brunch

피타고라스! 피타고라스!!

피타고라스 정리가 만능열쇠입니다

by 박종하

[문제] 다음과 같이 주어진 원의 반지름을 구하세요?

2022-08-09 11;15;34.PNG


원의 반지름을 구하는 문제를 풀기 위해서는 원의 반지름이 들어있는 식을 생각해야 합니다. 수학 문제는 자신이 알고 싶은 미지의 값을 x라고 놓고 그 x가 들어있는 관계식을 찾고 그 식을 푸는 것입니다.


강조했듯이 유클리드 기하학 문제의 핵심은 피타고라스의 정리를 활용하는 것입니다. 따라서, 우리가 알고 싶은 미지수 x가 들어있는 피타고라스 정리가 적용되는 식을 찾는 것이 일반적인 접근입니다.


피타고라스 정리는 직각삼각형에 관련된 정리입니다. 따라서, 미지수 x가 들어있는 직각삼각형을 찾는 것이 문제 해결의 핵심 포인트입니다. 다음과 같은 직각삼각형을 생각할 수 있습니다. 우리가 구하는 값이 원의 반지름이기 때문에 일반적인 변수 x보다는 반지름을 의미하는 r로 표현하겠습니다.

2022-08-09 11;21;30.PNG

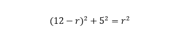
피타고라스의 정리에 의해 길이가 (5, 12-r, r)인 직각삼각형은 다음과 같은 관계식을 만족합니다.

2022-08-09 11;26;55.PNG

이 식을 계산하면 다음과 같이 r의 값을 얻을 수 있습니다.

2022-08-09 11;27;47.PNG

즉 반지름 r = 169/24입니다.



12명의 수학자들을 통하여 수학의 역사를 이해하는 흥미롭고 재미있는 책을 소개합니다

미치도록 기발한 수학 천재들 - YES24 - http://m.yes24.com/Goods/Detail/110845106



박종하

mathian@daum.net




keyword
매거진의 이전글피타고라스의 정리를 적용하라