brunch

피타고라스 정리에 필요한 계산

피타고라스 정리를 적용할 때에는 제곱에 대한 계산이 필요합니다

by 박종하

피타고라스 정리는 다음과 같이 직각삼각형의 세 변의 관계를 나타내는 것입니다.

2022-08-17 11;17;32.PNG

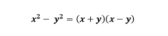
보시는 것처럼 세 변의 관계가 제곱으로 표시됩니다. 따라서 피타고라스의 정리를 적용하여 문제를 풀다 보면 제곱에 관한 계산을 하게 됩니다. 관련된 계산을 할 때에는 다음 곱셈 공식을 기억해야 합니다.

2022-08-17 11;21;38.PNG

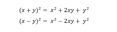
이 공식은 곱셈의 구구단처럼 계속 쓰이기 때문에 중학교 학생들에게는 구구단처럼 기억해야 하는 공식입니다. 문제를 풀면서 확인해보겠습니다.



[문제] 다음 그림처럼 사분원 안에 직사각형이 접해 있을 때, 색칠된 직사각형의 넓이는 얼마일까요?

2022-08-17 11;23;41.PNG


문제를 풀어보겠습니다. 사분원의 반지름을 r이라고 하면, 직사각형의 대각선을 빗변으로 하는 직각삼각형을 생각할 수 있습니다. 직각삼각형의 세 변을 r을 이용해 다음 그림처럼 나타낼 수 있습니다.

2022-08-17 11;25;58.PNG

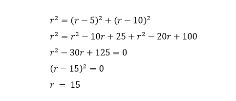
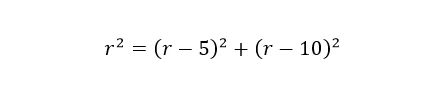
직각삼각형 ABC의 세 변 사이의 관계에 피타고라스의 정리를 적용하면 다음과 같습니다.

2022-08-17 11;27;02.PNG

이것을 풀면 다음과 같이 반지름 r을 계산할 수 있습니다. 다음과 같이 계산할 수 있습니다.

2022-08-17 11;29;52.PNG

사분원의 반지름이 15라는 것을 알아냈고 이에 따라 직사각형의 가로는 10, 세로는 5가 됨을 알 수 있습니다. 따라서, 색칠된 직사각형의 넓이는 10 × 5 = 50입니다.



피타고라스의 정리를 적용해 문제를 풀다 보면 2차 방정식을 계산하게 되는데요, 2차 방정식이 익숙하지 않은 사람은 2차 방정식을 연습해야 합니다. 그래야 문제의 답을 끝까지 계산할 수 있습니다. 2차 방정식은 어렵고 복잡한 것이 아닙니다. 앞에서 제시한 식을 직접 계산해보면서 기억하시면 됩니다. 한번 더 써보겠습니다

2022-08-17 11;21;38.PNG

왼쪽의 식을 오른쪽처럼 펼쳐서 쓰는 것은 어렵지 않습니다. 하지만, 반대로 오른쪽에 펼쳐져 있는 식을 왼쪽의 식으로 정리하는 것은 쉽지 않습니다. 곱셈 공식과 인수분해에 관한 연습이 필요합니다.


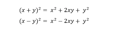
추가로 하나 더 기억하면 좋은 2차 방정식을 소개합니다.

2022-08-17 11;34;20.PNG

이 관계는 직접 계산을 하여 확인해 보시고, 몇 번 반복해서 써서 기억하고 활용하면 좋습니다. 앞에서 이야기한 것처럼 초등학생들의 구구단을 기억하고 계산에 활용하는 것처럼 중학생 이상의 수학에서는 항상 사용되는 수식입니다.



12명의 수학자들을 통하여 수학의 역사를 이해하는 흥미롭고 재미있는 책을 소개합니다

미치도록 기발한 수학 천재들 - YES24 - http://m.yes24.com/Goods/Detail/110845106



박종하

mathian@daum.net




keyword
매거진의 이전글결과 암기 No, 과정 이해 YES