와덴버그 증후군(Waardenburg Syndrome)

30년만에 만난 질병

by 연쇄살충마

와덴버그 증후군의 병인론적 고찰과 다학제적 진단 및 치료 관리 체계

그림1.png

서론: 신경능선세포의 발생학적 변이와 와덴버그 증후군의 정의

와덴버그 증후군(Waardenburg Syndrome, WS)은 희귀한 유전 질환군으로서, 주로 선천적인 감각신경성 난청(Sensorineural Hearing Loss)과 눈, 피부, 머리카락의 색소 이상을 특징으로 하는 청각-색소 증후군이다.1 이 질환은 배아 발생 단계에서 신경능선세포(Neural Crest Cells, NCCs)의 분화, 증식, 이동 및 생존 과정에 관여하는 유전자들의 결함으로 인해 발생하는 대표적인 신경능선병증(Neurocristopathy)으로 분류된다.3 신경능선세포는 척추동물 배아 발달 과정에서 일시적으로 형성되는 다능성 세포군으로, 말초 신경계, 안면 골격, 그리고 색소를 생성하는 멜라닌 세포(Melanocytes) 등 다양한 조직으로 분화한다.1

300px-Waardenburg_Syndrome_Type_1_(WS1).jpg
Waardenburg_syndrome.jpg

멜라닌 세포는 단순히 외견상의 색조를 결정하는 역할에 그치지 않고, 내이의 달팽이관 내 혈관조(Stria Vascularis)에서 내림프액의 이온 농도를 조절하여 청각 기능을 유지하는 데 필수적인 기여를 한다.3 따라서 신경능선세포의 이동이나 분화가 저해되어 해당 부위에 멜라닌 세포가 결핍되면, 청각 신경의 전위 유지가 불가능해져 난청이 발생하게 된다.1 와덴버그 증후군은 이러한 발생학적 기전을 공유하며, 임상적 특징과 원인 유전자에 따라 4가지 주요 유형으로 구분된다.1


역학 및 역사적 고찰

그림2.png

와덴버그 증후군의 발생 빈도는 전 세계적으로 약 40,000명당 1명 수준으로 추정되며, 이는 선천성 난청 사례의 약 2%에서 5%를 차지하는 수치이다.2 이 질환은 1947년 D. Klein에 의해 상지 기형을 동반한 사례로 처음 학계에 보고되었으며, 이후 1951년 네덜란드의 안과의사인 Petrus Johannes Waardenburg가 홍채 이색증, 내안각 이소증, 선천성 난청을 가진 환자군을 체계적으로 기술하면서 그의 이름을 따서 명명되었다.9

초기 연구에서는 주로 안면 특징과 난청에 주목하였으나, 분자생물학의 발전과 함께 원인 유전자들이 규명되면서 단순한 외형적 변이를 넘어선 복합적인 유전적 이질성(Genetic Heterogeneity)이 밝혀졌다.12 현재는 전 세계적으로 다양한 인종과 민족에서 사례가 보고되고 있으며, 최근 연구에서는 몽골이나 중국의 유구르족과 같은 소수 민족 집단에서의 특이적 유전자 변이 양상에 대한 분석도 활발히 진행되고 있다.6


분자유전학적 병인 및 유전자 조절 네트워크

와덴버그 증후군은 고도로 복잡한 유전자 조절 네트워크의 붕괴로 인해 발생한다. 현재까지 PAX3, MITF, SOX10, EDN3, EDNRB, SNAI2 등 6개 이상의 유전자가 병인으로 규명되었으며, 이들은 서로 상호작용하며 신경능선의 발달을 제어한다.1

PAX3 유전자와 전사 조절 기전

PAX3(Paired Box 3) 유전자는 2번 염색체(2q36.1)에 위치하며, 와덴버그 증후군 1형과 3형의 주요 원인이다.1 PAX3 단백질은 신경능선세포가 분화하기 전까지 줄기세포 상태를 유지하고 적절한 시기에 이동할 수 있도록 돕는 전사 인자로 작용한다.1 만약 PAX3에 돌연변이가 발생하면 멜라닌 세포의 전구세포가 사멸하거나 이동이 조기에 중단되어 내이와 피부의 색소 결핍으로 이어진다.1 PAX3는 또한 안면 골격의 형성과 중추 신경계 발달에도 관여하기 때문에, 돌연변이 시 이분 척추(Spina Bifida)와 같은 신경관 결함이 동반되기도 한다.1

MITF 유전자와 멜라닌 세포의 분화 경로

MITF(Microphthalmia-associated Transcription Factor) 유전자는 멜라닌 세포의 발달을 조절하는 핵심 전사 인자로, 2형의 주된 원인 유전자다.1 MITF는 멜라닌 색소 합성에 관여하는 티로시나아제(Tyrosinase) 효소의 발현을 유도할 뿐만 아니라, 세포의 생존과 분열을 조절한다.1 특히 PAX3와 SOX10 단백질이 MITF 유전자의 발현을 직접적으로 활성화하는 상위 조절자로 기능하며, 이들 유전자 사이의 정교한 상호작용이 멜라닌 세포의 정상적인 발생을 보장한다.1 최근 연구에서는 MITF와 PAX3 유전자 모두에서 이중 이형 접합(Double Heterozygous) 돌연변이가 발생한 사례가 보고되었으며, 이 경우 단일 유전자 변이보다 색소 결핍 증상이 더욱 심각하게 나타나는 침투도(Penetrance)의 증가를 보였다.12

SOX10 및 엔도텔린 수용체 경로

SOX10 유전자는 4형과 일부 2형의 원인이 되며, 신경능선세포의 다능성 유지에 결정적이다.1 특히 4형은 SOX10 외에도 엔도텔린-3(EDN3) 또는 엔도텔린 수용체 B(EDNRB) 유전자의 돌연변이와 연관되어 있다.2 이 유전자들은 대장의 신경절 세포 발달에도 필수적이어서, 변이 시 와덴버그 증후군의 특징과 함께 히르슈슈프룽병(Hirschsprung Disease)이 동반되는 독특한 표현형을 형성한다.2

그림3.png


임상적 표현형과 유형별 분류

와덴버그 증후군은 임상 증상의 조합에 따라 네 가지 유형으로 분류되며, 각 유형 내에서도 가족 간 혹은 개인 간의 변이성이 매우 크다.2

그림4.png
그림6.png

1형(Type I)과 2형(Type II)의 변별 특징

1형은 내안각 이소증(Dystopia Canthorum)이 가장 뚜렷한 특징으로 나타나며, 환자의 95% 이상에서 관찰된다.8 반면 2형은 내안각 이소증이 나타나지 않는다는 점에서 1형과 구분된다.2 2형은 1형에 비해 선천성 난청의 발생 빈도가 훨씬 높으며(약 50~77%), 이는 MITF 유전자의 결함이 내이 조직 내 멜라닌 세포 소실에 더 직접적인 영향을 미치기 때문으로 분석된다.2

3형(Type III)과 4형(Type IV)의 복합 표현형

3형은 클라인-와덴버그 증후군(Klein-Waardenburg Syndrome)으로도 불리며, 1형의 안면 및 청각 특징에 상지의 근골격계 이상이 추가된 형태다.2 손가락의 굴곡 구축(Flexion Contractures)이나 수근골의 융합 등이 나타날 수 있으며, 대개 PAX3 유전자의 심각한 변이와 관련이 있다.3 4형은 샤-와덴버그 증후군(Shah-Waardenburg Syndrome)으로 명칭 되며, 장의 신경절 결손으로 인한 선천성 거대결장증이 동반되어 영아기부터 심각한 장 폐색 증상을 보인다.2

그림5.png
그림7.png

진단 기준 및 정량적 평가 기법

와덴버그 증후군의 진단은 와덴버그 컨소시엄(Waardenburg Consortium)에서 수립한 임상적 진단 기준에 의존한다. 환자가 주요 기준 2개 이상을 충족하거나, 주요 기준 1개와 부가 기준 2개 이상을 충족할 때 확진할 수 있다.4

그림8.png

주요 기준(Major Criteria) 및 부가 기준(Minor Criteria)

그림9.png

주요 기준에는 선천성 감각신경성 난청, 홍채의 색소 이상(이색 홍채 또는 부분 이색증), 머리카락의 백색화(White Forelock), 내안각 이소증, 그리고 확진된 1도 친족의 존재가 포함된다.4 부가 기준으로는 피부의 저색소 침착(백반증), 일자눈썹(Synophrys), 넓은 콧등, 콧날개의 저형성, 30세 이전의 조기 백발 등이 고려된다.4


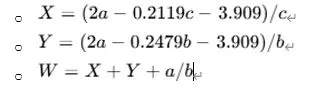
W-인덱스(W-index)의 산출과 내안각 이소증 평가

내안각 이소증의 유무를 객관적으로 판단하기 위해 W-인덱스라는 정량적 수치가 활용된다.7 이는 단순한 미간 거리 측정을 넘어, 동공 간 거리와 외안각 거리를 종합적으로 고려하여 계산한다.5 산출 공식은 다음과 같으며, W-인덱스가 1.95를 초과할 경우 1형으로 진단하는 결정적인 근거가 된다.5

필요 측정치(mm): 내안각 거리(a), 동공간 거리(b), 외안각 거리(c)

공식:


감별 진단 및 유전 상담

와덴버그 증후군은 유사한 임상 양상을 보이는 다른 유전 질환들과 감별이 필요하다. 피에발디즘(Piebaldism)은 피부와 머리카락의 저색소 침착을 보이지만 난청이 동반되지 않는다는 점에서 차이가 있다.4 티체 증후군(Tietze Syndrome)은 선천성 난청과 전신적인 피부 저색소를 특징으로 하며, 이는 MITF 유전자의 변이로 인해 발생하여 2형과 대립 유전자성 질환(Allelic Disorder) 관계에 있다.1

유전 상담은 가족 계획에 있어 매우 중요하다. 와덴버그 증후군은 대부분 상염색체 우성으로 유전되므로, 부모 중 한 명이 환자일 경우 자녀가 유전자를 물려받을 확률은 50%에 달한다.2 다만, 변이의 표현형이 다양하므로 부모의 증상이 경미하더라도 자녀에게는 중증 난청이 나타날 수 있음을 유의해야 한다.2 최근에는 산전 진단 기술이 발전하여, 가족 내 원인 유전자가 확인된 경우 태아의 유전자 상태를 조기에 확인하는 것이 가능해졌다.12


치료 및 관리 전략

현재까지 와덴버그 증후군의 원인 유전자를 직접 교정하는 치료법은 상용화되지 않았으나, 증상별 다학제적 접근을 통해 환자의 삶의 질을 크게 향상시킬 수 있다.3

그림10.png

감각신경성 난청의 재활: 인공와우 이식

청각 장애는 와덴버그 증후군 관리에서 가장 우선시되는 항목이다. 보청기로 충분한 이득을 얻지 못하는 심도 난청의 경우, 인공와우(Cochlear Implant) 이식 수술이 유일한 대안이다.6 인공와우는 손상된 달팽이관을 대신하여 청신경에 직접 전기 자극을 전달하는 장치로, 와덴버그 증후군 환자들은 대개 청신경 세포의 보존 상태가 양호하여 수술 후 언어 재활 성과가 매우 우수한 것으로 보고된다.6 서울아산병원 및 서울대학교병원 등 국내 주요 센터에서는 수술 전 MRI 및 CT 검사를 통해 해부학적 구조를 평가하고, 수술 후에는 정기적인 매핑(Mapping)과 언어 치료를 통해 환자의 청능 발달을 지원한다.9

소화기 및 외과적 관리: 히르슈슈프룽병

4형 환자의 경우, 히르슈슈프룽병으로 인한 장 폐색은 생명과 직결되는 문제다.9 신생아기에 태변 배출이 지연되거나 복부 팽만이 나타나면 즉각적인 대장 조영술 및 조직 검사가 필요하며, 신경절이 없는 장 부위를 절제하고 정상 장을 연결하는 수술적 처치가 필수적이다.17 수술 후에도 지속적인 배변 관리와 영양 지원이 필요하며, 장염 등의 합병증 발생 여부를 면밀히 모니터링해야 한다.17

안과 및 피부 보호

홍채와 망막의 색소 결핍은 광과민성(Photophobia)을 유발할 수 있으므로, 야외 활동 시 자외선 차단 선글라스 착용이 권장된다.6 또한, 피부 멜라닌 세포의 부재는 자외선에 대한 방어력을 약화시키므로 선번(Sunburn)과 피부 손상을 예방하기 위한 자외선 차단제 도포 및 노출 최소화가 중요하다.2


국내 의료 보건 정책 및 사회적 지원 체계

대한민국 정부는 와덴버그 증후군과 같은 희귀질환 환자들의 경제적 부담을 덜어주고 사회적 통합을 돕기 위해 체계적인 지원 제도를 운영하고 있다.20

희귀질환 산정특례 제도

국민건강보험공단은 와덴버그 증후군 환자에게 산정특례 제도를 적용하여, 해당 질환 및 합병증 진료 시 요양급여 본인부담률을 10%로 경감해 준다.21 이는 고액의 의료비 지출로 인한 가계의 경제적 몰락을 방지하는 핵심적인 안전망 역할을 한다.21

저소득층 의료비 지원사업

산정특례 혜택을 받더라도 저소득층 가구에게는 본인부담금 10% 또한 큰 부담이 될 수 있다. 질병관리청과 각 지방자치단체는 소득 및 재산 기준을 만족하는 환자에게 요양급여 본인부담금 전액을 추가로 지원하며, 필요에 따라 간병비(월 30만 원)와 보조기기 구입비 등을 지원한다.20

아동 발달 지원 및 교육 혜택

난청 아동의 조기 교육을 위해 국가 차원의 언어 발달 지원 바우처 사업이 시행되고 있다.27 기준 중위소득 120% 이하 가구의 만 12세 미만 아동은 월 최대 24만 원의 바우처를 통해 전문 언어 치료 서비스를 받을 수 있다.28 또한, 교육부와 특수교육지원센터를 통해 FM 송수신기와 같은 청취 보조 장비 대여 및 특수 교육 지원을 받을 수 있어 학습권 보장이 이루어진다.30


최신 연구 동향 및 미래 지향적 치료법 (2024-2025)

2024년과 2025년을 기점으로 와덴버그 증후군 연구는 인공지능(AI)을 활용한 진단 최적화와 재생 의학 기반의 치료법으로 진화하고 있다.32

NGS 및 AI 기반 정밀 진단

도쿄 대학교 연구팀 등 글로벌 연구진은 AI 기반의 유전체 매핑 시스템을 활용하여, 과거에는 원인을 알 수 없었던 와덴버그 증후군 사례에서 비부호화 영역(Non-coding Region)의 인핸서(Enhancer) 변이를 찾아내는 성과를 거두고 있다.32 이는 개별 환자의 돌연변이에 따른 정확한 예후 예측을 가능케 하여 맞춤형 관리 계획 수립에 기여한다.32

유전자 치료 및 줄기세포 재생 의학

2025년 Hearing Therapeutics Summit에서는 난청 치료를 위한 혁신적인 기술들이 소개되었다.33 OTOF 유전자 돌연변이 환아들에게 시행된 유전자 치료가 청력 회복이라는 획기적인 결과를 낸 것처럼, PAX3나 MITF와 같은 와덴버그 증후군 유전자에도 이 기술을 적용하려는 시도가 이어지고 있다.33 아울러, Rincell-1과 같은 줄기세포 치료제를 인공와우 이식과 병행하여 손상된 청신경 세포를 재생시키려는 임상 시험이 진행 중이며, 이는 난청의 완전한 치료에 한 걸음 더 다가가는 계기가 될 전망이다.33

재생 의학 연구 현황 요약 (2025)

그림11.png

결론

와덴버그 증후군은 신경능선세포의 발달 장애로 인한 복합적인 질환이지만, 현대 의학의 발전과 사회적 지원 체계를 통해 관리 가능한 질환으로 변모하고 있다.1 조기 진단과 적극적인 인공와우 이식은 난청 환아들이 정상적인 언어 발달을 이루고 사회의 일원으로 성장하는 데 결정적인 역할을 한다.6 또한, 4형 환자의 히르슈슈프룽병 관리와 같이 치명적인 동반 질환에 대한 외과적 전문 케어는 생존율 향상의 핵심이다.9

국내의 탄탄한 산정특례 및 의료비 지원 제도, 그리고 교육 복지 혜택은 환자와 가족들의 삶을 지탱하는 중요한 기반이 되고 있다.21 앞으로 유전자 편집 및 줄기세포 재생 기술이 실제 임상 현장에 적용된다면, 와덴버그 증후군은 단순한 관리의 대상을 넘어 근본적인 치료의 시대를 맞이하게 될 것이다.33 전문가들의 다학제적 협력과 국가의 지속적인 정책적 관심, 그리고 새로운 기술 혁신이 결합될 때 와덴버그 증후군 환자들의 미래는 더욱 밝아질 것이다.


참고 자료

1. Waardenburg syndrome - Wikipedia, 1월 29, 2026에 액세스, https://en.wikipedia.org/wiki/Waardenburg_syndrome

2. Waardenburg syndrome: MedlinePlus Genetics, 1월 29, 2026에 액세스, https://medlineplus.gov/genetics/condition/waardenburg-syndrome/

3. Waardenburg Syndrome - StatPearls - NCBI Bookshelf, 1월 29, 2026에 액세스, https://www.ncbi.nlm.nih.gov/books/NBK560879/

4. Waardenburg Syndrome | Clinical Genomics: Practical Applications in Adult Patient Care | AccessMedicine, 1월 29, 2026에 액세스, https://accessmedicine.mhmedical.com/content.aspx?bookid=1094§ionid=61907256

5. 153: Waardenburg Syndrome - Basicmedical Key, 1월 29, 2026에 액세스, https://basicmedicalkey.com/153-waardenburg-syndrome/

6. A novel frameshift variant of PAX3 in a Chinese Yugur family with Waardenburg syndrome type 1 - Frontiers, 1월 29, 2026에 액세스, https://www.frontiersin.org/journals/genetics/articles/10.3389/fgene.2025.1679351/full

7. Waardenburg Syndrome Type I - GeneReviews® - NCBI Bookshelf, 1월 29, 2026에 액세스, https://www.ncbi.nlm.nih.gov/books/NBK1531/

8. Waardenburg Syndrome Type 1 - PMC - NIH, 1월 29, 2026에 액세스, https://pmc.ncbi.nlm.nih.gov/articles/PMC9426065/

9. 바르덴부르크 증후군, 와덴버그 증후군(Waardenburg syndrome ..., 1월 29, 2026에 액세스, https://amcmg.amc.seoul.kr/asan/depts/amcmg/K/bbsDetail.do?menuId=3810&contentId=247274

10. 바르덴부르크 증후군(Waardenburg syndrome) | 질환백과 | 의료정보 - 서울아산병원, 1월 29, 2026에 액세스, https://www.amc.seoul.kr/asan/healthinfo/disease/diseaseDetail.do?contentId=32422

11. 동공부등을 동반한 2형 와덴버그증후군 1예, 1월 29, 2026에 액세스, https://www.jkos.org/upload/pdf/Kjo2051-10-20.pdf

12. Waardenburg Syndrome, Type 1 - Hereditary Ocular Diseases, 1월 29, 2026에 액세스, https://disorders.eyes.arizona.edu/disorders/waardenburg-syndrome-type-1

13. Mild features of partial PAX3 deletion in patients with prenatal Waardenburg syndrome: a case report and literature review, 1월 29, 2026에 액세스, https://pmc.ncbi.nlm.nih.gov/articles/PMC12549294/

14. Waardenburg Syndrome Type 4 in Mongolian Children: Genetic and ..., 1월 29, 2026에 액세스, https://pubmed.ncbi.nlm.nih.gov/40650035/

15. A novel frameshift mutation in SOX10 gene induced Waardenburg syndrome type II, 1월 29, 2026에 액세스, https://www.researchgate.net/publication/378589178_A_novel_frameshift_mutation_in_SOX10_gene_induced_Waardenburg_syndrome_type_II

16. Association of Waardenburg syndrome with a new mutation in the PAX3gene: A case report and literature review - Spandidos Publications, 1월 29, 2026에 액세스, https://www.spandidos-publications.com/10.3892/br.2025.2067/download

17. 히르슈슈프룽 병 [hirschsprung's disease] | 의학정보 | 건강정보 - 서울대학교병원, 1월 29, 2026에 액세스, https://www.snuh.org/health/nMedInfo/nView.do?medid=AA000782

18. 3형 와덴버그증후군, 1월 29, 2026에 액세스, https://kumel.medlib.dsmc.or.kr/bitstream/2015.oak/37924/1/oak-bbb-02552.pdf

19. 난청 이해하기 - 난청의 치료 - 인공와우 수술 - 분당서울대병원, 1월 29, 2026에 액세스, https://www.snubh.org/dh/main/index.do?DP_CD=NCD9&MENU_ID=005004010

20. 복지서비스 상세(중앙) - 희귀질환자 의료비 지원사업 - 복지로, 1월 29, 2026에 액세스, https://www.bokjiro.go.kr/ssis-tbu/twataa/wlfareInfo/moveTWAT52011M.do?wlfareInfoId=WLF00000864&wlfareInfoReldBztpCd=01

21. 복지정보 - 애브비, 1월 29, 2026에 액세스, https://www.abbvie.co.kr/content/dam/abbvie-dotcom/kr/documents/2023%20%ED%9D%AC%EA%B7%80%EB%82%9C%EC%B9%98%EC%84%B1%EC%A7%88%ED%99%98%20%EB%B3%B5%EC%A7%80%EC%A0%95%EB%B3%B4%EC%B1%85%EC%9E%90_FINAL.pdf

22. 희귀질환자 의료비 지원 | 보건사업 | 홈페이지, 1월 29, 2026에 액세스, https://www.gccity.go.kr/ghc/contents.do?mId=0607000000

23. '24 희귀·난치성질환환자를 위한 복지정보 - 한국애브비 사회공헌 - 사회공헌 | AbbVie, 1월 29, 2026에 액세스, https://www.abbvie.co.kr/responsibility/korea-employees/korea-employees.html

24. 한눈에 볼 수 있는 복지정보로 더 편리하고 더 건강하게! - 애브비, 1월 29, 2026에 액세스, https://www.abbvie.co.kr/content/dam/abbvie-dotcom/kr/documents/20240524.pdf

25. 희귀·중증난치질환 지원 강화방안 - KDI 경제교육, 1월 29, 2026에 액세스, https://eiec.kdi.re.kr/policy/callDownload.do?num=275641&filenum=2&dtime=20260105164025

26. 소개 < 의료비지원사업 < 지원사업 < 질병관리청 희귀질환 헬프라인, 1월 29, 2026에 액세스, https://helpline.kdca.go.kr/cdchelp/ph/ptlcontents/selectPtlConSent.do?schSno=110&menu=B0101

27. 언어발달지원사업 - 사회서비스 전자바우처, 1월 29, 2026에 액세스, https://m.socialservice.or.kr:446/info/static10.do

28. 사업별소개 > 언어발달지원사업 - 사회서비스 전자바우처, 1월 29, 2026에 액세스, https://www.socialservice.or.kr:444/user/htmlEditor/view2.do?p_sn=12

29. Increase in subsidies for developmental rehabilitation services and language development support ... - YouTube, 1월 29, 2026에 액세스, https://www.youtube.com/watch?v=FS7Y5EBsnaY

30. 청각장애학생 거점지원센터 보조공학기기 보유 목록, 1월 29, 2026에 액세스, https://ghedu.gne.go.kr/common/nttFileDownload.do?fileKey=e92893bb54abf7da29ff26d3997b3dc8

31. 보조공학기기 지원 - 특수교육지원센터, 1월 29, 2026에 액세스, https://www.jbe.go.kr/special/index.jbe?menuCd=DOM_000001703001000000

32. Waardenburg Syndrome Market Size, Trends, Growth Report 2032, 1월 29, 2026에 액세스, https://www.databridgemarketresearch.com/reports/global-waardenburg-syndrome-market

33. Reflections on the 2025 Hearing Therapeutics Summit - RNID, 1월 29, 2026에 액세스, https://rnid.org.uk/2025/11/reflections-on-the-2025-hearing-therapeutics-summit/

34. Hearing Loss Cure 2025: Gene, Stem Cell & Drug Breakthroughs | Hazelwood Hearcare, 1월 29, 2026에 액세스, https://www.hazelwoodhearcare.com/news-and-blogs/hearing-loss-cure-in-2025-whats-real-whats-coming

35. Five novel cis-regulatory deletions of SOX10 cause Waardenburg syndrome type II, 1월 29, 2026에 액세스, https://www.frontiersin.org/journals/audiology-and-otology/articles/10.3389/fauot.2024.1400991/full

36. Our Clinical Research - Rinri Therapeutics, 1월 29, 2026에 액세스, https://www.rinri-therapeutics.com/our-clinical-research/

37. Can Stem Cells Restore Hearing? A Narrative Review Exploring Regenerative Medicine for Congenital Hearing Loss - PMC - NIH, 1월 29, 2026에 액세스, https://pmc.ncbi.nlm.nih.gov/articles/PMC12647947/

keyword
매거진의 이전글신세포암(Renal Cell Carcinoma)