트리우스 광명 청약 공고문 요약

천지개벽할 광명뉴타운? 청약 할까 말까?

by 김안녕


현재 광명엔 계속해서 공급이 있는 상태이다. 뉴타운 개발이 진행 중으로, 대량 공급이 앞으로도 조금은 남아있는 상황. 특히, 광명사거리역 뒤편과 철산역 사이에 위치한 구역에서의 분양이 이루어지고 있는 가운데, 2023년 10월 현재 접수를 앞둔 <트리우스 광명> 모집 공고문을 뜯어보았다.


트리우스 광명 모집 공고문 뜯어보기

20231010_204302.png 요약본


1. 기본 정보

[위치] 광명시 광명 1동 12-2번지 일원

dd.png

7호선 광명사거리역 역세권 단지이며, 그 외 7호선 철산역/ 1호선 개봉역/주요 업무 지구 중 하나인 가산디지털단지역 모두 2km 내외의 근거리에 위치한 좋은 교통의 입지를 갖고 있다고 볼 수 있다.



[단지규모] 3,344세대

20231010_203628.png

3천 세대가 넘는 대규모 단지로 수요가 큰 단지가 될 것으로 예상된다.



2. 청약 요건

[청약 자격]

1.png

- 최초 입주자모집공고일 현재 광명시에 거주하거나 수도권(서울특별시, 인천광역시, 경기도)에 거주하는 만 19세 이상인 자 또는 세대주인 미성년자(자녀양육, 형제자매부양자)

- 청약통장 가입기간 12개월 이상, 예치금 충족

- 유주택자 청약 가능

- [일반공급] 세대주, 세대원, 유주택자 모두 가능

- [특별공급] 노부모부양 시 세대주 필요, 신혼부부/생애최초 시 소득 또는 자산 조건 충족 필요

사실상 수도권 거주자라면 특별공급의 일부 요건을 제외하고는 큰 제약은 없다고 볼 수 있다.


3. 특징

[분양가 상한제/전매 제한/실거주 의무]

- 분양가 상한제 미적용, 전매 제한은 당첨일로부터 1년

- 실거주 의무 X 단지!


4. 예산

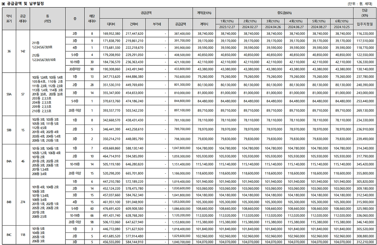
[공급금액, 분양금액 납부 비율, 입주 예정일 포함 일정, 중도금 대출 관련 사항]

20231010_204315.png 요약본

[공급금액]

3.png
5.png


[중도금 대출]

- 대출 이자 후불제 조건으로 60%까지 가능


[분양 금액 납부 비율]

- 계약금 10%, 중도금 60% (10%씩 총 6회), 잔금 30%

청약에 도전할 경우, 계약금 한 번에 넣을 수 있는지, 대출받는 것 외 중도금 + 잔금 치를 때 충분히 가능할지 체크해 보는 게 필요!



참고 자료: 모집공고문 전문


트리우스 광명, 청약할까 말까?


당첨의 결과를 차치하고, 청약에 도전할까 말까의 고민을 할 때 어떤 것을 기준으로 잡으면 좋을까. 일단 입지적인 요소에서 역세권, 앞으로 더욱 발전할 수 있을 광명시 뉴타운의 가능성을 봤을 때 괜찮은 곳이라 판단된다.

20231010_210358.png

하지만, 광명시는 교통 아닌 학군적으로는 부족한 면이 있고(학원은 모두 목동으로 다니는 편), 많은 개발로 인해 2023년 현재 인구수 대비 높은 공급량을 갖고 있고, 향후 3년간 예정 공급량도 많은 편이기에 대규모 입주일 등의 물량이 몰리는 특정 시점에 전세가가 하락할 가능성도 배제할 수 없다. 현재 매매가는 하락했다가 다시 소폭 상승하는 추세를 보이고 있는데, 주변 시세 대비 신축 단지로서의 공급가가 얼마나 매력적인지 조금 더 비교가 필요할 것으로 보인다.

keyword
매거진의 이전글용인시 수지구 임장보고서 - 지역개요/호재