brunch

비만 주사제 삭센다, 효과는 기대이하일 가능성 높다

삭센다 주사 효과는 어느 정도일까?

by 약사엄마


많은 여성들에게 다이어트는 오래된 숙원이자, 해결되지 않는 난제 중 하나입니다. 가끔 우스개소리로 하는 이야기지만 "다이어트는 성공하기 힘들기 때문에 계속 약이 나오고, 청소가 완벽하게 되는 건 불가능하기 때문에 청소기가 계속 나오는 것이다" 라는 말을 그냥 지나치기 어렵습니다.

그래서일까요? <삭센다>라는 주사제가 나왔을 떄 정말 많은 사람들이 환호했고, 지금은 삭센다가 비만 클리닉의 No.1 처방 약제가 되어 가는 것 같습니다. 심지어 이 약을 구하기 위해, 보다 저렴한 병원을 찾기 위해 유랑하는 사람들도 생겨났고요.

덤핑으로 판매하고 있는 병의원도 있다고 하니, 그만큼 다이어트를 향한 열망이 얼마나 큰지 짐작도 되지 않습니다. 중간에 품절 사태도 있었죠.



삭센다_비만치료제효과에대한의심_약사엄마의건강이야기.png
당뇨병 치료제로 개발되었던 삭센다 Liraglutide


삭센다는 본래 당뇨병 치료제로 개발되던 약입니다. 우리 몸, 특히 장에 존재하는 L-Cell에서는 GLP-1 (glucagon-like peptide-1)이 분비되는데요. 이것은 음식 섭취하면 반응을 합니다.

GLP-1이 분비되면,혈당 수치를 내려주는 인슐린insulin이 나오고, 글루카곤glucagon 분비가 감소합니다. 더불어 GLP-1은 위장관 운동성을 느리게 하고, 포만감을 주어 음식 섭취를 감소시키는 역할을 합니다.

즉, 이러한 GLP-1의 작용은 다이어트를 하는 사람들에게 있어 꼭 있으면 하는 작용들이죠.


혈당은 안 올라가고, 식욕이 떨어지는 효과의 삭센다


이에 GLP-1 처럼 작용하는 약제에 대한 관심이 뜨거워졌습니다. 이미 시장에서 바이에타펜, 트루리시티펜이 이미 당뇨병 치료제로 시장에서 사용이 되고 있습니다. 물론 이들의 체중 감소 효과 역시 회자되는 부분입니다.

그런데 삭센다 역시 GLP-1 처럼 작용합니다. 바이에타펜이나 트루리시티펜 처럼 당뇨병 치료에 대한 임상시험을 했습니다. 그런데 삭센다 판권을 가지고 있는 노보노디스크에서는 체중 감소에 대해 상당히 집중적으로 통계 분석을 수행하고, 이를 논문에 발표합니다.

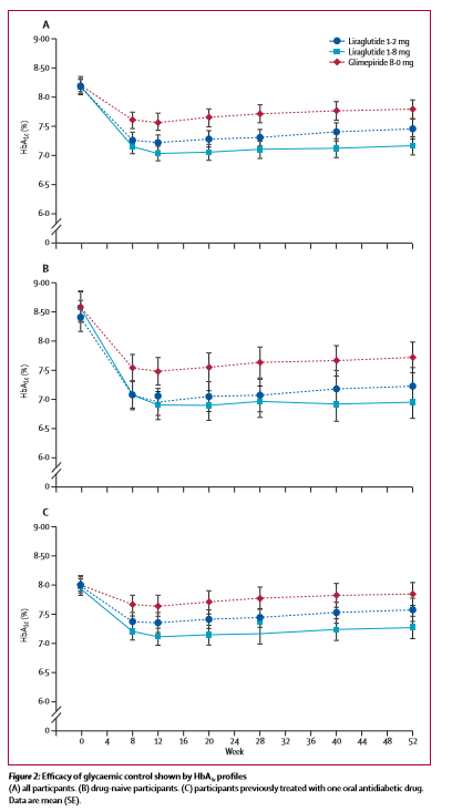
2009년 Lancet에 실린 삭센다 임상시험 내용을 보면(LEAD-3 Mono), 제 2형 당뇨병 환자에게 metformin 혹은 삭센다 둘 중 하나를 투여합니다. 52주간 투여한 3상 임상 결과를 보면, 삭센다는 metformin 에 비해 통계적으로 의미있게 당화혈색소HbA1c를 감소시키는 것을 볼 수 있습니다.


삭센다2009Lancet혈당감소효과.png 삭센다의 혈당 감소효과 (파란색: 삭센다)




그 이외에도 혈당 관련 지표에서 삭센다는 metformin에 비해 우위에 있는 결과들을 보여주고 있습니다. 어찌되었든 당뇨병 치료제 시장에서 상당히 의미있는 자료입니다.

여기에 추가하여 삭센다는 체중 감소 효과도 동반합니다. 포만감을 주어 식욕을 줄이기 때문에, 체중 감소도 가져올 수 있다는 결과가 동반된 것이죠. 많은 이들은 여기에 주목했습니다. 그런데 중요한 것은 90 kg 이 넘는 환자들의 체중 감량 효과는 3kg 대에 불과하다는 사실!!


삭센다2009Lancet체중감소효과.png 당뇨병 환자들의 삭센다 체중 감량 효과 (파랑: 삭센다)


당뇨병 치료제들이 혈당은 낮추지만, 체중에 대한 영향을 평가하면 약간의 체중 증가를 가져오는 약제들이 대부분입니다. 그런데 삭센다의 경우에는 당뇨병 환자들의 가장 큰 문제로 꼽히는 체중 감소효과를 가져옵니다.

당연히 당뇨병 환자들에게는 희소식인 것이죠. 인슐린을 투여하는 환자들이 이에 환호했습니다. 그런데 여기서 삭센다는 다른 결정을 내립니다. 삭센다를 비만 치료제로 허가 받기로 한 것이죠.


삭센다를 아예 비만 치료제로 허가 받기로 결정한 노보노디스크



결국 삭센다는 대놓고 비만 치료제로 임상시험을 다시 합니다. 2015년에 NEJM에 발표된 논문의 제목은 <A randomized, controlled trial of 3.0mg of liraglutide in weight management> 입니다. 심지어 투여 기간도 56주!!

혈당이 정상이면서도 BMI 가 적어도 30 이상인 환자, 혹은 당뇨병 전단계나 당뇨병이 잇는 경우에는 BMI 최소 27 이상인 환자를 대상으로 위약과 삭센다의 효능을 비교 임상해 버립니다. 대상 환자의 수가 3731명이었으니, 노보노디스크가 이 비만 시장에 대해 얼마나 관심을 가지고 임상시험 했는지 가히 짐작이 됩니다.


삭센다 비만 임상시험에 참여한 환자의 평균 체중은 106.2kg, BMI 38.3 이었다


노보노디스크는 고도비만 환자를 대상으로 임상시험을 했습니다. 삭센다 임상시험에 참여한 환자의 평균체중 106.2kg, BMI 평균 38.3 입니다. 이런 환자들을 비만 클리닉에서 본 적이 거의 없다보니... 이 환자 특징을 현재 비만클리닉에서 삭센다 처방 받는 환자들에 대입하는 건 아니라는 생각이 듭니다.

실제 제 2형 당뇨병 환자로 했던 임상에서 90kg 대의 환자들이 1년간 삭센다를 투약했지만, 체중 감량 효과가 3kg 대에 불과합니다. 그리고 투여 16주가 지나면서 더 이상의 체중 감량 효과가 나타나는 것이 아니라, 유지하고 있다는 것도 생각처럼 드라마틱한 체중 감량 효과가 나타나지 않을 가능성이 높음을 의미합니다.



삭센다NEJM2015체중감소효과.jpg 고도비만 환자들의 삭센다 체중 감량 효과



삭센다의 체중 감량 효과는 통계학적으로 볼 때 고도비만에서 Very Good으로 평가할 수 있습니다. 하지만 임상시험 효과를 나타낸 환자들의 특징을 보면, 심각한 고도비만 환자라는 사실이죠. 이런 점은 삭센다 허가 사항에도 반영이 되어 있습니다.



이 약은 아래와 같은 성인 환자의 체중관리를 위해 칼로리 저감 식이요법 및 신체 활동 증대의 보조제로서 투여한다.
- 초기 체질량지수(BMI)가 30 kg/m2 이상인 비만 환자, 또는
- 한 가지 이상의 체중 관련 동반질환[예, 이상혈당증(당뇨병 전단계(pre-diabetes) 또는 제2형 당뇨병), 고혈압 또는 이상지질혈증]이 있으면서 초기 체질량지수(BMI)가 27 kg/m2 이상 30 kg/m2 미만인 과체중 환자

3.0 mg/day 용량으로 12주간 투여한 후 초기 체중의 5% 이상이 감량되지 않은 경우에는, 이 약 치료를 중단하여야 한다.


위의 내용은 삭센다의 허가사항입니다. 분명히 BMI 에 대한 부분이 언급되어 있는데요. 현재 국내 비만클리닉에서 삭센다 처방 받는 사람들 중 저 위의 조건을 충족하는 사람이 얼마나 될지는 모르겠습니다. 제 생각에는 거의 없지 않을까 싶은데요.

고도비만에 효과적인 삭센다
일반인들에게도 효과가 있다?


insulin-2298482_1920.jpg 삭센다는 인슐린처럼 투여하는 주사약이다


어차피 약리 기전을 보면, 일반인들에게도 삭센다는 굉장히 매력적으로 느껴지는 것 같습니다. 다만, 노보노디스크에서는 삭센다의 체중감량 효과에 대해 고도 비만에서만 임상을 진행했을 뿐, 일반적인 체중을 가진 사람들에게는 시행하지 않았습니다.

아마도 대부분의 사람들은 임상시험과 같은 체중 감량 효과를 보지 못할 가능성이 높습니다. 1년간10%의 체중 감소 효과라고 하는데, 이는 고도비만 환자에 한해 나온 결과입니다. 임상시험 디자인을 감안하면, 일반인들은 사실 이보다 못할 가능성이 더 높고요.

즉, 삭센다가 50-70kg 체중을 가진 대다수의 여성에게까지 눈에 보이는 효과가 있을지에 대해서는 의문보냅니다. 어쩌면 현재 먹는 비만약으로 많이 처방 받고 있는 펜터민phentermine 제제처럼 약을 투여하는 동안에는 식욕이 떨어지다가, 약 투여 중단하면 바로 요요현상이 올라오는 건 아닌지 모르겠네요.


weight-loss-2036968_960_720.jpg 삭센다도 요요현상이 생길 가능성이 있다.



요즘 삭센다 이슈가 되는 걸 보면, 다이어트 약으로 삭센다가 너무 남발되는 것 같습니다. 사람이 일부러 소장에서 분비되는 GLP-1 이라는 물질을 자꾸 넣어주는 것인데, 계속되면 의존성이 생기지 않을까 하는 생각도 합니다. 물론 이에 대한 정확한 결과나 문제점이 확실하게 확인된 것은 없습니다. 하지만 충분히 생각해 볼 수 있는 부분이기도 하죠.

어찌되었든 요즘처럼 비만클리닉에서 삭센다 이야기가 나오는 것은 문제라 생각됩니다. 심지어 진료도 제대로 되지 않은 상태에서 그냥 처방전만 남발하여 판매하는 병의원도 있다고 하는데요. 개인적으로 삭센다는 고도비만 환자가 아니라면, 그닥 권하고 싶지 않은 약입니다.




참고자료
1. 삭센다 insert paper
2. A.Garber, et al. Liraglutide versus glimepiride monotherapy for type 2 diabetes (LEAD-3 Mono):a randomized, 52-week, phase III, double-blind, parallel-treatment trial. Lancet. 2009;373:473-81.
3. X. Pi-Sunyer, et al. A randomized, controlled trial of 3.0 mg of liraglutide in weight management. N Engl J Med. 2015;373:11-22.



* 본 글은 네이버 블로그 http://healingcomz.com 에도 동일하게 게재되었습니다.

약사엄마의건강이야기배너_수정_png.png


























































































































































































































































































keyword
매거진의 이전글출산 후 많이 하는 자궁 내 피임장치