brunch

최선의 의사결정과 최적의 선택

<최선을 다한다는 것은 무엇일까>

by 양진혁

최선의 의사결정 방식

사람들은 살면서 몇 개의 의사결정을 처리할까? 구글에 ‘사람이 하루에 처리하는 의사결정의 수’라고 검색해보면, 사람은 하루에 약 70여 개의 의사결정을 한다고 한다. 100살까지 살아간다고 가정할 경우 단순하게 생각했을 때 사람은 일생동안 약 70 x 365 x 100 = 255만 개의 의사결정을 하게 되는 것이다.


'사람이 하루에 처리하는 의사결정의 수' 구글 검색 결과.


사람은 의사결정을 할 때 의식적으로 또는 무의식적으로 최적의 선택을 하기 위해 노력하는 편인 것으로 보인다. 하지만 모든 선택을 항상 최고의 선택으로 만들기 위해 노력하는 것이 최선일까?




최적의 선택 이론

최적의 선택에 관한 이론 중 “The secretary problem”이라는 문제가 있다. 직역하면 ‘비서 문제’이다. ”가장 최고의 비서를 선택하기 위해서는 몇 번째 비서를 뽑아야 하는가?”에 대한 답을 통계적으로 제시하는 문제이다. 결혼 문제(the marriage problem)라고도 불리는데, 나는 이 비유가 더 적절한 비유인 듯하다. 보통 비서를 뽑는다면 모든 사람에 대해 면접한 후에 비서를 뽑겠지만, 배우자의 경우 미래에 만나게 될 잠재적인 사람을 보고 판단할 수는 없기 때문이다. 가령 내가 일생동안 15명 정도에게 사랑에 빠지게 된다면, 대략 몇 번째 상대와 결혼하는 것이 가장 이상적일 것인가? 와 같은 질문에 꽤 적절한 답을 할 수 있다.


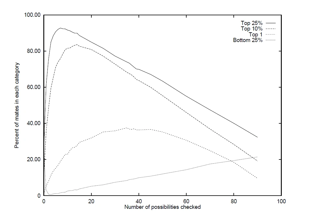
100명과 교제할 때 원하는 정도의 배우자를 선택하게 될 확률. 출처 : "Searching for the next best mate, Peter M. Todd, 1997.


한번 적용시켜보자. 이론에 따르면, 내가 이상적으로 생각하는 배우자의 기준을 100이라고 쳤을 때, 99 정도의 배우자를 만나려고 한다 치자. 이때의 최적의 선택은, 4번째 사람과 결혼하는 것이다. 다만 이 4번째 사람이 그 이전 사람들보다는 나아야 하고, 그럴 경우에도 이 사람이 99의 기준을 가진 배우자일 확률은 약 37%이다. 그 이후 사람은? 물론 확률이라는 것이 언제든지 가능성은 있으나, 확률적으로는 37%보다 낮다고 한다. 만약 기준을 낮춰서, 90 정도의 배우자를 원한다면, 1~2명과 만난 뒤에 3번째 만나는 사람이 이전 사람들보다 낫다면 83%의 확률로 90 정도의 배우자와 삶을 살아갈 수 있다. 조금 더 눈을 낮춰서 약 75 정도의 배우자와 살아가고자 한다면, 2번째로 사랑에 빠진 사람이 그 이전 사람보다 낫다면 92%의 확률로 계획을 성공시킬 수 있다.


이 문제는 비단 배우자를 선택하는 문제뿐만 아니라 일상생활에서 우리가 자잘하거나 혹은 중요한 선택을 할 때에도 적용시킬 수 있다. 우리가 의사결정을 내릴 일들은 저마다의 경중이 있다. 그 중요도에 따라 최선의 정도를 달리하여 결정을 내릴 수 있는 것이다.


하지만, 위의 내용에서 보았듯이, 하나의 의사결정마다 최고 수준의 선택을 하기 위한 최고 확률은 37% 정도이다. 약 3가지의 의사결정에 대해 최고 수준으로 결정할 확률은 약 5% 정도이다. 맨 위에서 한 사람은 하루에 70가지의 의사결정을 한다고 했는데, 만약 이 70가지를 모두 최고 수준으로 의사결정하고 싶다면.. 확률이 거의 0이므로 포기하는 것이 좋다.


즉, 위에서 질문한 '모든 선택을 항상 최고의 선택으로 만들기 위해 노력하는 것이 최선일까?'에 대한 나의 답은 '아니다'이다.


나의 의사결정과 최선의 삶

그럼에도 불구하고 나 같은 경우에는, 그 어떤 선택이든 간에 그 의사결정의 중요도에 관계없이 최적의 선택을 하기 위해 항상 노력하는 편이었다. 흔히 말하는 완벽주의적 성향을 지닌 사람이었다고 할 수 있겠다. 때문에 의사결정이 느렸다. 누군가는 나보고 결정 장애라고 했지만, 나는 그저 최적의 선택을 위해 노력했을 뿐이었다. 밥을 먹으러 갈 때도, 가서 메뉴를 정할 때도, 옷이나 신발을 고를 때도, 혹은 업무 안에서 크고 작은 결정들을 할 때도.


그런데 요즘은 문득 이런 생각을 했다. 의사결정 하나하나에 대해 최고의 결과를 얻기 위해 나는 얼마나 많은 시간을 레버리지하여 이 결정들을 처리했을까. 하여 이렇게 소모되어버린 시간은 나로 하여금 얼마나 많은 기회비용을 날려버렸을까.


지금의 내가 그 결과일 것이다. 지금 나의 상태에 대해 크게 부끄럽지는 않지만, 만족도를 백분율로 나타낸다면 한 60% 정도일 것 같다. 이 만족도는, 생사의 문제와 먹고사는 생존의 문제에 대해 걱정하지 않아도 된다는 것, 그리고 크게 걱정하지 않아도 될 부모형제가 있다는 것, 그리고 지금의 나를 좋아해 주고 믿어주는 사람과 친구들이 있다는 것, 그리고 시간을 포함하여 내가 아직 치환시킬 기회비용이 많이 남아있다는 것에 기인한다. 하지만 여전히 나는 더 만족스러운 삶을 원한다.


자신의 삶에 만족하지 못하는 지금의 나는 내 잘못된 의사결정 방식을 통해 초래되었을 수도 있다는 생각이 든다. 더 중요한 문제들을 많이 해결했어야 하는데.

여태까지 최선을 다해서 살았다고 생각했는데, 사실은 최선을 다하지 못한 것이었다. 완벽주의로 살아가는 것은 최선의 삶이 아닌 것이다.




최선을 다하는 삶이란

나의 모든 의사결정을 최고의 선택으로 만들기 위해 노력하는 것은 최선의 삶의 방식이 아니라고 생각한다. 최선을 다하여 살아간다는 것은, 각 의사결정마다 최적의 선택을 '적절히 하는 것' 정도가 될 듯 싶다. 클리셰적일 수 있지만, 흔히 말하는 "선택과 집중"이 필요한 것이다. 선택과 집중을 잘하여 취할 것은 취하고 버릴 것은 버리는 삶, 그것이 최선의 삶이 아닐까.


의사결정을 할 때, 문제의 경중에 따라 얻고자 하는 결과의 질에 대한 기댓값을 조절하여 적용해야 좀 더 만족스러운 삶을 살 수 있지 않을까. 그래서 나 자신이 스스로 '난 최선의 삶을 살고 있다!'라고 느낄 때 삶의 만족도가 가장 클 것이다.


자잘한 의사결정까지 최고의 선택으로 만들려고 하다 보면 정말 중요한 것들을 놓치게 될 수 있다. 유연함과 융통성은 그래서 필요한 것 같다. 넓은 시각으로 세상을 바라보기 위해서, 그리하여 내가 지금 놓치고 있는 것들을 놓치지 않고 보기 위해서.

keyword