brunch

시각운동능력과 정보처리능력에서 바라본 사람의 성장관계

by 공삼

사람이 실수를 하는 이유는 수없이 많은 이유가 존재한다.

그중에서도 오늘은 시각운동능력과 정보처리능력 간 관계에서 살펴보고자 한다.

시각운동능력은 태어나서 감각을 가지고 젊어서 활발히 운동하다 나이가 들며 죽기 전까지 점진적으로 운동능력이 떨어진다.

그리고 정보처리능력도 유사한 패턴을 그리는 데 다소 차이가 난다.

시각운동능력은 선천적으로 발현되는 개인적인 능력이지만, 정보처리 능력은 후발적으로 학습과 개인적 특성에 따라 발달 차이가 존재한다.

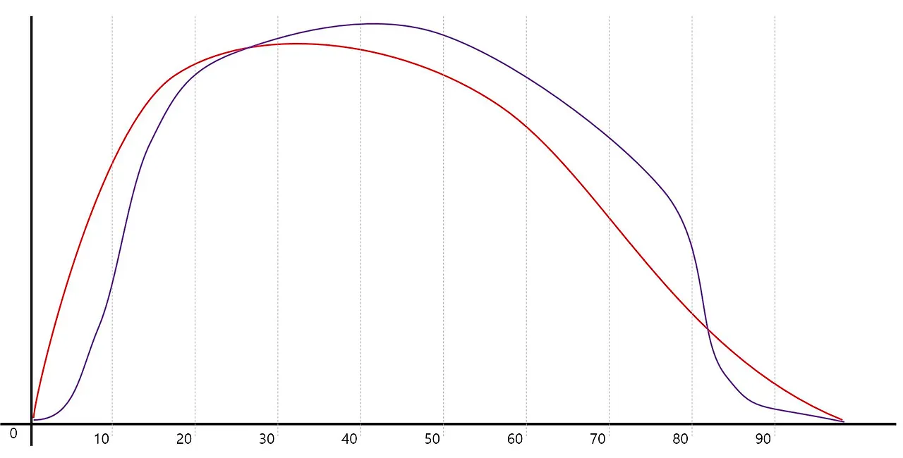
쉽게 그래프로 표현하자면 다음과 같다.



그런데 이런 질문을 하는 사람들이 있다. 왜 하필 많고 많은 여러 능력 중에서 시각운동능력인지, 그리고 왜 정보처리능력인지...

대부분의 사람은 맹인을 제외하고 시각을 통해서 인지하고 이해하고 판별하는 전 과정에 약 80% 이상을 관여한다. 즉 우리가 눈을 통해서 잘 보는 것이 주변 상황을 인지하는 데 매우 중요하다는 뜻이다. 학습에 있어서도 마찬가지이다. (여기서 학습이란, 단순히 학교 공부뿐만 아니라 살아가면서 배워야 하는 것들을 모두 포함한다.)

좋은 눈을 가졌다는 것은 시력이 좋다는 말도 되지만, 정확하게 볼 수 있는 눈을 가졌다는 말과 같다. 이에 사람의 성장에 있어서 눈이 가지는 의미가 크기 때문에 시각운동능력을 선택하였다.

그리고 정보처리능력은 당연히 성장에 직결적이다.

뭔가를 보고 이해함에 있어서 결정 내리기 전까지 정보처리능력은 매우 중요한 역할을 한다.

셈에서 논리적 판별, 심지어 설명할 수는 없지만 대상에 대한 자신만의 정보처리 능력으로 문제의 답을 찾기 때문에 인간이 태어나서 죽을 때까지 가장 핵심적인 능력이라 볼 수 있다. 심지어 눈으로 세상을 볼 수 없음에도 사람은 정보처리능력에 의지하여 세상을 살아가기 때문이다.



보는 바와 같이 둘 다 비슷한 곡선이지만 자세히 살펴보면 둘 간의 모습이 연령대에 따라 차이가 있음을 알 수 있다.

일단 시각운동능력은 역시나 젊었을 때 가장 활발하게 성장하다가 30대를 기점으로 약간 줄어들고, 이어서 40대가 되면서 약화되는 것을 알 수 있다. 다음 정보처리능력은 어렸을 때는 천천히 성장하다가 학습의 기회로 인해서 청소년기에서 40대 초반까지 경우에 따라 50대까지 급상승하다 이후 하강하는 것을 볼 수 있다.


그리고 그래프 간의 간극을 통해서 다음을 정의할 수 있다.

VMA가 IPA보다 높으면 시행착오를 일으킬 수 있는 확률이 높다고 볼 수 있으며,

반면 VMA가 IPA보다 낮으면 시행착오는 줄어들고 안정화 확률이 높아질 가능성이 높아진다는 것을 알 수 있다.

다시 말해서, 이를 풀어서 설명하면, 젊었을 때 시행착오를 많이 겪는 이유와 나이가 들어서 실수가 줄어들고 안정화되는 이유를 여기서 살펴볼 수 있다.


정보처리능력은 학습에 의해서 이해와 판단을 동원한다. 즉 공부를 잘할수록 정보처리 능력이 높아지는 비례적 관계를 가진다. 그리고 시각운동능력은 개인의 건강상태에 따라 그 곡선 또한 달라질 수 있다. 그러나 둘 간의 곡선이 동일하게 상승하거나 하강하지는 않는다. 시간적 차이가 난다.


시행착오 영역을 살펴보면 젊어서 시각운동능력이 양호한 반면, 정보처리능력 상승이 뒤늦게 이루어짐으로써 유아에서 어린이, 그리고 청소년 시기에 유독 시행착오가 많을 수밖에 없다.

그렇게 시행착오에 대한 경험과 지속적인 학습이 이루어지면서 30살 전후로 곡선이 교차되며 이후 위아래가 전복되기 시작한다. 이 시기부터 시행착오보다 일에 있어서 안정화를 누리기 시작하면서 사회적으로 필요한 인자로서 인정받게 된다.

물론 아래 곡선과 영역의 크기는 개인적 학습능력과 운동능력 그리고 성향과 유전적 특이사항으로 인해 각기 다른 모습을 가질 수 있다.



여기서 필자가 하고 싶은 말은 젊었을 때 시행착오 영역을 줄이는 방법이 향후 안정 영역을 더 빨리 더 크게 확보할 수 있음을 주장하고 싶다.


그렇다면 어떤 방법으로 시행착오 영역을 줄일 수 있을까?

우스개 소리로 가장 확실한 방법은 아예 시도를 하지 않는 방법일 것이다.


가장 좋은 방법은 함부로 행하기 전에 미리 학습과 연습을 통해 시행착오를 겪는 시간을 대체하는 것이다. 그리고 시행함에 있어서 신중을 기하고 행동에 있어서 조심성을 키운다면 시행착오 영역을 줄일 수 있다. 즉 공부 습관을 제대로 들이는 것이 해법일 수 있다. 그러면 공부습관 덕에 IPA와 VMA가 전복되는 시점도 빨리 앞당길 수 있고, 동시에 그 안정 영역 또한 크게 확보할 수 있는 가능성을 높이게 된다.


시행착오를 경험해야만 더 큰 일을 할 수 있다는 사람들의 주장도 있다. 틀린 말은 아니지만 그렇다고 반드시 옳은 말도 아니다.

시행착오를 학습으로 인지하고 배우려는 사람의 경우 아주 훌륭한 경험으로 인지하겠지만, 그렇지 않고 시행착오를 남 탓이나 또 다른 변명으로 덮으려는 사람은 그저 시행착오이지 발전적 경험으로 남지 않기 때문이다.

게다가 시행착오를 학습으로 인지하고 배우려는 것 또한 배움에 대한 습관이 형성되어야 가능하다.




아마도 아래의 그림과 같은 곡선을 기대하지 않을까 싶다.



좀 더 젊었을 때 성공하고 좀 더 나이가 들더라도 현명하게 살았으면 하는 바람.


사실 그래서 나이가 들어서도 공부를 손에서 놓으면 안 되는 법이다.

공부의 습관은 어릴 때 중요한 법이지만, 늦게 공부를 시작을 했더라도 좀 더 현명하게 살아가는 마음을 지녔다면 후천적으로 형성되는 IPA를 높이거나 유지하는 데 있어서 공부만큼 좋은 것이 없다.

만일 공부가 힘이 든다면, 명상을 통해서 또는 다른 일을 통해서 잘 모르는 것에 대해 시행하려는 것을 애초에 하지 않는 방법도 하나일 것이다.


그래서 사람의 금욕을 줄이는 방법으로
공부와 명상이 매우 훌륭한 도구가 되는 셈이다.







keyword
매거진의 이전글노력, 의지, 확신 그리고 성장