brunch

피타고라스 정리에 필요한 계산 2

피타고라스 정리를 적용할 때 활용하는 계산을 살펴보겠습니다

by 박종하

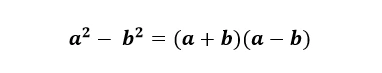
피타고라스의 정리를 적용하다 보면 2차 방정식에 대한 계산을 하게 되는데요, 주요하게 많이 활용되는 곱셈 공식 하나를 살펴보겠습니다. 다음과 같은 공식입니다.

2022-08-17 11;45;02.PNG

계산 과정에서 많이 사용되는 공식입니다. 왼쪽 식을 전계해서 오른쪽 식이 나온다는 것을 확인하시고 곱셈의 구구단처럼 기억하여 적용하시면 좋습니다. 문제를 통하여 내용을 이해해보겠습니다.



[문제] 다음 직각삼각형에서 나머지 한 변의 길이는 얼마일까요?


2022-08-17 11;48;10.PNG


구하는 변의 길이를 x라고 하면, 피타고라스의 정리에 의해 다음 식을 생각할 수 있습니다.

2022-08-17 11;49;22.PNG

이 문제의 출제의도는 이 계산을 해보라는 것입니다. 너무 큰 숫자들이 등장하고 더구나 제곱의 형태이기 때문에 막무가내로 그냥 계산하기에는 난감한 상황입니다. 이 계산을 하기 위해서는 앞에서 소개한 곱셈 공식을 활용해야 합니다. 곱셈 공식을 한번 더 써보겠습니다.


2022-08-17 11;45;02.PNG

이 곱셈 공식을 우리의 문제에 적용해보면 다음과 같이 쓸 수 있습니다.

2022-08-17 11;54;57.PNG

여기에서 숫자에 대한 센스를 발휘해보면 5353과 2828은 같은 패턴인 것을 볼 수 있습니다. 이 둘은 101에 53과 28이 곱해진 형태인 것입니다. 즉, 5353 = 53 ×101, 2828 = 28 ×101인 겁니다. 이것을 적용하면 앞의 계산은 다음처럼 쓸 수 있습니다.


2022-08-17 12;01;18.PNG

그러므로 우리가 구하는 변의 길이 x는 4545입니다



12명의 수학자들을 통하여 수학의 역사를 이해하는 흥미롭고 재미있는 책을 소개합니다

미치도록 기발한 수학 천재들 - YES24 - http://m.yes24.com/Goods/Detail/110845106



박종하

mathian@daum.net




keyword
매거진의 이전글피타고라스 정리에 필요한 계산