brunch

결과 암기 No, 과정 이해 YES

수학 공식을 외우는 것보다 공식이 유도되는 과정을 이해하는 것이 중요..

by 박종하

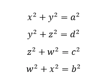
문제에 다음과 같이 x, y, z, w을 표시해보면 4개의 직각 사각형에 피타고라스 정리를 생각할 수 있습니다.

수학의 공식은 문제를 쉽게 풀 수 있게 합니다. 하지만, 공식만 외우는 것보다는 그 공식이 어떻게 만들어졌는지 과정을 이해하는 것이 중요합니다. 왜냐하면 일반적인 문제는 공식을 "딱!" 적용하는 형태로 주어지지 않기 때문이죠. 공식이 만들어지는 과정에 사용되었던 아이디어가 문제 풀이에는 대부분 적용됩니다. 그래서 결과인 공식만 암기하는 것은 좋은 공부 방법이 아닙니다. 문제를 풀어보면서 더 생각해보겠습니다.


[문제] 다음 길이를 구하세요?

2022-08-17 09;37;31.PNG


단순하게 주어진 문제입니다. 문제를 풀어보겠습니다. 문제에 다음과 같이 x, y, z, w을 표시해보면 4개의 직각 사각형에 피타고라스 정리를 적용하는 것을 생각할 수 있습니다.

2022-08-17 09;41;04.PNG

피타고라스의 정리를 적용하면 다음과 같은 식을 얻을 수 있습니다.

2022-08-17 09;42;35.PNG

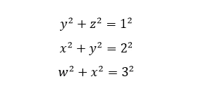
이렇게 주어진 조건을 이용하여 다음 값을 구하라는 것이 문제입니다.

2022-08-17 09;45;21.PNG

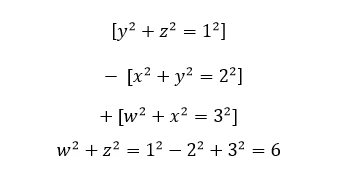
이 값을 계산하기 위해 관계식을 다음과 같이 써볼 수 있습니다.

2022-08-17 09;50;12.PNG

따라서 주어진 문제의 답은 6입니다.



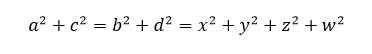
이런 공식을 생각할 수 있습니다. 다음과 같이 사각형이 주어졌을 때 4개의 변 a, b, c, d는 다음과 같은 관계를 갖습니다.

2022-08-17 09;54;14.PNG

이 공식을 생각하면 오늘 소개한 문제는 즉각적으로 답을 낼 수 있습니다. 하지만, 이런 공식을 외워서 답을 내는 것은 좋은 방법이 아닙니다. 이런 공식을 오래 기억하기도 어렵고 기억한다고 해도 지금처럼 즉각적으로 적용하는 형태로 문제가 주어지지도 않기 때문입니다. 어떤 선생님들은 이런 공식을 자신만이 아는 '비법'인양 소개하면서 자신에게 배우는 학생은 아주 운이 좋은 학생이라고 말하기도 하지만, 그렇게 공식만 외우게 하는 비법을 가르치는 선생님은 좋은 선생님이 아닙니다. 학생들의 성적을 올려줄 수 있는 선생님이 아닌 거죠. 약간은 지루할 수 있어도 과정을 하나하나 밟으면서 이해하고 적용할 수 있게 하는 선생님이 좋은 선생님인 겁니다. 지금 소개한 공식은 이렇게 이해할 수 있습니다.



먼저 주어진 사각형의 대각선에 다음과 같이 x, y, z, w라고 쓰면서 4개의 직각삼각형을 생각해보면 여기에 피타고라스의 정리를 적용하는 것을 생각할 수 있습니다.


2022-08-17 10;05;02.PNG

피타고라스의 정리를 적용해보면 다음과 같은 식을 얻을 수 있습니다

2022-08-17 10;06;27.PNG

이런 관계에서 다음과 같은 결론을 얻을 수 있습니다.

2022-08-17 10;08;09.PNG

수학 공식은 결론을 외우는 것이 아니라, 그런 공식이 만들어진 과정을 이해하는 것이 더 중요합니다. 물론 많이 사용되고 자주 이용하는 공식은 기억해야 합니다. 자주 써보면서 기억해야 합니다. 공식을 사용해보지도 않고 과정을 이해하지도 못하면서 결론만 외우는 것이 최악의 공부법입니다.



12명의 수학자들을 통하여 수학의 역사를 이해하는 흥미롭고 재미있는 책을 소개합니다

미치도록 기발한 수학 천재들 - YES24 - http://m.yes24.com/Goods/Detail/110845106



박종하

mathian@daum.net




keyword
매거진의 이전글암기 NO 이해 YES