brunch

원이 있는 기하학 문제

원이 있는 기하학 문제입니다

by 박종하

[문제] 직각삼각형 ABC가 다음과 같이 길이가 주어졌을 때, 반원의 반지름은 얼마일까요?

2022-11-11 11;57;19.PNG


원에 대해 우리가 알아야 할 중요한 성질 중 하나는 원과 직선은 수직으로 접한다는 사실입니다. 다음 그림을 기억하시면 좋습니다. 직각 표시를 확인하세요.

2022-11-11 11;57;57.PNG


반원의 중심 O와 AB 위의 접점 D를 이으면 AB와 수직을 이룹니다. 삼각형 ABC가 직각 이등변 삼각형이고, 삼각형 AOD도 직각 이등변 삼각형입니다. OD와 AD의 길이는 반지름 r이고, 빗변인 AO의 길이는 루트2 r 입니다

2022-11-11 12;00;07.PNG

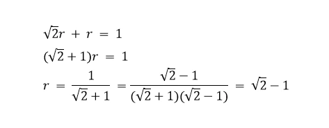
AC = 1이므로 다음과 같은 식을 얻을 수 있습니다.

2022-11-11 12;00;46.PNG



12명의 수학자들을 통하여 수학의 역사를 이해하는 흥미롭고 재미있는 책을 소개합니다

미치도록 기발한 수학 천재들 - YES24 - http://m.yes24.com/Goods/Detail/110845106



박종하

mathian@daum.net



keyword
매거진의 이전글원에 관련된 핵심을 알려주는 문제