brunch

피타고라스 수 찾기

피타고라스 정리를 만족하는 3개의 수들을 찾아라

by 박종하

피타고라스의 정리를 만족하는 가장 단순한 정수는 (3, 4, 5)입니다. 다음과 같은 관계를 갖죠.

2022-08-17 12;21;06.PNG

그럼 피타고라스의 정리를 만족하는 또 다른 정수는 어떤 수가 있을까요? 또 하나 알려진 3개의 수는 (5, 12, 13)입니다. 이 수들은 다음과 같은 관계를 갖기 때문에 직각삼각형의 3 변을 이룹니다.

2022-08-17 12;23;44.PNG

그럼 이런 관계를 만족하는 수를 어떻게 찾을 수 있을까요? 다음과 같은 관계를 만족시키는 정수 (a, b, c)을 어떻게 찾을 수 있을까요?

2022-08-17 12;26;28.PNG


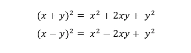
피타고라스의 정리를 만족시키는 정수를 찾는 가장 단순한 방법은 2차식에 관한 곱셈 공식을 활용하는 것입니다. 피타고라스의 정리를 적용할 때 발생하는 계산을 하기 위해 다음과 같은 곱셈 공식을 소개했었습니다.

2022-08-17 12;29;13.PNG

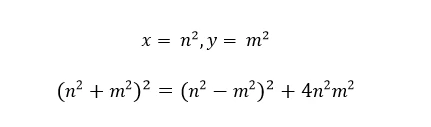
이 2개의 식에서 우리는 다음과 같은 관계를 파악할 수 있습니다.

2022-08-17 12;31;28.PNG

이렇게 주어진 x, y에 정수 n, m의 제곱을 대입하면 다음과 같은 식을 얻을 수 있습니다.

2022-08-17 12;37;39.PNG

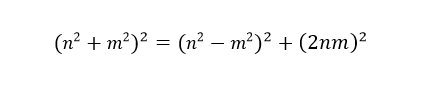
이것을 정리하여 쓰면 다음과 같이 쓸 수 있습니다.

2022-08-17 12;38;25.PNG

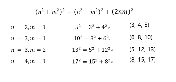
이제 n, m에 정수를 대입하는 것으로 우리는 피타고라스 정리를 만족하는 정수들을 찾을 수 있습니다. 몇 개의 수를 찾아보면 다음과 같습니다.


2022-08-17 12;53;57.PNG

12명의 수학자들을 통하여 수학의 역사를 이해하는 흥미롭고 재미있는 책을 소개합니다

미치도록 기발한 수학 천재들 - YES24 - http://m.yes24.com/Goods/Detail/110845106



박종하

mathian@daum.net




keyword
매거진의 이전글피타고라스 정리에 필요한 계산 2