원에 관련된 핵심을 알려주는 문제

이 문제를 제대로 풀면 원에 관련된 많은 문제를 풀 수 있습니다

by 박종하

[문제] 반지름이 1인 원이 다음과 같이 직각삼각형 ABC에 내접해있습니다. 다음과 같이 BC의 길이가 4로 주어졌을 때 AB와 AC의 길이는 얼마일까요?

2022-11-09 10;57;43.PNG


이 문제를 제대로 이해하고 풀 수 있다면 원에 관련된 많은 문제들을 풀 수 있습니다. 여기에서 생각해야 할 것은 원과 직선의 관계입니다. 원과 직선이 접할 때에는 다음과 같은 두 가지 성질을 기억해야 합니다.


1. 원과 직선이 접하는 점에서는 90도로 접합니다. 원의 중심에서 만나는 점까지 선을 그으면 직선과 90도를 이룬다는 겁니다.

2022-11-09 10;59;21.PNG

2. 한 점에서 원에 접하는 두 점까지의 거리는 같습니다

2022-11-09 11;00;04.PNG

이 두 가지 사실을 기억하는 것으로 원에 관련된 많은 문제들이 해결됩니다. 원에 관련된 문제에서 “이 두 가지 사실을 어떻게 적용할 것인가?”을 고민하는 것만으로 문제가 해결되곤 합니다.



이제 주어진 문제를 풀어보겠습니다. 먼저 원과 직선이 접할 때에는 90°로 접한다는 사실과 삼각형의 꼭짓점에서 원까지의 거리가 같다는 것을 적용하면 다음과 같이 길이를 생각할 수 있습니다.

2022-11-09 11;01;09.PNG

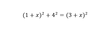
이렇게 길이를 나눠서 써보면 이제 x의 값만 구하면 삼각형 ABC의 각 변의 길이를 모두 구할 수 있는 겁니다. x의 값은 삼각형 ABC가 직각삼각형이므로 피타고라스 정리를 적용하면 구할 수 있습니다. 다음과 같은 식을 생각할 수 있는 것이죠.

2022-11-09 11;02;03.PNG

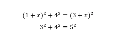
이제 2차 방정식을 풀어서 x의 값을 구하면 우리가 찾는 AB의 값은 (1+x), AC의 값은 (3+x)인 것인데요, 방정식을 풀어도 좋고 방정식을 풀기 전에 한번 눈으로 볼까요? 눈으로 보면 다음과 같이 주어진 방정식의 x에 x = 2를 대입하면 우리가 알고 있는 길이가 (3, 4, 5)인 직각삼각형이 된다는 것을 알 수 있습니다.

2022-11-09 11;02;41.PNG

따라서 AB의 길이는 3이고, AC의 길이는 5입니다.




12명의 수학자들을 통하여 수학의 역사를 이해하는 흥미롭고 재미있는 책을 소개합니다

미치도록 기발한 수학 천재들 - YES24 - http://m.yes24.com/Goods/Detail/110845106



박종하

mathian@daum.net



keyword
매거진의 이전글계산하기와 그림 그리기