brunch

암기 NO 이해 YES

결과만을 단순 암기하기보다 과정을 이해하는 것이 중요함을 경험하는...

by 박종하

결과를 단순 암기하는 것보다 과정을 이해하는 것이 문제 해결에서는 중요합니다. 과정을 이해하는 것이 중요하다는 것을 문제를 통하여 경험해보겠습니다. 먼저 다음 문제를 한번 풀어보시죠.


[문제] 직각삼각형의 빗변을 한 변으로 해서 다음 그림과 같이 정사각형을 그렸습니다. 색칠된 부분의 넓이는 얼마일까요?

2022-08-16 11;04;25.PNG


문제를 풀어보겠습니다.

정사각형을 주어진 변들을 대각선으로 하는 직사각형 4개를 그리면 다음 그림처럼 2개씩 넓이가 같은 8개의 부분으로 나눠집니다. 우리가 구해야 될 색칠된 부분의 넓이는 b+c입니다.

2022-08-16 11;07;59.PNG

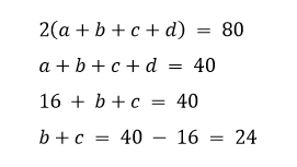
정사각형 전체의 넓이는 두 가지로 나타낼 수 있습니다. 2a+2b+2c+2d=2(a+b+c+d)라고 쓸 수 있고, 한 변의 길이가 x이니 x의 제곱이라고 쓸 수도 있습니다. 직사각형의 절반에 해당하는 a+d = 1/2 ×4 × 8 = 16라는 걸 알 수 있습니다. 직사각형의 대각선 x의 길이는 피타고라스의 정리를 이용해서 다음 식으로 구할 수 있습니다.

2022-08-16 11;12;22.PNG

따라서, 다음과 같이 b+c의 값을 계산할 수 있습니다.

2022-08-16 11;13;40.PNG

우리가 구하는 색칠된 부분의 넓이는 24입니다.




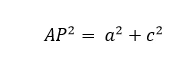
다음과 같은 공식이 있습니다. 사각형 ABCD의 내부에 있는 점 P에 점 ABCD에서 선을 그으면 4개의 선분 사이에는 다음과 같은 관계가 성립한다는 것입니다.

2022-08-16 11;21;32.PNG

이 공식은 우리가 지금 풀었던 문제와 전혀 상관이 없는 공식처럼 보입니다. 그래서 이 공식을 외우고 있다고 해서 지금 풀었던 문제에 공식을 적용할 수는 없을 것 같습니다. 그런데 이 공식의 유도 과정을 한번 살펴보겠습니다. 이 공식은 다음과 같은 과정을 거쳐서 만들어진 것입니다.


주어진 사각형 ABCD를 내부의 점 P을 기점으로 수직선과 수평선을 그어서 4개의 부분으로 나누면 다음과 같이 나눌 수 있습니다.

2022-08-16 11;30;27.PNG

새로 생긴 직각삼각형에 피타고라스의 정리를 적용하면 AP는 다음과 같이 쓸 수 있습니다.

2022-08-16 11;34;19.PNG

마찬가지로 PD, CP, PB의 길이를 파타고라스의 정리로 표시해보면 다음과 같이 표시할 수 있습니다.

2022-08-16 11;37;13.PNG

따라서 다음과 같은 결론을 얻을 수 있습니다.

2022-08-16 11;39;07.PNG


앞에서 풀었던 문제의 아이디어는 주어진 정사각형을 수직선과 수평선을 그어서 a b c d 4개의 영역으로 나누어 생각하는 것에서 출발합니다. 이 아이디어는 지금 소개한 공식의 증명에 사용되는 아이디어입니다. 이렇게 수학 공식이 직접적으로 적용되지는 않아도 공식의 증명에 사용되는 아이디어가 문제 해결에 직접적으로 적용되는 경우가 많습니다. 그래서 수학 공식을 단편적으로 암기하는 것만으로는 좋은 성적을 올릴 수 없는 것입니다. 어떤 결과보다는 과정에 있는 아이디어가 문제 풀이에 활용되기 때문이죠.




12명의 수학자들을 통하여 수학의 역사를 이해하는 흥미롭고 재미있는 책을 소개합니다

미치도록 기발한 수학 천재들 - YES24 - http://m.yes24.com/Goods/Detail/110845106



박종하

mathian@daum.net




keyword
매거진의 이전글대표적인 유클리드 기하학 문제