brunch

피타고라스의 정리 활용

유클리드 기하학 문제를 푸는 핵심은 피타고라스 정리를 활용하는 것입니다

by 박종하

다음 그림에서 색칠된 정사각형의 넓이는 얼마일까요?

2022-08-05 10;28;38.PNG


수학에는 많은 공식이 있는데, 그 중 가장 중요한 공식을 하나만 꼽으라고 하면 저는 피타고라스의 정리를 꼽습니다. 피타고라스의 정리는 직각삼각형의 세 변 사이에는 다음과 같은 관계가 있다는 겁니다.

2022-08-05 10;43;11.PNG

피타고라스(Pythagoras, BC 570년 ~ BC 495년)는 지금으로부터 2,500년 전에 살았던 고대 그리스 수학자입니다. 피타고라스의 정리를 적용하여 문제를 푸는 것은 2,500년 전 수준의 수학문제를 푸는 것이라고 생각할 수도 있을 것 같습니다.


강조하고 싶은 것은 피타고라스 정리가 유클리드 기하학의 문제를 해결하는 가장 강력한 도구이며 핵심이라는 사실입니다. 그래서 기하학 문제를 풀어야 할 때, 마음 속으로 “어디에 피타고라스 정리를 적용할 수 있을까?”와 같은 생각을 하는 것이 문제해결에 도움이 됩니다.



문제를 풀어보겠습니다. 우리가 알고 싶은 빨간색 정사각형의 한 변의 길이를 x라고 하면 다음과 같은 관계를 파악할 수 있습니다.

2022-08-05 10;50;03.PNG

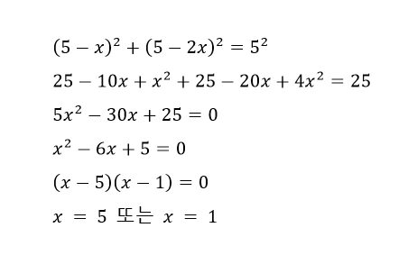
각각의 변의 길이가 5, 5-2x, 5-x 인 직각삼각형에 피타고라스의 정리를 적용하면 x의 값을 구할 수 있습니다.

2022-08-05 10;52;14.PNG

색칠된 정사각형의 한 변의 길이 x는 원의 반지름보다 작아야 하므로 x = 1이고 색칠된 정사각형의 넓이는 1×1 = 1 입니다.




12명의 수학들을 통하여 수학의 역사를 이해하는 흥미롭고 재미있는 책을 소개합니다

미치도록 기발한 수학 천재들 - YES24 - http://m.yes24.com/Goods/Detail/110845106



박종하

mathian@daum.net



keyword
매거진의 이전글지식 NO 아이디어 YES 3