brunch

계산하기와 그림 그리기

문제에 접근하는 두 가지 방법, 계산과 그림

by 박종하

[문제] 정사각형과 직각삼각형이 연결된 도형이 있습니다. 다음과 같은 조건이 주어졌을 때, 이 도형의 넓이는 얼마일까요?

2022-11-08 11;19;09.PNG


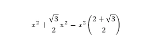
이 문제를 계산하기와 그림 그리기 두 가지 방법으로 접근해보겠습니다. 먼저 계산하기로 접근하면 다음과 같이 정사각형 부분의 한 변을 x라고 놓고 생각할 수 있습니다. 그럼, 한 각이 30°인 직각삼각형의 변의 비율로 다음과 같은 정보를 얻을 수 있죠.

2022-11-08 11;21;06.PNG

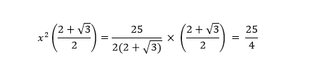
문제의 조건으로 우리는 다음과 같이 x의 값을 계산할 수 있습니다.

2022-11-08 11;21;59.PNG

주어진 도형의 넓이는 다음과 같이 계산됩니다.

2022-11-08 11;22;44.PNG

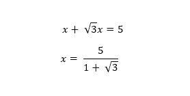
x의 제곱은 다음과 같이 계산할 수 있습니다.

2022-11-08 11;23;54.PNG

따라서 주어진 도형의 넓이는 다음과 같습니다.

2022-11-08 11;24;36.PNG


이번에는 계산하기보다 그림 그리기로 이 문제에 접근해보겠습니다. 주어진 도형을 보면서 우리는 직각삼각형을 복사하고 회전시키면서 붙여서 다음과 같은 그림을 생각할 수 있습니다.

2022-11-08 11;25;32.PNG

이렇게 새로운 부분을 그리고 생각해보면 새롭게 그려진 큰 정사각형의 한 변의 길이는 5입니다. 각이 30° 60°인 직각삼각형의 길이의 비가 1: 2이므로 큰 정사각형에서 4개의 직각삼각형으로 둘러싸인 가운데 정사각형은 문제에서 주어진 정사각형의 4배라는 사실을 알 수 있습니다.

2022-11-08 11;26;13.PNG

상황을 정리해보면, 우리가 새롭게 그린 큰 정사각형은 우리가 구하려고 하는 도형과 같은 크기의 도형이 4개 있는 것입니다. 한 변의 길이가 5인 정사각형의 넓이는 25입니다. 따라서 우리가 구하고자 하는 도형의 넓이는 25/4인 것입니다.



계산하기와 그림 그리기 중 여러분은 어떤 것이 익숙한가요? 저는 두 가지 방법을 모두 잘 사용해야 한다고 생각합니다. 나에게 더 익숙한 방법이 분명 있겠지만, 두 가지 방법을 모두 사용하는 것이 문제 해결에 유리한 것입니다. 축구 선수가 오른발 왼발을 모두 잘 사용하는 것이 필요한 것처럼요.


계산하기에 익숙한 분이 저에게 그러더군요. “그런데, 그림 그리기로 접근하려면 그림을 그려야 하는데, 그런 상상은 머리가 좋은 사람만 하는 거 아닌가요?” 저는 꼭 그렇지 않다고 생각합니다. 그렇게 생각하시는 분은 그림 그리기로 문제에 접근했던 경험이 없었던 것뿐입니다. 직각삼각형을 외각에 이어 붙이며 정사각형을 만드는 것은 피타고라스의 정리를 증명할 때도 사용되는 많이 경험하는 아이디어입니다. 머리가 좋은 사람만이 그림을 상상하는 것이 아니라, 그렇게 문제에 접근했던 경험이 쌓인 사람이 더 쉽게 하는 것이겠죠. 내가 잘하는 것이 아니어도 재미있게 경험하며 익숙해지시기 바랍니다.




12명의 수학자들을 통하여 수학의 역사를 이해하는 흥미롭고 재미있는 책을 소개합니다

미치도록 기발한 수학 천재들 - YES24 - http://m.yes24.com/Goods/Detail/110845106



박종하

mathian@daum.net



keyword
매거진의 이전글논리와 직관