brunch

피타고라스의 정리를 적용하라

"어디에 피타고라스의 정리를 적용할까?" 고민하는 것이 핵심입니다

by 박종하

[문제] 다음 그림에서 선분 BD의 길이 x는 얼마일까요?

2022-08-08 10;48;08.PNG


유클리드 기하학 문제에서는 “피타고라스의 정리를 어디에 적용할까?”에 대한 고민을 하는 것이 문제 해결의 열쇠가 됩니다. 이 문제는 이등변 삼각형이 주어졌는데요, 꼭짓점 C의 각을 이등분하는 선을 AB에 그으면 이선은 AB을 수직 이등분합니다. 따라서 다음과 같은 그림을 생각할 수 있습니다.

2022-08-08 10;50;20.PNG


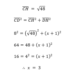
피타고라스의 정리를 적용하면 CH의 값을 계산할 수 있고, 이것을 활용하여 또 한 번의 피타고라스의 정리를 적용하면 다음과 같은 식을 세워 우리가 원하는 x의 값을 계산할 수 있습니다.

2022-08-08 10;52;00.PNG

12명의 수학자들을 통하여 수학의 역사를 이해하는 흥미롭고 재미있는 책을 소개합니다

미치도록 기발한 수학 천재들 - YES24 - http://m.yes24.com/Goods/Detail/110845106



박종하

mathian@daum.net




keyword
매거진의 이전글피타고라스의 정리 활용