brunch

삭센다가 내장지방을 감소시킨다? 심장부담이 클지도...

삭센다, 다이어트에 대한 환상을 버려라

by 약사엄마


삭센다 주사를 다이어트 약으로 알고 계시는 분들이 많은 것 같습니다. 삭센다는 배, 허벅지, 팔뚝 등에 스스로 주사해야 하는 약제입니다. 이 때문에 많은 분들이 삭센다를 배나 허벅지, 팔뚝에 직접 작용하여 지방을 태우는 약으로 오해하기도 합니다. 그러나 삭센다는 포만감을 일으키는 GLP-1과 유사한 Liraglutide 성분의 약제로, 혈당 강하 목적의 약제로 개발되었습니다.

지난 삭센다 관련 포스팅을 이미 한 적이 있습니다. 노보노디스크가 삭센다의 판권을 가지고 있고, 국내에서도 삭센다 판매를 노보노디스크가 하고 있습니다. 병의원과 약국에서는 노보노디스크가 출하하는 도매상을 통해 삭센다를 매입할 수 있으며, 반드시 의사의 처방에 의해서만 판매가 가능합니다.



삭센다_내장지방감량_심장부담위험_약사엄마의건강이야기.png
살빼는 약으로 알려진 삭센다
일반인들에게 체중 감량 효과는 그리 크지 않을 것이다





이미 지난 포스팅에서 삭센다의 체중 감량 효과는 그리 크지 않을 것이란 이야기를 임상시험 결과를 통해 정리한 바 있습니다. 그런데 누군가 체지방에 대한 질문을 하더라고요. 그래서 이에 대한 내용들을 찾아 봤습니다.

그런데 생각보다 체지방에 대한 역할이 기대 이하일지도 모른다는 생각이 들었습니다. 중국에서 했던 임상시험 자료가 있더라고요. 2014년 Cardiovascular Diabetology 에 발표된 논문이 하나 있습니다. 중국인들을 대상으로 한 임상자료입니다.



임상시험 결과 분석 대상자 단 31명
그것도 당뇨병 환자(HbA1c 평균 8.2%, BMI 평균 31.7)가 대상이었다.



임상시험을 할 때, 그 대상을 정하는 과정은 생각보다 까다롭습니다. 제약회사 입장에서는 최대한 결과를 좋게 하기 위해 결과가 잘 나올 것 같은 환자를 선정하려고 합니다. 삭센다의 경우 임상시험 대상자들이 대체로 제2형 당뇨병 환자이면서도 BMI 28 이상, 혹은 당뇨병이나 고혈압 같은 대사질환이 없는 경우 BMI 30 이상인 사람들입니다.

즉, 삭센다에 가장 반응이 좋을 것 같은 사람이 고도비만이라는 겁니다. 그래서일까요? 중국 임상시험에서도 제 2형 당뇨병 환자 31명이 이 연구에 포함되었습니다.



삭센다bodycomposite변화_31명대상_2형당뇨병대상.png



위의 표에서 빨간색으로 표시된 부분을 보면, 분명 이 연구에 참여한 환자들의 지방 조직은 감소하였습니다. 기존의 혈당 강하제 복용 중인 환자들에게 12주간 삭센다(liraglutide)를 투여했는데요. 삭센다를 투여한 환자들은 12주간 평균 3.79kg 정도 지방이 감소하였습니다.

임상시험 대상자들의 평균 체중이 91.6kg 이었다는 점을 감안해야 합니다. 위에서 VAT는 내장지방으로, SAT는 피하지방으로 생각하시면 좋을 것 같습니다. 삭센다 12주 투여 후 내장지방과 피하지방 모두 감소하였습니다. 그런데 여기에서 면적으로 계산을 했네요. 내장지방의 면적은 42.31cm2 감소했는데요. 이 정도면 가로 8cm, 세로 5cm 정도 되는 사각형 하나 정도의 면적이 사라진 것이라 볼 수 있겠네요.

90kg 이상되는 제 2형 당뇨병 환자들에게는 혈당 감소와 더불어 체중 및 내장지방까지 감소하는 비교적 양호한 효과라는 생각이 듭니다. BMI 31.7 수준의 당뇨병 환자들의 3개월의 기간 동안 전체 지방이 3.79kg 감소했다고 하면, 약 50-70kg 환자들은 얼마나 감소할까요? 이보다는 훨씬 적은 양의 지방이 감소할 겁니다.

여기에 대상 환자가 단 31명이 지나지 않는 것도 애매 모호한 부분이 있습니다. 그리고 우리가 놓치고 있는 또 하나의 문제가 있습니다.


ANP, BNP의 증가...
심장에 부담을 주는 것은 아닐까?


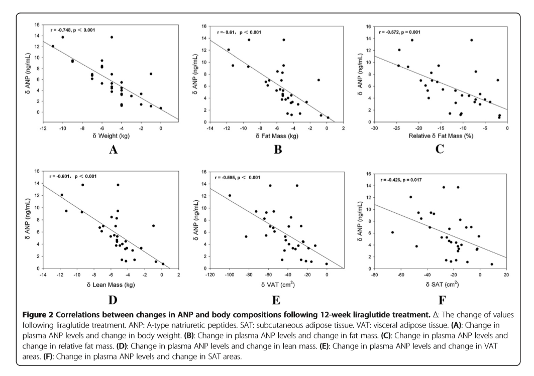
사실 좀 걱정이 되었던 부분 중 하나는 지방 감량이 클수록 ANP(arterial natriuretic peptide), BNP(B-type ventricular natriureitc peptides)가 증가하는 부분이었습니다. 그리고 실제 상관관계 그래프가 해당 논문에서 나오는데, 나름 흥미로운 부분입니다.

ANP는 심장에서 분비되는 물질로, 체액 불균형이 생기면 이로 인해 혈압이 오르는 것을 방지하기 위해 분비합니다. 그리고 BNP의 경우 심부전 환자나 체액 불균형 환자에게 그 수치가 높게 나타납니다. 100 pg/mL 미만이 되어야 정상으로 판단합니다. 이에 이 숫자가 올라가는 것은 그리 좋은 현상이 아닙니다.

그렇다면 삭센다 투여 환자 중 ANP, BNP 수치가 올라가는 사람에서 체중 및 지방 등의 수치 개선이 크다는 부분을 어떻게 해석해야 할까요? 계속해서 ANP, BNP 분비가 이루어진다면 오히려 심장이 부담을 느낄 수 있겠다는 생각도 듭니다.

ANP, BNP는 GLP-1 수용체가 활성화되면 분비가 증가한다고 알려져 있습니다. GLP-1은 우리가 음식물을 먹어서 포만감을 느낄 때 장에서 분비가 되는데, 이로 인해 심장에서 다시 ANP가 증가하고... 식사량이 많은 사람들이 심장 부담이 큰 것과 비슷한 효과를 삭센다로 볼 수도 있을지도 모르겠습니다.



삭센다_체중및지방감량_ANPBNP상관관계.png
삭센다_체중및지방감량_BNP상관관계.png ANP, BNP가 높은 경우 체중 및 체지방 감량 정도가 큰 경향을 보였다.



삭센다의 체중감량 효과는
심장에 부담을 주면서 나타나는 것이 아닐까?


모든 약은 이상반응이나 부작용이 있습니다. 이에 약의 효과가 부작용이나 이상반응을 감안해도 그 이익이 크다고 판단할 때 투여합니다. 삭센다의 경우 고도비만인 사람이라면, 그 효용 가치가 있다고 보고 투여하는 부분입니다.


50-70kg의 정상적인 체중을 가진 사람이 삭센다를 투여하는 것은 어쩌면 체중 감량 효과는 원하는만큼 보지도 못하면서, 오히려 심장에 부담을 주는 등의 문제부터 경험하게 되지 않을까 하는 우려도 있습니다.

실제 삭센다 주의 사항에 심박동수 증가에 대해서 명시되어 있습니다. 일정한 간격으로 심박수가 모니터링 되어야 하며, 심박수가 증가하는 경우 삭센다 투여를 중지하도록 합니다. 일반적으로 삭센다 투여 6주째 심박수가 가장 많이 올라간다고 하니, 수시로 심박수 체크를 하는 것이 좋습니다. 또한 삭센다 투여를 중지하게 되면 심박수는 돌아온다고 하니, 이 점도 감안하시는 것이 좋습니다.



heartache-1846050_1920.jpg 삭센다의 심장 부담 위험도 무시할 수 없는 부분이다





삭센다 주사의 다이어트 효능에 대해서 너무 과열되어 이야기되는 것은 아닐까 싶습니다. 내장지방에 대한 감소 효과 데이터가 물론 있지만, 그 효과는 고도비만이면서도 당뇨병 환자에 대한 것입니다. 그리고 그 인원도 적고요. 물론 다른 데이터도 참고해야 겠지만요.

그리고 심장에 대한 부담이 클수록 그 효과가 좋은 것을 보니, 이 부분 역시 짚고 가야 할 것 같습니다. 체중 감량을 하기 위해 삭센다 주사를 하는 것은 오히려 심장에 부담을 주는 일이 될지도 모른다고요. 무엇 하나 얻으면, 다른 무언가 잃게 되는... 약의 양면성을 삭센다에서 볼지도 모르겠습니다.


참고문헌

1. Le et al. Cardiovascular Diabetology 2014,13:36.


*본 글은 http://healingcomz.com/221402694141 에도 동일하게 게재되었습니다.

약사엄마의건강이야기배너_수정_png.png


















































































































































































































keyword
매거진의 이전글비만 주사제 삭센다, 효과는 기대이하일 가능성 높다