brunch

음악산업의 진화, 혹은 실수

BP음악산업 아카데미 4주차 교육 리뷰

by 파도
'Evolution' or The lessons we should learn from the music industry


이번 발행 글의 제목을 조금 자극적으로 작성했다.

4주차 강의 내용을 들으며 처음 생각했던 리뷰의 제목은 대중음악과 유통 프로세스 이해하기였다.


예술과 산업으로서의 대중음악의 이해


(복습하기)

1 대중음악의 이해: 대중매체의 발전과 음악산업의 성장


이 강의는 대중음악을 이해하는데에 초점을 둔다. 그리고 그 기반은 '예술과 산업으로서' 이해하는 것이다. 첫번째 세션에서는 대중음악이 어떻게 매체와 함께 발전해왔는지를 보았다. 대중음악은 전달매체인 라디오, TV, 인터넷, 모바일 그리고 저장매체인 음반, mp3 등의 매체 중심으로 발전해왔다. 음악의 시작이 20세기의 라이브 공연 중심의 고전음악이었다면, 현재의 대중음악은 SP, LP, 카세트테이프, CD 그리고 인터넷과 모바일을 거쳐 현재 시간과 장소에 구애받지 않는 다이나믹한 형태로 변화되어 왔다. 더불어 저장매체의 발달은 음악을 소리에 리듬을 부여한 창작물이라거나 하나의 곡이라는 개념에서 '앨범'이라는 작품의 형태, 그리고 그 작품을 만들어가는 아티스트와 비평의 탄생까지 이끌어냈다. 지금까지 현재의 대중음악이 양적으로 또 질적으로 어떻게 변화, 발달해왔는지 살펴보았다면 두번째 세션에서 박준흠 센터장님은 조금 더 산업적인 접근으로 뮤직비즈니스와 음악산업, 공연산업 그리고 정책적인 부분을 강의 내용에 담아주셨다.


2 대중음악과 뮤직비즈니스의 탄생


음악산업에서 주류와 비주류의 기준은 무엇일까?


누군가는 주류는 아이돌음악이고, 비주류는 인디음악이라고 말할 것이다. 하지만 음악산업에서 말하는 주류와 비주류 음악의 개념은 한 국가의 음악시장에서 특정 장르가 차지하는 비중에 따라서 분류한다. 따라서 위에서 말한 주류와 비주류에 대한 분류는 우리나라에서는 맞는 말이지만 영미권 음악시장에서는 틀린 말이 된다. 록 음악의 경우, 우리나라에서는 비주류이지만 미국에서는 주류음악 장르이다. 또 아이돌 음악은 미국에서는 팝 장르의 서브장르로 분류되지만, 우리나라나 일본에서는 각각 80%, 30%가 넘는 점유율을 차지하고 있기에 주류 음악으로 분류할 수 있다.


그렇다면 언더그라운드, 오버그라운드 그리고 인디는 어떻게 분류할 수 있을까?


가장 먼저 등장한 개념은 '언더그라운드(Underground)'이다. 사용자들이 만들어가는 Urban Dictionary의 Top Definition에 등장한 언더그라운드는 다음과 같다.


높은 수준의 오리지널리티와 실험정신을 가지고 있으며 대중적인 미디어에 의해서 규정된 유행이나 전통적인 기준에 순응하지 않는 미디어의 형태나 음악의 장르


여러 주장들이 있지만, 결국 공통적으로 알 수 있는 것은 언더그라운드 뮤지션이라고 한다면 자신만의 오리지널리티가 있다는 것, 그리고 종종 상업적으로 성공하지 않아도 된다는 태도를 가지고 있다고 볼 수 있다. 산업적인 측면에서는 뮤지션십 (musician attitude)에 관련지어 이야기할 수 있는데, 기존에 음반기획사 사장님들이 가져다주는 노래를 부르는 가수가 아니라 그들에게 간섭받지 않고 음악창작과 음반기획에 대한 전권을 가진 아티스트들이 바로 언더그라운드 아티스트라는 개념의 출발점이었다. 이런 언더그라운드라는 개념이 나온 또 하나의 배경은 바로 음악산업의 성장이다. 양적, 질적으로 음악산업이 성장하면서 예술가들이 과거보다 상대적으로 작업할 수 있는 좋은 환경이 형성된 것이 아닐까 한다.


언더그라운드 다음은 '인디'의 개념이 등장한다. 인디는 음반제작과 유통이 독립적으로 이루어지는 과정에서 출발하게 되는데 영미권에서는 1960년대부터 등장했지만, 1980년대부터 본격적으로 시장에서 퍼지게 된다. 국내에서는 1996년도부터 드럭레코드나 석기시대가 그 시발점이라고 할 수 있다. 하지만 영미권 인디 개념과 다른 점은, 국내에서는 음반 제작과 유통이 분리된 적이 없었다는 것이다. 이러한 인디음악 시스템이 탄생한 이유에는 여러가지가 있지만, 먼저 상업성을 검증받지 못한 신인과 장르가 계속해서 등장했고, 미국의 경우에는 1~2만명을 수용하는 아레나 수준의 공연을 넘어서서 5만명 이상의 스타디움에서 공연을 진행할 수 있을정도로 규모가 성장해있었던 점을 꼽을 수 있다. 결국 이제는 음악시장에서도 다양한 시도를 해볼 수 있는 환경이 만들어진 셈이었다.

스크린샷 2017-04-10 오전 6.04.10.png
매스사.png


(국내에서 인디라는 개념은 위에서 언급한 것과는 다르게 해석되기도 한다. 과거에는 음반기획과 제작을 정말로 '인디펜던트'로 진행하는 아티스트를 지칭하는 개념이었다면 최근에는 대중들이 인디음악~ 이라고 하는 음악을 하고 있는 레이블과 아티스트를 부르는 것이 보편화되었다고 봐야 맞을 것이다. 개인적인 의견이지만, 볼빨간 사춘기도 그렇기 때문에 인디이고, 사람들이 대부분 알만한 큰 인디 레이블도 인디라고 생각을 한다.)


마지막으로 오버그라운드는 쉽게 이해할 수 있다. 그냥 언더그라운드의 반대 개념이다. 우리가 만나는 대부분의 음악과 아티스트는 오버그라운드의 범주안에 속한다고 볼 수 있다.


대중음악이 주류와 비주류, 언더,오버 그리고 인디로 분류되는 것을 살펴보았다. 이제는 음악산업에 대해서 알아볼 필요가 있는데, 결론부터 말하면 현재 단계에서는 여러가지 문제점을 안고 있는데 이런 문제점들은 영화산업과 비교해보았을 때 극명하게 보여진다.

스크린샷 2017-04-10 오전 2.22.38.png 출처: 사운드네트워크 강의자료

음악산업에는 아직 실무자를 위한 학제가 없다. 더불어 대중음악 전문매체도 없다고 봐야 할 것이다. 영화산업은 이러한 학제와 매체의 영향을 받아, 영화 산업은 마케팅 요소로도 대중음악에 비해 상대적으로 높게 인식되고 있다. 부러울 수 밖에.


영화산업과 비교했을 때, 국내의 음악소비자는 몇 명이나 되고, 또 그들이 1년에 얼마나 소비할까?

조금만 생각해도 비교가 되지 않는 수준이라는 결론은 쉽게 내릴 수 있다.


이러한 건강하지 못한 음악 산업은 다양한 이유들이 있겠지만, 90년대 중반부터 돈이 되는 음악들이 주로 유통되는 구조가 만들어진 것, 그리고 여기서 시작되는 음악 소비자들이 10대로 크게 제한되는 구조에서 시작된 것이 아닐까 말씀해주셨다. 음악 산업 자체가 파이를 줄여버린 것이 아닐까 생각이 든다. 물론, 나쁘다고 말할 수는 없다. 음반사, 기획사 등의 회사를 운영하는 입장이라면 그렇게 하는 것이 옳은 선택일 수도 있으니까. 어쨌든 민간에서부터 시작된 이런 자연스런 악순환을 막아주는 정책적인 장치도 미비했고 그 외의 여러 이유들로 우리는 지금의 국내 음악시장의 상황에 직면해있다.


3 음악산업의 이해


우리나라의 음악산업 유관기관은 크게 기관, 협회, 기업 등으로 나눌 수 있다. 문체부나 한국콘텐츠진흥원(Kocca), 한국음악저작권협회, 한국음악실연자협회 등이 있다.


가온차트.jpg
빌보드차틍.png

그런데 통계부분으로 들어가본다면, 상당히 초라한 인프라를 보여준다. 음원의 경우, 유통사들이 데이터를 주단위로 전달하여 운영되는 가온차트를 가장 먼저 떠올릴 수 있지만, 차트의 경우 최근 반쪽자리 개정을 했다지만 아직까지도 말이 많다. 공연의 경우에도 확실한 수치가 나오지 않는다. 음반시장의 통계는 가장 심각해서 우리가 구글에서 찾아볼 수 있는 음반시장의 규모라는 정보는 실제와 많이 다를 가능성이 크다.


시장 지분율과 홍보마케팅의 측면에서도 음악산업을 바라볼 수 있다. 계속 반복되는 말을 하는 것 같지만, 우리나라의 음악시장에서는 90%이상이 아이돌을 중심으로한 엔터테인먼트 음악이다. 더불어 영미권과 일본의 경우에는 라디오의 에어플레이, 음악 매체, 투어 공연 등이 음악과 음반 판매에 영향을 주는 반면 국내에서는 지극히 TV, 음원 플랫폼의 홍보에 기대어 음반 판매나 스트리밍 확대를 바랄 수 밖에 없다. 대안은 무엇일까?


박준흠 센터장님이 제시한 대안은 10대에서 50대까지가 즐길 수 있는 소비자 연령대를 형성하고, 현재의 2배정도 되는 약 3조원의 시장이 엔터와 언더가 약 7:3의 비율 정도로 나누어졌으면 하는 것이었다.


4 공연산업_ 대중음악, 콘서트 그리고 페스티벌


자라섬 페스티벌.JPG 자라섬 국제 재즈 페스티벌


뮤지션이 활동하는데에 있어서 선순환구조는 여러가지가 있겠지만, 일반적으로는 신보 -> 축제,공연,매체활용 -> 마케팅으로 이어지는 지속가능한 구조를 말할 수 있다. 우리나라는 일단 신보가 엄청나게 많이 나오고, 축제는 한정되어 있고 (또 사람들이 돈을 잘 안쓰려고 하기도 하고, 초대권 문화도 많다.) 공연은 전국투어 등을 하기는 어려운 구조에 (내가 본 인디씬의 공연 프로세스는 더 심각했다.) 매체는 (뉴미디어를 잘 활용해야 한다.) 거의 없다. 이런 상황들을 조합해서 보았을 때, 국내의 공연산업은 양적으로 커져가고 있지만 결국 구조적인 문제는 해결하지 못한 채 뮤지션 인지도 측면의 부익부 빈익빈 현상이 가중되고 있다는 생각이 든다.


이와는 별개로, 우리가 알아야 할 것은 먼저 문화부에서는 매년 서울, 광주, 부산, 대구, 충북 지역에 문화부 음악창작소를 2개소씩 지정한다는 것, 그리고 공연장은 규모에 따라 5만명이상의 스타디움, 2~5만명 규모의 돔, 1~2만명 규모의 아레나와 문예회관 정도로 구분될 수 있다는 것이었다.


또 음악페스티벌에 대해서도 간단히 다루었는데, 서울재즈페스티벌, 울트라뮤직페스티벌(UMF), 인천펜타포트락페스티벌 등 많은 대중들이 아는 이벤트부터 다양한 지역중심의 페스티벌도 존재함을 알 수 있었다. 수십여 페스티벌을 보다보니, BP음악산업센터에서 페스티벌 지도를 만들고 매년 업데이트한다면 좋은 컨텐츠가 될 수 있다는 생각도 들었다. 또는 음악산업 백서처럼 간단하게라도 페스티벌 백서 같은 것을 만드는 것도 좋은 예가 될 수 있을 것 같다. (이렇게 시작인가...)


스크린샷 2017-04-10 오전 6.38.41.png 스타트업 얼라이언스에서는 이런 지도를 만든다.


5 대중음악 박물관, 대중음악 명예의 전당, 음악마켓, 음악도시 및 산업 정책


마지막으로는 해외의 사례들을 보면서 대중음악 박물관, 명예의 전당 등을 간단하게 살펴보았다.

sxsw23.jpg
sxsw2.jpg
sxsw.jpg

특히 음악마켓의 분야에서는 역시나 텍사스 오스틴에서 열리는 SXSW을 빠지지 않고 다루었다. 음악 마켓으로 많이 알려져있지만, 실제로 SXSW는 예술과 테크, 아이디어가 결합된 글로벌 이벤트가 되었다. 최근에는 SXSWedu 같이 분야를 나누어 진행하기도 한다. 간단하게만 생각해봐도, 텍사스의 오스틴은 이제 이 SXSW를 통해 엄청난 도시 브랜딩 효과와 분야를 넘나드는 실험을 할 수 있게 되었다. 국내에서도 뮤콘 서울, 울산의 에이팜 등의 사례가 있는데 나는 소식만 접했을 뿐 실제로 참여해보지는 못해서 잘 알지는 못한다. 다만 음악마켓이 성장하기 위해서는 관객 동원도 중요하지만 후위에서 이루어지는 말 그대로의 '마켓'의 성장이 필요하다는 말은 마음에 항상 두고 있어야겠다.




코멘트


기본적으로 대중음악에 대한 다양한 분야를 다룬 강의라 의미가 있었다. 교육생들에 따라서 아는 부분도 있었을 것이고 처음 접하는 부분도 있었을 것이지만, 정말 '최소한으로' 이정도는 알아야 음악 산업에서 혹은 음악 산업과 마주하며 일할 수 있을 거라는 생각을 했다. 정보위주로 이루어진 음악산업이 어떻게 변화, 성장해왔는지에 대해서는 그냥 강의 내용을 흡수하면 되는 문제였지만, 그 외에 국내와 영미권 음악시장이 시장 규모에서, 음악 장르의 분포에서, 그리고 사람들의 인식에서 많은 차이점을 가지고 있다는 부분에 대해서는 나에게 많은 고민을 안겨주었다.


'Evolution' or The Lessons we should learn from the music industry


이 전의 글들과 비슷한 맥락이다. 1) 우리나라의 음악시장은 현재 10대 소비자를 중심으로한 아이돌음악이 80%이상을 차지하고 있다는 것. 2) 과거에 음악을 소비하던 현재의 30대 이상 소비자들은 어떠한 이유들로 현재 음악을 거의 소비하고 있지 않다는 것. 3) 그리고 이러한 상황은 건강하지 않은 시장이라고 보는 것이 합리적이라는 것.


굳이 말하자면 위의 세 부분들이 우리나라 음악산업에 대해서 여러가지 이슈를 논할 때 관통될 수 있는 주제일 것이다. 구체적으로 들여다보면 조금 더 와닿는다. 많은 대중들이 TV 프로그램을 통해서 음악을 접한다. 그 중에는 음악에 포커스를 맞춘 프로그램도 있고, 복면가왕, 쇼미더머니, 고등래퍼, 프로듀스 101 처럼 화제성을 함께 생각하는 프로그램도 많이 있다. TV라는 매체를 예전보다 많이 보지 않는다고 하지만, 위의 컨텐츠들은 예전보다 훨씬 더 파급력있게 유튜브에서, 페이스북에서 바이럴된다. 그리고 이는 대중음악 소비자를 형성하는데에 지대한 영향을 미친다. '현재의 문화적 트렌드를 따라서 기획을 한다'라는 관점에서 본다면 위에서 언급한 프로그램들은 성공적으로 기획되었다. 위의 맥락에서 보자면 '돈이 되는' 혹은 '화제성만 생각하는' 음악 프로그램 보다 음악 산업을 조금 더 건전한 방향으로 나아가게 하는 프로그램이 더 좋다고 생각할 수 있다. 하지만 그것은 반만 맞은 논리가 된다. 실제로 해당 프로그램을 기획하는 사람들은 그들이 현재의 상황과 트렌드와 소비자를 분석해서 만들어낸 최고의 기획물을 만들어 낸 것이고, 더불어 음악에 관심이 없던 사람들을 끌어들이거나 과거의 음악들을 재조명하는 산업적인 측면에서도 순기능을 가지고 있기 때문이다.


결국은 이미 형성되어 있는 소비자와 인프라에 포커스를 둔 기획을 할 것인가, 혹은 (지금의 음악산업이 건강하지 않은 구조라고 확신할 수 있다면) 소비자와 인프라를 바꿔낼 기획을 만들어낼 것인가에 대한 문제이다. 어쩌면 닭이 먼저냐, 달걀이 먼저냐의 논리가 될 수도 있지만, 내 생각은 이렇다. 좋은 프로그램을 만드는 사람들은 계속해서 그것들을 만들면 된다. 하지만 아주 조금이라도 우선순위에서 고려되어야 할 것은 결국 음악 산업 종사자들 모두가 생각하는 '파이를 키우자', 그리고 '건강한 구조를 만들자'라는 것이라는 부분을 잊지 말아야 한다. 그리고 소비자와 인프라를 바꿔낼 기획을 하고 싶은 사람들은 더 강력하게, 더 주도적으로 기획을 하고 결과로 보여줄 수 밖에 없다. 두 유형의 기획자 모두 근본적으로는 아티스트와 음악이 이 산업의 중심이라는 것을 잊지 않아야 할 것이다. 더 나아가서 데이터, 통계 그리고 분석으로 이러한 명제의 옳고 그름과 음악산업의 미래가치에 대한 근거가 뒷받침이 된다면, 조금씩은 다양한 음악 산업 내의 이해관계자들이 같은 맥락안에서 커뮤니케이션을 할 수 있지 않을까 생각해본다.



음악투자 및 유통실무


(복습하기) 1 음악투자와 유통실무 프로세스


음악투자와 유통실무 모두 뮤직비즈니스에 대한 이해로부터 시작된다. 뮤직비즈니스는 저작권자-아티스트-기획사-유통사-서비스사-팬에 이르는 가치사슬을 가지고 있는데 유통이라는 업무는 기획사로부터 앨범을 받아 서비스사에 유통하고 배급하며 기획사를 대리하여 저작인접권료를 징수하는 일이라는 것을 지난 시간에 배웠다. 더불어 유통사는 기획사의 앨범에 직접 투자할 수 있는데 그러한 계약의 종류는 자체제작, 공동제작, 선급투자, 일반유통, 360계약까지 크게 5가지로 분류되는 것을 살펴보았다. 지난 시간에는 음악 소비자는 잘 알지 못하는 실무에 대한 내용을 다루었다면, 이번 세션에는 조금 더 소비자와 맞닿아있는 부분에서의 유통 실무의 내용을 강의에 담아주셨다.


2 음반시장과 유통


음반시장 차트.jpg


위의 차트에서 볼 수 있듯, 전통적인 음반시장과 디지털음악시장은 일본을 제외하고는 이미 그 규모면에서 역전이된지 오래다. 또한 매출 뿐 아니라 2015년 이후에는 디지털 음악의 수익이 오프라인 음반을 추월했다. 조금 재미있는 부분은 일본은 아직도 오프라인 음반시장이 조금이나마 규모면에서 디지털 시장을 앞서고 있다는 것, 그리고 우리나라의 경우가 가장 극명한 차이를 보여주고 있다는 정도이다. (일본의 음반시장에서는 AKB48이 처음 등장했을 때, 약간의 반등 추세도 있었던 것으로 기억한다.) 우리나라의 경우, 음반 시장은 이미 바닥을 찍었기 때문에 더 이상 내려갈 곳도 없어서 아이러니하게도 미래는 희망적으로 보이기도 한다. (^^;)


심희진 파트장님이 말씀해주셨던 최근 또 다른 포인트는 바로 LP시장이 성장하고 있다는 점이다. 해외에서 두드러지는 현상이고, 락 장르의 LP가 많이 판매된다고 한다. 아마도 LP로 라이브러리를 만드는 것은 경제적으로 쉽지 않은 일이니 주머니 사정이 넉넉한 중, 장년층 소비자들의 비중과 영향이 컸을 것이다. 우리나라에서도 도소매 레코드샵들이 가지고 있던 시장을 침해한다는 식의 많은 말들이 있었지만, 현대카드의 Vinyl & Plastic이 이태원에 크게 들어서면서 사람들이 LP에 관심을 가지게 되어서 시장의 파이가 커졌는지도 모를 일이다. 그리고 LP를 가지고 있으면 뭔가 힙한 느낌도 들고 그렇다. 아무튼 이 시장은 방탄소년단과 엑소에 희망의 끈을 달고 있는 음반시장과는, 달리 성장할 수 있을 것이라는 기대가 되기도 한다.


음반시장을 살펴본 이후, 다음으로는 이 음반시장에서 유통은 어떻게 이루어지는지에 대해 알아보았다.


스크린샷 2017-04-10 오전 4.13.49.png 음반유통 프로세스 (출처: 심희진님 강의자료)


기본적인 유통 프로세스는 위와 같다. 크게 어렵지 않다. 음반을 만들고, 물류센터에 보관하다가 실제로 소비자에게 판매되는 대형소매상 (교보문고 핫트랙스 등), 온라인샵, 도소매상 등으로 물량이 넘어간다. 그리고 바로 소비자가 구매할 수 있게 된다.


이러한 과정안에서 물류관리음반을 매장 내에 어디에 비치할 것인가에 대해서는 자연스레 이해관계자들간 커뮤니케이션이 필요한 부분이다. 먼저 홍보에 대해서. 구체적으로 홍보 매대 배치나 팬 사인회 등 다양한 프로모션 전략이 있고, 최근에는 오프라인보다는 온라인에서 구매하는 소비자들이 많기 때문에 이러한 변화 안에서 다양한 온라인 마케팅 전략을 구사하기도 한다. 다른 한편으로는 '신보안내서'라는 것이 있는데, 이는 앨범에 관한 여러 자료를 도소매상에게 미리 전달하고 예약판매할 수 있는 방법이라고 설명해주셨다.


재고관리도 음반 유통에서 주요한 이슈 중 하나이다. 음반사 입장에서는 적절하게 관리가 되어야만 보관비용을 줄일 수 있기 때문이고 계약 측면에서 보았을 때에도 기획사와 도,소매상이 정산을 할 때에도 실체가 있는 음반의 특성상 교환반품의 이슈 때문에 계약에 여러 특수한 조항을 넣기도 한다는 사실.


3 스트리밍 시장의 유통구조


아이튠즈.jpg
애플뮤직.png


중학생 때, 부끄럽지만 나는 빌보드 핫 100 차트를 소리바다나 P2P 사이트를 통해 다운받아서 들었다. 그 때에는 음악은 듣고 싶었는데, 다운로드 말고는 대안이 없었고 그 음원 다운로드를 할 돈은 없었다. 그런데 지금은 스트리밍하지, 다운로드하지 않는다. 2015년을 기점으로 디지털 음악 수익안에서도 스트리밍 구독 모델이 다운로드 모델을 추월했다. 통계에 따르면, 2020년(e)에는 각각 78.3%, 14.3%를 점유하며 지금보다 훨씬 큰 차이를 만들어낼 것으로 예측되었다.


우리는 스트리밍 시대에 살고 있다. 이 안에서 유통은 어떤 구조를 가지고 있을까?


스크린샷 2017-04-10 오전 4.39.44.png 국내 스트리밍 매출 분배율
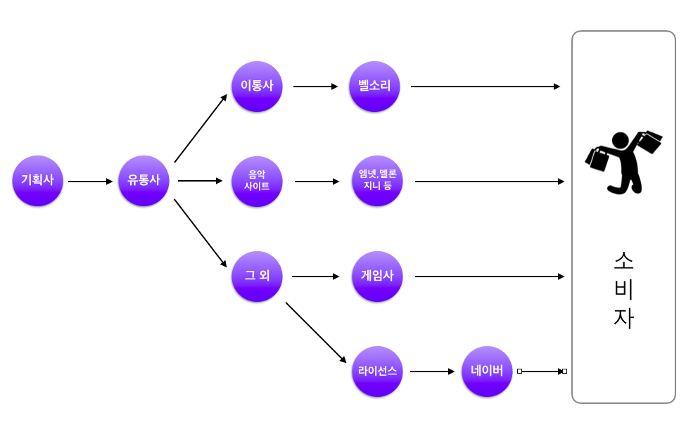
스크린샷 2017-04-10 오전 5.15.00.png 음원유통 프로세스


국내의 스트리밍 매출과 프로세스는 위와 같이 나타낼 수 있다. 간단하게 도식화해서 본다면 크게 어려운 부분없이 이해할 수 있다. 실무에서 중요한 것은 음원 권리비용을 분배하는 것이다. 즉, 다운로드나 스트리밍 횟수별로 저작권료, 실연권료, 마스터권료 등을 책정하고, 소비자가격을 설정하는 일이 바로 그것이다. 이에 대해서는 참고자료를 읽어보다보니, 과거부터 여러 말들이 많았지만, 어찌되었든 현재는 자리를 잡은 모양이다. 쉽게 말하면 (개별/묶음30/묶음100 패키지)다운로드 1회당, (스트리밍 100회/무제한 스트리밍/결합사품)스트리밍 1회당 각각의 권리자에게 최소한으로 주어지는 권리로 인한 수익을 결정해 둔 것이다. 이러한 부분에 대해 개인적으로 아직 자세히는 모르지만, 지속적으로 의견이 오고가고 있는 부분이고 조금 더 아티스트에게 좋은 방향으로 논의가 되는 방향이라고 말씀해주셨다.


그래서, 스트리밍의 유통구조와 매출구조를 가볍게 살펴보았고 이제 이 안에서 어떤 식으로 프로모션을 하는지에 대해서 살펴본다. 과거 이동통신사들이 음원 플랫폼을 소유하고 있었을 때에는 다들 첫달 무료라던지, 통신요금 상품과 결합하여 음악 스트리밍/다운로드 상품을 판매하곤 했었다. 이는 아티스트입장에서는 음원의 가치가 땅에 떨어지는 기분을 받을 수 밖에 없었겠지만, 냉정하게 통신사입장에서는 점유율 치킨게임에서 실행할 수 있는 효과적인 마케팅 전략 중 하나였다. 더불어서 최근에는 음원 플랫폼 (엠넷, 멜론, 지니, 벅스 등의 앱서비스) 의 최신 앨범 섹션이나 배너, 혹은 앨범 증정 이벤트 등으로 소비자들에게 프로모션을 하고 있다. 나도 네이버뮤직에서 클래지콰이 앨범이나 투팍 평전 같은 이벤트 상품을 받아보려고 댓글도 적고 평점도 남기고 그랬으니, 효과적이라고 해야할까? 어찌되었든, 기획사와 음원유통사 모두, 기존의 방식 뿐 아니라 다양한 채널을 통해서 프로모션을 하려고 노력하고 있다는 것을 이해했다.


그 이외에도 음원 유통과 관련하여, 과거부터 있었던 권리 침해 (음원 복제 등)와 관련된 이야기, 유통 정산이나 머천다이즈 기획 및 계약, 해외 음원 유통까지 다양한 주제에서 실무적인 이야기를 잘 풀어주셨다. 또 저작권과 라이선싱, 그리고 정산데이터를 시스템화 하고 있는 부분에 대해서도 많은 이야기를 들을 수 있었다.


4 애플뮤직과 유튜브


애플뮤직1.png
유튜브 1.png

마지막으로는 조금은 우리와 더 맞닿아 있는 애플과 유튜브 이야기로 강의 정리를 마무리하려고 한다. 아이팟이나 아이폰을 쓰는 사람들이라면 모두들 아이튠즈에 대해서 알고 있을 것이다. 아이튠즈야 말로 아마 음악시장에서 가장 큰 혁신 중에 하나로 꼽히지 않을까 생각을 한다. 스티브잡스가 미국에서 정말 많은 반대를 딛고 개별 음원을 유료로 다운로드 할 수 있게 함으로서 음악 시장에도 큰 변화의 바람이 불었다. 과거에는 아티스트의 앨범이 하나의 작품이라는 인식이 강했고, (물론 지금도 마찬가지지만) 해당 앨범을 처음부터 끝까지 듣는 경향이 있었지만, 아이튠즈의 시스템이 도입되고 나서는 그런 모습을 자주 볼 수 없게 되었다. 어떻게보면 음악 앨범이 가진 예술성의 전달이라는 측면에서는 그 의미가 옅어지게 되었지만, 음악 시장이 커지고 아티스트들이 경제적으로는 조금 더 풍족해지게 된 계기이기도 하다. 현재 디지털 음원시장 중 다운로드 시장의 중심은 바로 아이튠즈이고 국내의 케이팝 아티스트들도 이 아이튠즈를 통해 해외 팬들에게 그들의 음원의 가치를 전달하고 있다.


재미있는 것은 국내에서는 사용자들이 아이튠즈를 통해서 음원을 다운로드 받을 수 없게 되어있다는 것인데, 그 이유는 바로 가격에서 찾을 수 있다. 미국에서는 음원 1곡당 $1.29 (약 1,400원), 일본에서는 250엔으로 (약 2,270원)으로 책정되어 있는데 국내에서는 그보다 한참 낮은 가격에 음원을 다운로드할 수 있는 가격정책이 형성되어 있기 때문이다.


더불어 작년 국내에 런칭한 애플뮤직의 이야기도 하지 않을 수 없을 것 같다. 위에서 언급했듯이 최근에는 스트리밍 구독 모델이 음악 비즈니스에서 가장 큰 수익 모델이다. 많은 사람들이 알지 못하지만 심지어 사운드 클라우드 또한 스트리밍 구독 모델이 있다. 이 큰 시장에서 당연히 애플은 스포티파이와 함께 미국에서 가장 잘 나가는 애플뮤직이라는 스트리밍 서비스를 제공한다. 나는 작년에 애플 뮤직을 기다려서 지금까지 쓰고있지만, 솔직히 UI가 국내 서비스와 많이 다르고 결정적으로 음원이 정말정말 별로 없다. 애플뮤직에 음원이 없는 이유는 그들의 프로모션 정책에서 출발한다. 넷플릭스가 국내 런칭 때 실험했던 것처럼, 애플 또한 '3개월 무료사용 이후 유료전환'이라는 파격적인 프로모션을 실행했는데, 해당 3개월 사용을 할 때에 사용자가 스트리밍 하는 음원에 대해서 국내의 분배요율보다 더 적은 권리비용을 전달하려고 했기 때문이다. 그래서, 슬프게도 아직 많은 음원이 없지만... 언젠가는 애플뮤직에서도 멜론이나 엠넷처럼 많은 음원들을 만날 수 있기를 기대한다.


두번째는 유튜브. 내가 음원 빈털털이인 애플뮤직을 사용할 수 있는 이유는 바로 유튜브 덕분이다. 업무상 노트북과 떨어지지 않는 삶을 살다보니, 자연스럽게 음악을 듣고 싶을 때에는 유튜브에서 찾아 듣곤 하는데, 나 뿐만 아니라 최근에는 많은 사람들이 유튜브를 통해 음악을 듣고 있다. 유튜브는 기본적으로 세계 최대의 동영상 서비스이지만, 음악 산업에도 많은 함의를 가지고 있다. 먼저 사용자에게 사실상 무료로 음악을 들을 수 있게 해준 다는 것이 있다. 컨텐츠 업로더에게 광고 수익을 분배하고 있지만, 이를 고려하더라도 사용자들은 큰 불편함 없이 무료로 음악이나 뮤직비디오를 유튜브에서 소비할 수 있다. 그렇다면 해당 광고수익을 정확하게 정산하여 분배하는 것이 유튜브가 가진 가장 큰 과제라고 할 수 있는데 이는 Content ID를 통해 해결한다. 유튜브를 서핑하다보면 대부분이 원저작자가 아닌 업로더에 의해 공유되고 있는 영상이나 음원들이 많은데 이를 Content ID와 알고리즘으로 찾아내어 해당 광고 수익을 원 저작자에게 전달하는 방식이다. 음악은 상대적으로 찾아내기가 쉽지만, 영상의 경우에는 가끔 비율을 다르게 업로드하는 경우에는 잘 찾아내지 못한는 경우도 있다고 알고 있다. 더불어 유튜브의 공식 파트너가 되면, 컨텐츠의 원 저작자에게 이런 권리 침해 사실을 알려주고 원 저작자는 해당 컨텐츠를 1) 내리게 하거나 2) 그냥 두고 수익을 가져갈 수 있는 아주 깔끔하고 좋은 컨텐츠-권리자 매칭 시스템이 구축되어 있다. 이런 유튜브가 가진 음악 산업에 가져온 두번째 영향은 바로 음원 집계 시스템이다. 과거에는 다운로드 수, 라디오 플레이 수, 스트리밍 수 등에 초점을 맞추어 차트에 음원 순위가 집계되었다면, 현재는 유튜브도 포함되는 식이다. 이렇게 IT 기술이 발달하고, 플랫폼이 형성되면서 음악 산업의 역학도 달라진다.


심희진 강사님은 2주 동안 강의 목표인 '음악산업 근무 희망자를 위한 투자와 유통 이해 및 관련 실무사례'를 정확하게 전달해주시고 더불어 자신이 생각하는 음반 산업의 미래와 업계에서의 후배가 될 수 있는 교육생들에게 정말 해주고 싶은 말들을 남겨주셨다.



코멘트


먼저 쉽게 접할 수 없는 실무이야기로 강의의 많은 부분을 채워주신 것이 좋았다. 그리고 음원, 음반 유통 프로세스를 세세하게 이해할 수 있었다. 내가 강의를 들으면서 느낀 부분들은 다음과 같다.


첫째, 이제 사람들은 음반을 사지 않는다. CD로 들을 필요가 없게 되었고, 필요의 유무를 떠나 CD로 듣는 것이 불편한 시대가 되었다. 그럼에도 CD를 사는 이유는 몇가지가 있는데 굳이 한마디로 말하자면 아티스트에 대한 애정일 것이다. 나도 최근 2장의 음반을 구매했다. 하나는 의정부에서 열심히 음악 공부를 하고 있는 스물 한살 동생에게 들려주고 싶었던 윤영배의 3집 <위험한 세계>였고, 나머지 하나는 내가 좋아하는 김사월의 1집 <수잔> 이었다. 결국 나를 돌이켜봐도 내가 많이 듣는 음원이 음반 구매로 이어지는 것이 아니라, 의미가 있는 선물을 한다거나, 아티스트를 좋아할 때 음반으로의 구매까지 이어진다는 것을 새삼 느꼈다. 음원도 마찬가지이다. 강의를 듣고 나니, 기존에 애플뮤직을 사용하는 것에서 이제는 조금은 마케팅적인 측면에서(?) 최신 앨범이나 큐레이션을 보게 되는 시각도 생겼다.


위험한 세계.jpg
김사월 수잔.jpg


둘째, 시스템과 인사이트를 가진 이들이 시장에서 승리한다. 나는 엠넷, 멜론 등을 사용하지는 않지만 항상 참고용으로 보기 위해 가끔씩 접속해 보는 습관이 있는데 정말 서비스 업데이트에 노력을 한다는 생각을 했다. 멜론은 이제 멜론 4.0을 공표하면서 애플뮤직과 같이 For You라는 음악 큐레이션을 선보이고 있고, 엠넷 또한 조금은 다른 방식이지만, m Tune과 큐레이션 서비스를 내놓고 있다. 벅스 또한 앱 서비스 리브랜딩을 멀지 않은 과거에 한 것으로 기억을 한다. 많은 변화를 시도하고 있지만, 결국 그들 모두가 시스템을 가진 플랫폼들이다. 그리고 그 안에서도 조금씩 잘하는 분야가 있다. 예를들면, 멜론은 브랜드 경험과 기술에서 앞서간다는 느낌이 든다. 엠넷은 음악 관련 방송 컨텐츠를 잘 활용하는 느낌이고, 벅스는 디테일한 UI/UX가 훌륭하다. 이제는 음원이나 컨텐츠도 중요하겠지만, '어디서나 들을 수 있는 음악을 기반으로 어떻게 하면 더 좋은 기술을 접목시키고 더 좋은 사용자경험을 유저에게 전달할 수 있을 것인가?'가 아이러니하게도 '음악을 서비스하는' 음원 플랫폼들이 고민하고 있고 앞으로도 해야 할 부분이 아닐까.



엠넷.png
멜론.png
벅스.png



10년 전에는 64 메가바이트짜리 mp3 플레이어를 가지고 그 안에 어떻게든 많은 곡들을 넣어보려고 고민하던 시절이 있었다. 정성스레 고른 20곡 정도의 노래를 어디서든 들을 수 있다는 생각에 행복했었는데, 10년이 지난 오늘은 완전히 다른 세상에 살고 있는 느낌이다. 우리는 지금 당장의 산업에 대한 이해와 함께 3년 뒤, 5년 뒤 혹은 10년 뒤의 미래를 보며 살아가야만 하는 시대에 살고 있다. 좋아하는 것을 잘 하려면, 열심히 배워야겠다.


* 레퍼런스

미국 시장의 스트리밍 매출 추이, 2016 가온차트 김진우 수석연구위원

음원 가격 및 분배 이슈, 2015 정효원님 블로그

음원 한곡 600원 뮤지션에겐 36원. 가수로는 먹고살기 힘듭니다, 2014 YTN 라디오

The Music Industry and Online Piracy, infographic by the numbers, 2010, Randy Krum

사우스바이사우스웨스트 SXSW, 2016, 한국콘텐츠진흥원

보라쇼, 남남서로 가라, 2016, 정보라 외 2명

keyword