다.

밥먹고 했던 일이 다른 사람이 무슨 연구하는지 들여다보는 일이었는데 무엇이 어려우랴.


거두절미하고, 빠르게 답을 찾아보자.

(추가 질문에 대해선 후속 시리즈로 이어집니다)



Q. 아기는 언제쯤 통잠을 잘까?

A. 최소 6개월, 안정적으론 12개월은 넘어야

뭐?! 12개월?! 이런 생각이 가장 먼저 떠올랐을 것이다.

안다. 나도 이 숫자를 적으면서 믿기 어려웠으니.

그래도 6개월 정도면 해볼 만하다 싶지 않은가?
다른 집 아가들은 50일 차에 10시간을 넘게 잔다는데 6개월이니 12개월이니 뭔 소린가 싶을 수도 있겠다.(참고로 우리 첫째 밤톨이는 9개월이 되어야 처음으로 통잠을 잤다)


아래 그림을 보자.

A Gilchrist et al., Front Neurosci. 2025 Apr 30:19:1581325. doi: 10.3389/fnins.2025.1581325


이 그림은 영아의 총 밤중 수면시간(Total Night Sleep hours)을 움직임 감지 팔찌(Actigraphy)와 부모의 관찰(Diary)을 통해 기록한 내용이다. 우리는 '실제 부모가 어떻게 느끼는가'가 주요 관심사이므로 '부모의 관찰' 부분만 보자.


15주차(약 생후 4개월)면 밤잠을 꽤 잘 자는 것으로 나타난다.(약 10시간 정도)

하지만 20주차(생후 5개월)가 넘어가면 이상하게도 밤잠 시간이 줄어드는 경향이 보인다.

그리고 아이마다 편차가 벌어지기 시작한다! 어떤 아가는 꾸준히, 혹은 더 길게 잘 자기도 하는 반면,

갑자기 수면시간이 생후 12주차(약 3개월) 수준으로 떨어지는 아기도 있다!


이 논문의 저자는 20주차 이후 총 밤잠 시간이 감소하는 경향을 보이는 이유로 실제 잠퇴행이 온 게 아니라, 부모가 아이가 "깼다" 라고 인식하는 기준의 변화라고 설명하고 있기는 하다.

과학적 분석이야 어찌됐든, 부모들이 이 시기에 '아이가 잠을 덜잔다!' 라고 느낀다는게 포인트다.


또 다른 논문을 보자.

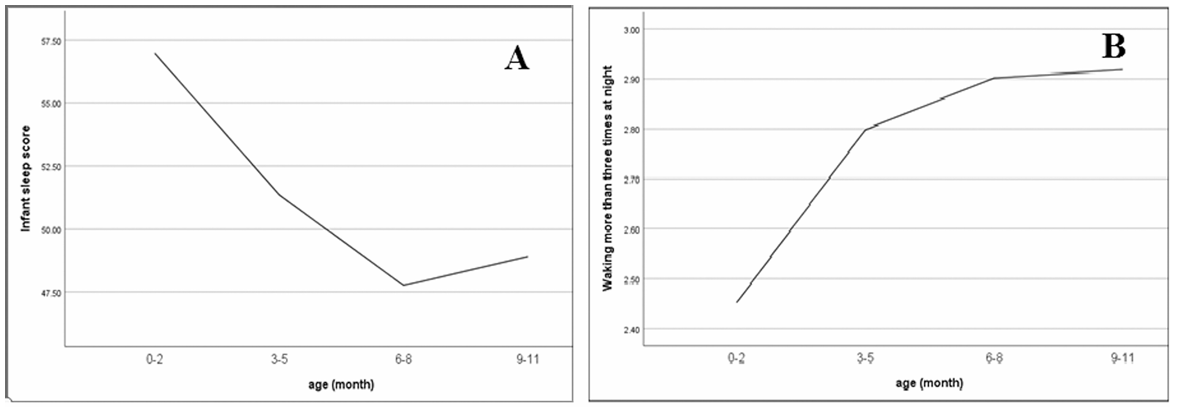
K Khamenehpour et al., Sleep Sci. 2025 Jun 26;18(2):e190-e196. doi: 10.1055/s-0044-1793927.


이 논문은 410명의 아기들의 수면에 대해 조사, 분석한 논문이다.

그림에서 보는 A 그래프는 부모 인터뷰를 통해 산출한 아기 수면 전반을 점수화한 결과이고,

B 그래프는 밤중에 3번 이상 깨는 횟수를 표시한 그래프다.

가로축은 아기의 월령(개월수)이다.


..... 보이는가......

놀랍게도 아기의 수면 점수는 6~8개월 차에 가장 바닥을 친다!

자다가 깨는 횟수도 9~11개월로 갈수록 많아진다!!!


역시나 이 논문의 저자도 실제로 아기 수면의 퀄리티가 낮아진 게 아닌, 부모가 문제라고 인식하는 기준이 달라졌기에 이러한 결과가 나왔을 것이라고 설명하고 있다.

여러 가지 요소들 중에서 수면 장애와 연관성이 있는 것으로 확인된 요소는 단 두 가지, 아기의 월령부모의 인식뿐이다.

(아래 Table 5. Age(Month)와 Parent perception, 딱 두 개만 유의미(p-value=0.001)한 것으로 계산되었다)

K Khamenehpour et al., Sleep Sci. 2025 Jun 26;18(2):e190-e196. doi: 10.1055/s-0044-1793927.


결론이 뭐냐.

1. 확실히 아기가 커갈수록 잠은 잘 잔다.
2. 단, 부모가 아기가 안 잔다고 느끼는 정도는 12개월까지는 점점 심해진다

1번과 2번이 완벽하게 상충되는 말로 들린다.

나도 이해가 안 가서 몇 번이고 다시 읽고 이해한 바는 다음과 같다.


아기는 잘잔다.

다만 부모가 점점 지쳐서, 아 이쯤이면 애가 좀 잘 자줘야 하는데 싶은 기대치가 올라가기 때문에 아기가 조금이라도 뒤척이거나 하는 사소한 행동을 모두 수면장애 행동으로 인식한다!

즉, 모든 것이 마음먹기에 달렸다!!


유레카!!

원효대사 해골물, 일체유심조, 수처작주 입처개진!!

There is no spoon!

숟가락을 휘게하는건 불가능하다. 대신 현실을 직시하자 - 아기는 잘 잔다

......

허망할지 모르지만 그렇다는데 어쩌겠나.

그러니 아이가 4개월 넘어서도 잠을 안 자서 고생하는 우리 모든 부모들에게 전한다.

애는 잘잔다. 그러니 우리도 잘 자자.